Suppr超能文献

盐度和营养胁迫对有毒淡水蓝藻群落及其相关微生物组的影响:一项实验研究。

Effects of salinity and nutrient stress on a toxic freshwater cyanobacterial community and its associated microbiome: An experimental study.

机构信息

IFREMER, PHYTOX, Laboratoire GENALG, Nantes, France.

IFREMER, PHYTOX, Laboratoire METALG, Nantes, France.

出版信息

Environ Microbiol Rep. 2024 Oct;16(5):e70029. doi: 10.1111/1758-2229.70029.

Abstract

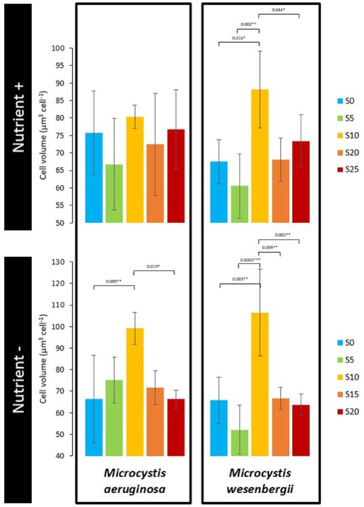
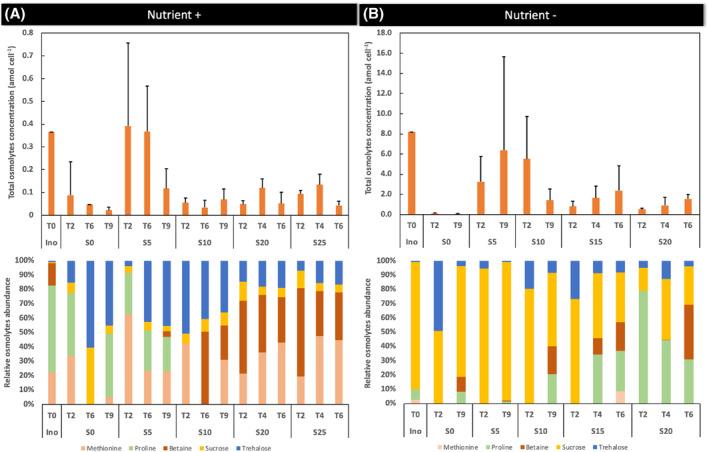
We aimed to evaluate the ability of naturally occurring colonies of Microcystis, embedded in a thick mucilage, to persist in estuarine waters. In two batch experiments, we examined the dynamics of microbial communities, including cyanobacteria and associated heterotrophic bacteria, sampled from the field during both a cyanobacterial bloom (non-limiting nutrient condition) and the post-bloom period (limiting nutrient condition), and subjected them to a salinity gradient representative of the freshwater-marine continuum. We demonstrated that both Microcystis aeruginosa and M. wesenbergii survived high salinities due to osmolyte accumulation. Specifically, prolonged exposure to high salinity led to betaine accumulation in the cyanobacterial biomass. The relative abundance of the mcyB gene remained around 30%, suggesting no selection for toxic genotypes with salinity or nutrient changes. Microcystins were predominantly intracellular, except at high salinity levels (>15), where more than 50% of the total microcystin concentration was extracellular. In both nutrient conditions, over 70% of the heterotrophic bacterial community belonged to the Gammaproteobacteria family, followed by the Bacteroidota. Bacterial community composition differed in both size fractions, as well as along the salinity gradient over time. Finally, genus-specific core microbiomes were identified and conserved even under highly stressful conditions, suggesting interactions that support community stability and resilience.

摘要

我们旨在评估嵌入在厚黏液中的天然微囊藻群体在河口水中的持续存在能力。在两项批量实验中,我们研究了微生物群落的动态,包括从水华期间(非限制营养条件)和水华后时期(限制营养条件)现场采集的蓝藻和相关异养细菌,并将它们暴露于代表淡水-海洋连续体的盐度梯度中。我们证明,由于渗透剂的积累,铜绿微囊藻和微囊藻均能在高盐度下存活。具体来说,长时间暴露于高盐度会导致蓝藻生物量中甜菜碱的积累。mcyB 基因的相对丰度保持在 30%左右,这表明在盐度或养分变化下没有选择毒性基因型。微囊藻毒素主要存在于细胞内,除了在高盐度水平(>15)下,其中超过 50%的总微囊藻毒素浓度存在于细胞外。在两种养分条件下,超过 70%的异养细菌群落属于γ变形菌门,其次是拟杆菌门。细菌群落组成在不同大小的分数中以及随时间沿盐度梯度都有所不同。最后,即使在高胁迫条件下,也鉴定出了属特异性核心微生物组并得以保留,这表明存在支持群落稳定性和弹性的相互作用。

https://cdn.ncbi.nlm.nih.gov/pmc/blobs/cbd7/11499623/a075eba541e8/EMI4-16-e70029-g004.jpg

文献AI研究员

20分钟写一篇综述,助力文献阅读效率提升50倍。

立即体验

用中文搜PubMed

大模型驱动的PubMed中文搜索引擎

马上搜索

文档翻译

学术文献翻译模型,支持多种主流文档格式。

立即体验