Suppr超能文献

果糖-1,6-二磷酸逆转 L-犬尿氨酸引起的 Wistar 雄性大鼠的降压作用。

Fructose-1,6-bisphosphate reverses hypotensive effect caused by L-kynurenine in Wistar male rats.

机构信息

Graduate Program in Pathology-Laboratory of Computational, Molecular, and Cellular Biophysics-Universidade Federal de Ciências da Saúde de Porto Alegre (UFCSPA), Porto Alegre, Brazil.

Department of Pharmacosciences, Universidade Federal de Ciências da Saúde de Porto Alegre (UFCSPA), Porto Alegre, Brazil.

出版信息

Physiol Rep. 2024 Oct;12(19):e70033. doi: 10.14814/phy2.70033.

Abstract

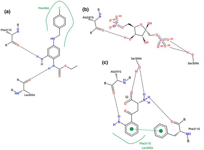
Hypotension is one of the main characteristics of the systemic inflammation, basically caused by endothelial dysfunction. Studies have shown that the amino acid L-kynurenine (KYN) causes vasodilation in mammals, leading to hypotensive shock. In hypotensive shock, when activated by the KYN, the voltage-gated potassium channel encoded by the family KCNQ (Kv7) gene can cause vasodilation. Fructose-1,6-bisphosphate (FBP) it is being considered in studies an anti-inflammatory, antioxidant, immunomodulator, and a modulator of some ion channels (Ca2+, Na+, and K+). We analyzed the effects of KYN and FBP on mean blood pressure (MBP), systolic and diastolic (DBP) blood pressure, and heart rate variability (HRV) in Wistar rats. Results demonstrated that the administration of KYN significant decreased MBP, DBP, and increased HRV. Importantly, the FBP treatment reversed the KYN effects on MBP, DBP, and HRV. Molecular Docking Simulations suggested that KYN and FBP present a very close estimated free energy of binding and the same position into structure of KCNQ4. Our results did demonstrate that FBP blunted the decrease in BP, provoked by KYN. Results raise new hypotheses for future and studies in the treatment of hypotension resulting from inflammation.

摘要

低血压是全身炎症的主要特征之一,主要由血管内皮功能障碍引起。研究表明,氨基酸 L-犬尿氨酸(KYN)在哺乳动物中引起血管扩张,导致低血压性休克。在低血压性休克中,当 KYN 被激活时,由家族 KCNQ(Kv7)基因编码的电压门控钾通道可引起血管扩张。1,6-二磷酸果糖(FBP)在研究中被认为是一种抗炎、抗氧化、免疫调节剂,以及一些离子通道(Ca2+、Na+和 K+)的调节剂。我们分析了 KYN 和 FBP 对 Wistar 大鼠平均血压(MBP)、收缩压和舒张压(DBP)以及心率变异性(HRV)的影响。结果表明,KYN 的给药显著降低了 MBP、DBP,并增加了 HRV。重要的是,FBP 处理逆转了 KYN 对 MBP、DBP 和 HRV 的作用。分子对接模拟表明,KYN 和 FBP 具有非常接近的结合自由能估计值,并且在 KCNQ4 的结构中处于相同的位置。我们的结果确实表明,FBP 减弱了 KYN 引起的血压下降。这些结果为未来的研究提供了新的假说,以治疗炎症引起的低血压。

https://cdn.ncbi.nlm.nih.gov/pmc/blobs/81b5/11471349/609931a2afba/PHY2-12-e70033-g002.jpg

文献检索

告别复杂PubMed语法,用中文像聊天一样搜索,搜遍4000万医学文献。AI智能推荐,让科研检索更轻松。

立即免费搜索

文件翻译

保留排版,准确专业,支持PDF/Word/PPT等文件格式,支持 12+语言互译。

免费翻译文档

深度研究

AI帮你快速写综述,25分钟生成高质量综述,智能提取关键信息,辅助科研写作。

立即免费体验