• 文献检索
  • 文档翻译
  • 深度研究
  • 学术资讯
  • Suppr Zotero 插件Zotero 插件
  • 邀请有礼
  • 套餐&价格
  • 历史记录
应用&插件
Suppr Zotero 插件Zotero 插件浏览器插件Mac 客户端Windows 客户端微信小程序
定价
高级版会员购买积分包购买API积分包
服务
文献检索文档翻译深度研究API 文档MCP 服务
关于我们
关于 Suppr公司介绍联系我们用户协议隐私条款
关注我们

Suppr 超能文献

核心技术专利:CN118964589B侵权必究
粤ICP备2023148730 号-1Suppr @ 2026

文献检索

告别复杂PubMed语法,用中文像聊天一样搜索,搜遍4000万医学文献。AI智能推荐,让科研检索更轻松。

立即免费搜索

文件翻译

保留排版,准确专业,支持PDF/Word/PPT等文件格式,支持 12+语言互译。

免费翻译文档

深度研究

AI帮你快速写综述,25分钟生成高质量综述,智能提取关键信息,辅助科研写作。

立即免费体验

通过μ子自旋旋转对TaVSi超导态和正常态性质进行微观探测。

Microscopic probing of the superconducting and normal state properties of TaVSi by muon spin rotation.

作者信息

Graham J N, Liu H, Sazgari V, Mielke Iii C, Medarde M, Luetkens H, Khasanov R, Shi Y, Guguchia Z

机构信息

PSI Center for Neutron and Muon Sciences CNM, 5232 Villigen PSI, Switzerland.

Beijing National Laboratory for Condensed Matter Physics, Institute of Physics, Chinese Academy of Sciences, Beijing, 100190 China.

出版信息

Commun Mater. 2024;5(1):225. doi: 10.1038/s43246-024-00666-2. Epub 2024 Oct 12.

DOI:10.1038/s43246-024-00666-2
PMID:39398529
原文链接:https://pmc.ncbi.nlm.nih.gov/articles/PMC11469957/
Abstract

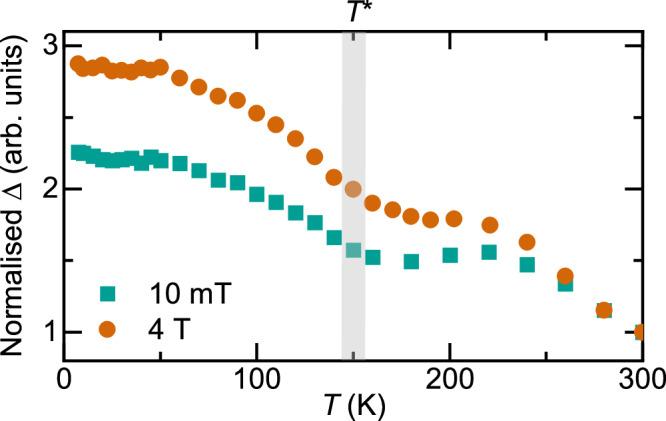
The two-dimensional kagome lattice is an experimental playground for novel physical phenomena, from frustrated magnetism and topological matter to chiral charge order and unconventional superconductivity. A newly identified kagome superconductor, TaVSi has recently gained attention for possessing a record high critical temperature,  = 7.5 K for kagome metals at ambient pressure. In this study we conducted a series of muon spin rotation measurements to delve deeper into understanding the superconducting and normal state properties of TaVSi. We demonstrate that TaVSi is a bulk superconductor with either a s+s-wave or anisotropic s-wave gap symmetry, and has an unusual paramagnetic shift in response to external magnetic fields in the superconducting state. Additionally, we observe an exceptionally low superfluid density - a distinctive characteristic of unconventional superconductivity - which remarkably is comparable to the superfluid density found in hole-doped cuprates. In its normal state, TaVSi exhibits a significant increase in the zero-field muon spin depolarisation rate, starting at approximately 150 K, which has been observed in other kagome-lattice superconductors, and therefore hints at possible hidden magnetism. These findings characterise TaVSi as an unconventional superconductor and a noteworthy new member of the vanadium-based kagome material family.

摘要

二维 Kagome 晶格是一个用于研究新型物理现象的实验平台,涵盖了从受挫磁性、拓扑物质到手性电荷序和非常规超导性等领域。一种新发现的 Kagome 超导体 TaVSi 最近因其在环境压力下具有创纪录的高温临界温度(对于 Kagome 金属而言,Tc = 7.5 K)而备受关注。在本研究中,我们进行了一系列μ子自旋旋转测量,以更深入地了解 TaVSi 的超导和正常态特性。我们证明 TaVSi 是一种体超导体,具有 s + s 波或各向异性 s 波能隙对称性,并且在超导态下对外加磁场有异常的顺磁位移。此外,我们观察到其超流密度极低——这是非常规超导性的一个显著特征——值得注意的是,该超流密度与空穴掺杂铜酸盐中的超流密度相当。在正常态下,TaVSi 从大约 150 K 开始,零场μ子自旋去极化率显著增加,这在其他 Kagome 晶格超导体中也有观察到,因此暗示可能存在隐藏磁性。这些发现表明 TaVSi 是一种非常规超导体,也是钒基 Kagome 材料家族中一个值得关注的新成员。

https://cdn.ncbi.nlm.nih.gov/pmc/blobs/f200/11469957/177b08a8c94d/43246_2024_666_Fig5_HTML.jpg
https://cdn.ncbi.nlm.nih.gov/pmc/blobs/f200/11469957/176d9137b5cb/43246_2024_666_Fig1_HTML.jpg
https://cdn.ncbi.nlm.nih.gov/pmc/blobs/f200/11469957/772b5fc75f7e/43246_2024_666_Fig2_HTML.jpg
https://cdn.ncbi.nlm.nih.gov/pmc/blobs/f200/11469957/9cb72a76de39/43246_2024_666_Fig3_HTML.jpg
https://cdn.ncbi.nlm.nih.gov/pmc/blobs/f200/11469957/e44ee27f82ea/43246_2024_666_Fig4_HTML.jpg
https://cdn.ncbi.nlm.nih.gov/pmc/blobs/f200/11469957/177b08a8c94d/43246_2024_666_Fig5_HTML.jpg
https://cdn.ncbi.nlm.nih.gov/pmc/blobs/f200/11469957/176d9137b5cb/43246_2024_666_Fig1_HTML.jpg
https://cdn.ncbi.nlm.nih.gov/pmc/blobs/f200/11469957/772b5fc75f7e/43246_2024_666_Fig2_HTML.jpg
https://cdn.ncbi.nlm.nih.gov/pmc/blobs/f200/11469957/9cb72a76de39/43246_2024_666_Fig3_HTML.jpg
https://cdn.ncbi.nlm.nih.gov/pmc/blobs/f200/11469957/e44ee27f82ea/43246_2024_666_Fig4_HTML.jpg
https://cdn.ncbi.nlm.nih.gov/pmc/blobs/f200/11469957/177b08a8c94d/43246_2024_666_Fig5_HTML.jpg

相似文献

1
Microscopic probing of the superconducting and normal state properties of TaVSi by muon spin rotation.通过μ子自旋旋转对TaVSi超导态和正常态性质进行微观探测。
Commun Mater. 2024;5(1):225. doi: 10.1038/s43246-024-00666-2. Epub 2024 Oct 12.
2
Local spectroscopic evidence for a nodeless magnetic kagome superconductor CeRu.无节点磁性 Kagome 超导体 CeRu 的局域光谱证据。
J Phys Condens Matter. 2022 Oct 18;34(48). doi: 10.1088/1361-648X/ac9813.
3
Time-reversal symmetry-breaking charge order in a kagome superconductor.戈薇超导体中破时间反演对称性的电荷序
Nature. 2022 Feb;602(7896):245-250. doi: 10.1038/s41586-021-04327-z. Epub 2022 Feb 9.
4
Unconventional Pressure Dependence of the Superfluid Density in the Nodeless Topological Superconductor α-PdBi_{2}.无节点拓扑超导体α-PdBi₂中超流密度的非常规压力依赖性
Phys Rev Lett. 2021 Nov 19;127(21):217002. doi: 10.1103/PhysRevLett.127.217002.
5
Unconventional chiral charge order in kagome superconductor KVSb.Kagome 超导体 KVSb 中的非常规手性电荷序
Nat Mater. 2021 Oct;20(10):1353-1357. doi: 10.1038/s41563-021-01034-y. Epub 2021 Jun 10.
6
Roton pair density wave in a strong-coupling kagome superconductor.强耦合 kagome 超导体中的罗顿对密度波。
Nature. 2021 Nov;599(7884):222-228. doi: 10.1038/s41586-021-03983-5. Epub 2021 Sep 29.
7
Tunable unconventional kagome superconductivity in charge ordered RbVSb and KVSb.可调谐非常规 kagome 超导电性在电荷有序的 RbVSb 和 KVSb 中。
Nat Commun. 2023 Jan 11;14(1):153. doi: 10.1038/s41467-022-35718-z.
8
Unconventional superconductivity in Y5Rh6Sn18 probed by muon spin relaxation.通过μ子自旋弛豫探测Y5Rh6Sn18中的非常规超导性。
Sci Rep. 2015 Aug 19;5:12926. doi: 10.1038/srep12926.
9
Superconductivity under pressure in a chromium-based kagome metal.高压下基于铬的 kagome 金属中的超导性。
Nature. 2024 Aug;632(8027):1032-1037. doi: 10.1038/s41586-024-07761-x. Epub 2024 Aug 28.
10
Conventional superconductivity in the doped kagome superconductor Cs(VTa)Sb from vortex lattice studies.基于涡旋晶格研究的掺杂 Kagome 超导体 Cs(VTa)Sb 中的传统超导性
Nat Commun. 2024 Jul 31;15(1):6467. doi: 10.1038/s41467-024-50856-2.

本文引用的文献

1
Hidden magnetism uncovered in a charge ordered bilayer kagome material ScVSn.在电荷有序双层 Kagome 材料 ScVSn 中发现隐藏磁性。
Nat Commun. 2023 Nov 28;14(1):7796. doi: 10.1038/s41467-023-43503-9.
2
Observation of flat band, Dirac nodal lines and topological surface states in Kagome superconductor CsTiBi.观测到 Kagome 超导体 CsTiBi 中的平带、狄拉克节线和拓扑表面态。
Nat Commun. 2023 Jul 10;14(1):4089. doi: 10.1038/s41467-023-39620-0.
3
A unique van Hove singularity in kagome superconductor CsVTaSb with enhanced superconductivity.
具有增强超导性的 kagome 超导体 CsVTaSb 中的独特范霍夫奇点。
Nat Commun. 2023 Jun 28;14(1):3819. doi: 10.1038/s41467-023-39500-7.
4
Tunable unconventional kagome superconductivity in charge ordered RbVSb and KVSb.可调谐非常规 kagome 超导电性在电荷有序的 RbVSb 和 KVSb 中。
Nat Commun. 2023 Jan 11;14(1):153. doi: 10.1038/s41467-022-35718-z.
5
Topological kagome magnets and superconductors.拓扑 Kagome 磁体与超导体。
Nature. 2022 Dec;612(7941):647-657. doi: 10.1038/s41586-022-05516-0. Epub 2022 Dec 21.
6
Local spectroscopic evidence for a nodeless magnetic kagome superconductor CeRu.无节点磁性 Kagome 超导体 CeRu 的局域光谱证据。
J Phys Condens Matter. 2022 Oct 18;34(48). doi: 10.1088/1361-648X/ac9813.
7
Rich nature of Van Hove singularities in Kagome superconductor CsVSb.Kagome超导体CsVSb中范霍夫奇点的丰富特性
Nat Commun. 2022 Apr 25;13(1):2220. doi: 10.1038/s41467-022-29828-x.
8
Pressure-Induced Dimensional Crossover in a Kagome Superconductor.Kagome 超导体中的压力诱导维度交叉
Phys Rev Lett. 2022 Feb 18;128(7):077001. doi: 10.1103/PhysRevLett.128.077001.
9
Time-reversal symmetry-breaking charge order in a kagome superconductor.戈薇超导体中破时间反演对称性的电荷序
Nature. 2022 Feb;602(7896):245-250. doi: 10.1038/s41586-021-04327-z. Epub 2022 Feb 9.
10
Unconventional chiral charge order in kagome superconductor KVSb.Kagome 超导体 KVSb 中的非常规手性电荷序
Nat Mater. 2021 Oct;20(10):1353-1357. doi: 10.1038/s41563-021-01034-y. Epub 2021 Jun 10.