• 文献检索
  • 文档翻译
  • 深度研究
  • 学术资讯
  • Suppr Zotero 插件Zotero 插件
  • 邀请有礼
  • 套餐&价格
  • 历史记录
应用&插件
Suppr Zotero 插件Zotero 插件浏览器插件Mac 客户端Windows 客户端微信小程序
定价
高级版会员购买积分包购买API积分包
服务
文献检索文档翻译深度研究API 文档MCP 服务
关于我们
关于 Suppr公司介绍联系我们用户协议隐私条款
关注我们

Suppr 超能文献

核心技术专利:CN118964589B侵权必究
粤ICP备2023148730 号-1Suppr @ 2026

文献检索

告别复杂PubMed语法,用中文像聊天一样搜索,搜遍4000万医学文献。AI智能推荐,让科研检索更轻松。

立即免费搜索

文件翻译

保留排版,准确专业,支持PDF/Word/PPT等文件格式,支持 12+语言互译。

免费翻译文档

深度研究

AI帮你快速写综述,25分钟生成高质量综述,智能提取关键信息,辅助科研写作。

立即免费体验

相似文献

1
Synthesis and In Vivo Profiling of Desymmetrized Antimalarial Trioxolanes with Diverse Carbamate Side Chains.具有不同氨基甲酸酯侧链的去对称化抗疟三氧杂环乙烷的合成与体内分析
ACS Med Chem Lett. 2024 Sep 5;15(10):1764-1770. doi: 10.1021/acsmedchemlett.4c00365. eCollection 2024 Oct 10.
2
Antimalarial Trioxolanes with Superior Drug-Like Properties and In Vivo Efficacy.具有优异类药物性质和体内疗效的抗疟三氧杂环烷类化合物。
ACS Infect Dis. 2020 Jul 10;6(7):1827-1835. doi: 10.1021/acsinfecdis.0c00064. Epub 2020 May 18.
3
Artefenomel Regioisomer RLA-3107 Is a Promising Lead for the Discovery of Next-Generation Endoperoxide Antimalarials.阿替非诺美区域异构体RLA - 3107是发现下一代内过氧化物抗疟药物的一个有前景的先导化合物。
ACS Med Chem Lett. 2023 Apr 4;14(4):493-498. doi: 10.1021/acsmedchemlett.3c00039. eCollection 2023 Apr 13.
4
Enantioselective Synthesis and in Vivo Evaluation of Regioisomeric Analogues of the Antimalarial Arterolane.抗疟药物蒿甲醚区域异构体类似物的对映选择性合成及体内评价
J Med Chem. 2017 Jul 27;60(14):6400-6407. doi: 10.1021/acs.jmedchem.7b00699. Epub 2017 Jul 10.
5
Antimalarial activity of artefenomel (OZ439), a novel synthetic antimalarial endoperoxide, in patients with Plasmodium falciparum and Plasmodium vivax malaria: an open-label phase 2 trial.新型合成抗疟内过氧化物artefenomel(OZ439)治疗恶性疟原虫和间日疟原虫疟疾患者的抗疟活性:一项开放标签的2期试验
Lancet Infect Dis. 2016 Jan;16(1):61-69. doi: 10.1016/S1473-3099(15)00320-5. Epub 2015 Oct 5.
6
Enantioselective Synthesis and Profiling of Potent, Nonlinear Analogues of Antimalarial Tetraoxanes E209 and N205.抗疟四氧烷E209和N205的强效非线性类似物的对映选择性合成与分析
ACS Med Chem Lett. 2021 Jun 24;12(7):1077-1085. doi: 10.1021/acsmedchemlett.1c00031. eCollection 2021 Jul 8.
7
Norepinephrine alkaloids as antiplasmodial agents: Synthesis of syncarpamide and insight into the structure-activity relationships of its analogues as antiplasmodial agents.去甲肾上腺素生物碱作为抗疟药物:桑卡尔帕米的合成及其类似物作为抗疟药物的构效关系研究。
Eur J Med Chem. 2017 Sep 29;138:1089-1105. doi: 10.1016/j.ejmech.2017.07.052. Epub 2017 Jul 25.
8
Folic acid supplementation and malaria susceptibility and severity among people taking antifolate antimalarial drugs in endemic areas.在流行地区,服用抗叶酸抗疟药物的人群中,叶酸补充剂与疟疾易感性和严重程度的关系。
Cochrane Database Syst Rev. 2022 Feb 1;2(2022):CD014217. doi: 10.1002/14651858.CD014217.
9
Cephalostatin analogues--synthesis and biological activity.头霉素类似物——合成与生物活性
Fortschr Chem Org Naturst. 2004;87:1-80. doi: 10.1007/978-3-7091-0581-8_1.
10
Discovery of 1,3,4-oxadiazoles with slow-action activity against Plasmodium falciparum malaria parasites.发现具有缓慢作用活性的 1,3,4-噁二唑类化合物,可对抗恶性疟原虫寄生虫引起的疟疾。
Eur J Med Chem. 2024 Nov 15;278:116796. doi: 10.1016/j.ejmech.2024.116796. Epub 2024 Aug 28.

引用本文的文献

1
The Importance of Murine Models in Determining In Vivo Pharmacokinetics, Safety, and Efficacy in Antimalarial Drug Discovery.小鼠模型在抗疟药物发现中确定体内药代动力学、安全性和疗效方面的重要性。
Pharmaceuticals (Basel). 2025 Mar 18;18(3):424. doi: 10.3390/ph18030424.

本文引用的文献

1
Emergence, transmission dynamics and mechanisms of artemisinin partial resistance in malaria parasites in Africa.非洲青蒿素部分耐药疟原虫的出现、传播动态和机制。
Nat Rev Microbiol. 2024 Jun;22(6):373-384. doi: 10.1038/s41579-024-01008-2. Epub 2024 Feb 6.
2
Evolution of Partial Resistance to Artemisinins in Malaria Parasites in Uganda.乌干达疟原虫对青蒿素类药物部分耐药性的演变。
N Engl J Med. 2023 Aug 24;389(8):722-732. doi: 10.1056/NEJMoa2211803.
3
Artefenomel Regioisomer RLA-3107 Is a Promising Lead for the Discovery of Next-Generation Endoperoxide Antimalarials.
阿替非诺美区域异构体RLA - 3107是发现下一代内过氧化物抗疟药物的一个有前景的先导化合物。
ACS Med Chem Lett. 2023 Apr 4;14(4):493-498. doi: 10.1021/acsmedchemlett.3c00039. eCollection 2023 Apr 13.
4
Artemisinin inspired synthetic endoperoxide drug candidates: Design, synthesis, and mechanism of action studies.受青蒿素启发的合成内过氧化物候选药物:设计、合成及作用机制研究
Med Res Rev. 2021 Nov;41(6):3062-3095. doi: 10.1002/med.21849. Epub 2021 Aug 6.
5
Enantioselective Synthesis and Profiling of Potent, Nonlinear Analogues of Antimalarial Tetraoxanes E209 and N205.抗疟四氧烷E209和N205的强效非线性类似物的对映选择性合成与分析
ACS Med Chem Lett. 2021 Jun 24;12(7):1077-1085. doi: 10.1021/acsmedchemlett.1c00031. eCollection 2021 Jul 8.
6
SERCAP: is the perfect the enemy of the good?SERCAP:“至善”是否会成为“至美”的敌人?
Malar J. 2021 Jun 24;20(1):281. doi: 10.1186/s12936-021-03821-z.
7
Antimalarial Trioxolanes with Superior Drug-Like Properties and In Vivo Efficacy.具有优异类药物性质和体内疗效的抗疟三氧杂环烷类化合物。
ACS Infect Dis. 2020 Jul 10;6(7):1827-1835. doi: 10.1021/acsinfecdis.0c00064. Epub 2020 May 18.
8
An in vitro toolbox to accelerate anti-malarial drug discovery and development.一种加速抗疟药物发现和开发的体外工具包。
Malar J. 2020 Jan 2;19(1):1. doi: 10.1186/s12936-019-3075-5.
9
Ozonide Antimalarial Activity in the Context of Artemisinin-Resistant Malaria.臭氧化物的抗疟活性在抗青蒿素疟疾的背景下。
Trends Parasitol. 2019 Jul;35(7):529-543. doi: 10.1016/j.pt.2019.05.002. Epub 2019 Jun 5.
10
Interactions of Artefenomel (OZ439) with Milk during Digestion: Insights into Digestion-Driven Solubilization and Polymorphic Transformations.阿特伐美尔(OZ439)与乳在消化中的相互作用:对消化驱动增溶和多晶型转变的深入了解。
Mol Pharm. 2018 Aug 6;15(8):3535-3544. doi: 10.1021/acs.molpharmaceut.8b00541. Epub 2018 Jul 10.

具有不同氨基甲酸酯侧链的去对称化抗疟三氧杂环乙烷的合成与体内分析

Synthesis and In Vivo Profiling of Desymmetrized Antimalarial Trioxolanes with Diverse Carbamate Side Chains.

作者信息

Klope Matthew T, Tapia Cardona Juan A, Chen Jun, Gonciarz Ryan L, Cheng Ke, Jaishankar Priyadarshini, Kim Julie, Legac Jenny, Rosenthal Philip J, Renslo Adam R

机构信息

Department of Pharmaceutical Chemistry, University of California, San Francisco, 600 16th Street, San Francisco, California 94158, United States.

Department of Medicine, San Francisco General Hospital, University of California, San Francisco, California 94143, United States.

出版信息

ACS Med Chem Lett. 2024 Sep 5;15(10):1764-1770. doi: 10.1021/acsmedchemlett.4c00365. eCollection 2024 Oct 10.

DOI:10.1021/acsmedchemlett.4c00365
PMID:39411530
原文链接:https://pmc.ncbi.nlm.nih.gov/articles/PMC11472393/
Abstract

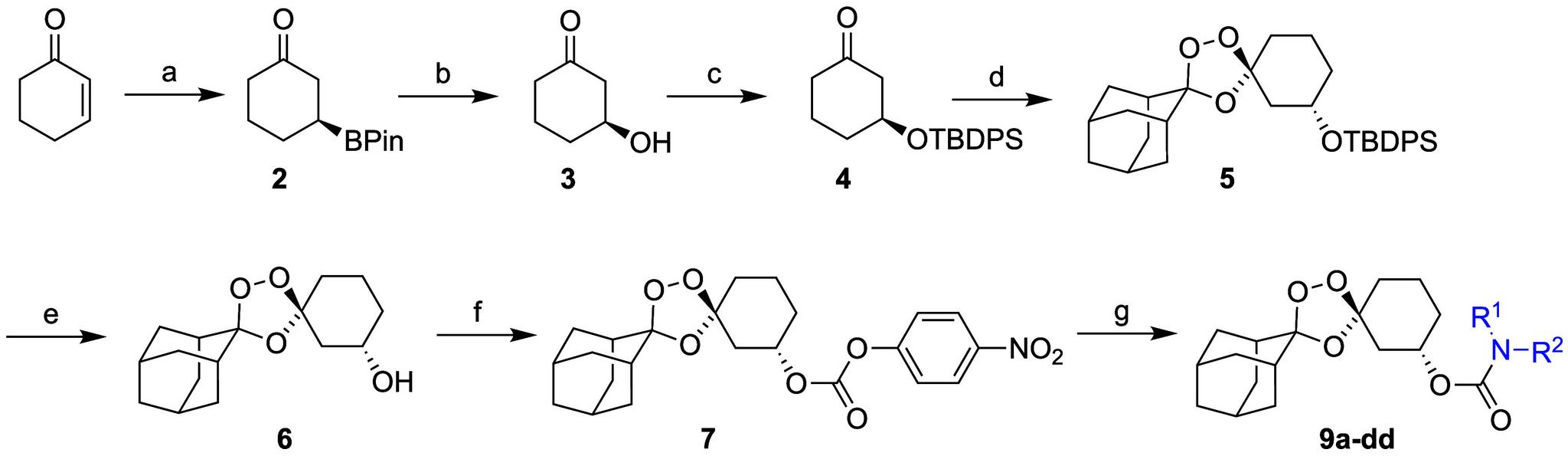
The recent withdrawal of artefenomel from clinical development leaves no endoperoxide-class agents in the antimalarial pipeline. Synthetic endoperoxides with a desymmetrized structure have demonstrated promising physiochemical and properties. Here we expand on our initial investigation of -3″ carbamate substitution with a diverse array of amine-, alcohol-, and sulfinyl-terminated analogues prepared in () and () configurations. In general, this chemotype combines low-nM antiplasmodial activity with excellent aqueous solubility but widely varying human liver microsome (HLM) stability. We evaluated 20 novel analogues in the mouse malaria model, identifying new analogues such as RLA-4767 () and RLA-5489 (), with HLM stability and pharmacokinetic profiles superior to analogues from our initial report (e.g., RLA-4776, ). These new leads approach or equal the efficacy of artefenomel after two daily oral doses of 10 mg/kg, thus revealing a promising chemotype with the potential to deliver development candidates.

摘要

阿替非诺近期退出临床开发,使得抗疟药物研发进程中没有了内过氧化物类药物。具有不对称结构的合成内过氧化物已展现出良好的物理化学性质。在此,我们拓展了对-3″氨基甲酸酯取代的初步研究,制备了一系列具有不同胺基、醇基和亚磺酰基端基的类似物,其构型为()和()。总体而言,这种化学类型兼具低纳摩尔级的抗疟活性和出色的水溶性,但在人肝微粒体(HLM)中的稳定性差异很大。我们在小鼠疟疾模型中评估了20种新型类似物,鉴定出了如RLA-4767()和RLA-5489()等新类似物,它们在HLM中的稳定性和药代动力学特征优于我们初始报告中的类似物(如RLA-4776,)。这些新先导化合物在每日口服两次、剂量为10 mg/kg的情况下,疗效接近或等同于阿替非诺,从而揭示了一种有潜力提供候选开发药物的、前景广阔的化学类型。

https://cdn.ncbi.nlm.nih.gov/pmc/blobs/36ac/11472393/1dcd56dcf576/ml4c00365_0004.jpg
https://cdn.ncbi.nlm.nih.gov/pmc/blobs/36ac/11472393/226c6fe9e7a5/ml4c00365_0002.jpg
https://cdn.ncbi.nlm.nih.gov/pmc/blobs/36ac/11472393/828f2b370a0e/ml4c00365_0003.jpg
https://cdn.ncbi.nlm.nih.gov/pmc/blobs/36ac/11472393/4b5f9af8b085/ml4c00365_0005.jpg
https://cdn.ncbi.nlm.nih.gov/pmc/blobs/36ac/11472393/9c7b7f39f037/ml4c00365_0001.jpg
https://cdn.ncbi.nlm.nih.gov/pmc/blobs/36ac/11472393/1dcd56dcf576/ml4c00365_0004.jpg
https://cdn.ncbi.nlm.nih.gov/pmc/blobs/36ac/11472393/226c6fe9e7a5/ml4c00365_0002.jpg
https://cdn.ncbi.nlm.nih.gov/pmc/blobs/36ac/11472393/828f2b370a0e/ml4c00365_0003.jpg
https://cdn.ncbi.nlm.nih.gov/pmc/blobs/36ac/11472393/4b5f9af8b085/ml4c00365_0005.jpg
https://cdn.ncbi.nlm.nih.gov/pmc/blobs/36ac/11472393/9c7b7f39f037/ml4c00365_0001.jpg
https://cdn.ncbi.nlm.nih.gov/pmc/blobs/36ac/11472393/1dcd56dcf576/ml4c00365_0004.jpg