• 文献检索
  • 文档翻译
  • 深度研究
  • 学术资讯
  • Suppr Zotero 插件Zotero 插件
  • 邀请有礼
  • 套餐&价格
  • 历史记录
应用&插件
Suppr Zotero 插件Zotero 插件浏览器插件Mac 客户端Windows 客户端微信小程序
定价
高级版会员购买积分包购买API积分包
服务
文献检索文档翻译深度研究API 文档MCP 服务
关于我们
关于 Suppr公司介绍联系我们用户协议隐私条款
关注我们

Suppr 超能文献

核心技术专利:CN118964589B侵权必究
粤ICP备2023148730 号-1Suppr @ 2026

文献检索

告别复杂PubMed语法,用中文像聊天一样搜索,搜遍4000万医学文献。AI智能推荐,让科研检索更轻松。

立即免费搜索

文件翻译

保留排版,准确专业,支持PDF/Word/PPT等文件格式,支持 12+语言互译。

免费翻译文档

深度研究

AI帮你快速写综述,25分钟生成高质量综述,智能提取关键信息,辅助科研写作。

立即免费体验

多形性胶质母细胞瘤中转录因子TWIST2、GATA3和HES5的比较分析:使用计算机方法评估生物标志物潜力和治疗靶点

Comparative Analysis of Transcription Factors TWIST2, GATA3, and HES5 in Glioblastoma Multiforme : Evaluating Biomarker Potential and Therapeutic Targets Using in Silico Methods.

作者信息

Chung Suhmi, Kim Choonghyo

机构信息

Department of Neurosurgery, Kangwon National University Hospital, Chuncheon, Korea.

College of Medicine, Kangwon National University, Chuncheon, Korea.

出版信息

J Korean Neurosurg Soc. 2025 Mar;68(2):202-212. doi: 10.3340/jkns.2024.0149. Epub 2024 Oct 24.

DOI:10.3340/jkns.2024.0149
PMID:39444320
原文链接:https://pmc.ncbi.nlm.nih.gov/articles/PMC11924635/
Abstract

OBJECTIVE

Glioblastoma multiforme (GBM) is characterized by substantial heterogeneity and limited therapeutic options. As molecular approaches to central nervous system tumors have gained prominence, this study examined the roles of three genes, TWIST2, GATA3, and HES5, known to be involved in oncogenesis, developmental processes, and maintenance of cancer stem cell properties, which have not yet been extensively studied in GBM. This study is the first to present gene expression data for TWIST2, GATA3, and HES5 specifically within the context of GBM patient survival.

METHODS

Gene expression data for TWIST2, GATA3, and HES5 were collected from GBM and normal brain tissues using datasets from The Cancer Genome Atlas via the Genomic Data Commons portal and the Genotype-Tissue Expression database. These data were rigorously analyzed using in silico methods.

RESULTS

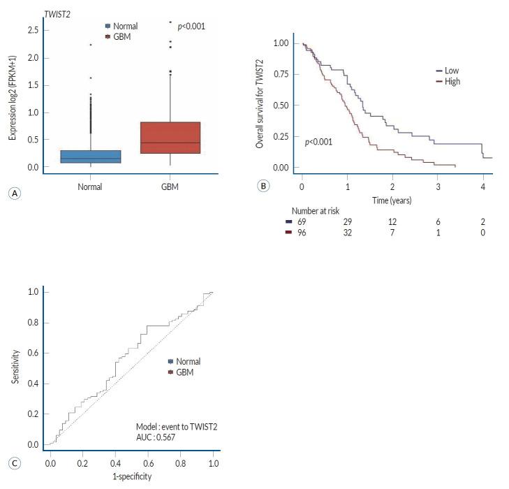
All three genes were significantly more expressed in GBM tissues than in normal tissues. TWIST2 and GATA3 were linked to lower survival rates in GBM patients. Interestingly, higher HES5 levels were associated with better survival rates, suggesting a complex role that needs more investigation.

CONCLUSION

This study shows that TWIST2, GATA3, and HES5 could help predict outcomes in GBM patients. Our multigene model offers a better understanding of GBM and points to new treatment options, bringing hope for improved therapies and patient outcomes. This research advances our knowledge of GBM and highlights the potential of molecular diagnostics in oncology.

摘要

目的

多形性胶质母细胞瘤(GBM)具有显著的异质性且治疗选择有限。随着中枢神经系统肿瘤的分子研究方法日益突出,本研究考察了三个基因TWIST2、GATA3和HES5的作用,这些基因已知参与肿瘤发生、发育过程以及癌症干细胞特性的维持,而在GBM中尚未得到广泛研究。本研究首次呈现了TWIST2、GATA3和HES5在GBM患者生存背景下的基因表达数据。

方法

通过基因组数据共享门户和基因型-组织表达数据库,利用来自癌症基因组图谱的数据集,收集GBM和正常脑组织中TWIST2、GATA3和HES5的基因表达数据。使用计算机方法对这些数据进行严格分析。

结果

所有这三个基因在GBM组织中的表达均显著高于正常组织。TWIST2和GATA3与GBM患者较低的生存率相关。有趣的是,较高的HES5水平与较好的生存率相关,这表明其作用复杂,需要更多研究。

结论

本研究表明,TWIST2、GATA3和HES5有助于预测GBM患者的预后。我们的多基因模型能更好地理解GBM,并指向新的治疗选择,为改进治疗方法和患者预后带来希望。这项研究推进了我们对GBM的认识,并突出了分子诊断在肿瘤学中的潜力。

https://cdn.ncbi.nlm.nih.gov/pmc/blobs/6791/11924635/c015a5ee49f0/jkns-2024-0149f4.jpg
https://cdn.ncbi.nlm.nih.gov/pmc/blobs/6791/11924635/9567411fdc62/jkns-2024-0149f1.jpg
https://cdn.ncbi.nlm.nih.gov/pmc/blobs/6791/11924635/f2a9bfa746db/jkns-2024-0149f2.jpg
https://cdn.ncbi.nlm.nih.gov/pmc/blobs/6791/11924635/9c474354e905/jkns-2024-0149f3.jpg
https://cdn.ncbi.nlm.nih.gov/pmc/blobs/6791/11924635/c015a5ee49f0/jkns-2024-0149f4.jpg
https://cdn.ncbi.nlm.nih.gov/pmc/blobs/6791/11924635/9567411fdc62/jkns-2024-0149f1.jpg
https://cdn.ncbi.nlm.nih.gov/pmc/blobs/6791/11924635/f2a9bfa746db/jkns-2024-0149f2.jpg
https://cdn.ncbi.nlm.nih.gov/pmc/blobs/6791/11924635/9c474354e905/jkns-2024-0149f3.jpg
https://cdn.ncbi.nlm.nih.gov/pmc/blobs/6791/11924635/c015a5ee49f0/jkns-2024-0149f4.jpg

相似文献

1
Comparative Analysis of Transcription Factors TWIST2, GATA3, and HES5 in Glioblastoma Multiforme : Evaluating Biomarker Potential and Therapeutic Targets Using in Silico Methods.多形性胶质母细胞瘤中转录因子TWIST2、GATA3和HES5的比较分析:使用计算机方法评估生物标志物潜力和治疗靶点
J Korean Neurosurg Soc. 2025 Mar;68(2):202-212. doi: 10.3340/jkns.2024.0149. Epub 2024 Oct 24.
2
Analysis of the cancer genome atlas (TCGA) database identifies an inverse relationship between interleukin-13 receptor α1 and α2 gene expression and poor prognosis and drug resistance in subjects with glioblastoma multiforme.分析癌症基因组图谱(TCGA)数据库发现,胶质母细胞瘤多形性患者中白细胞介素-13 受体 α1 和 α2 基因表达与不良预后和耐药性呈负相关。
J Neurooncol. 2018 Feb;136(3):463-474. doi: 10.1007/s11060-017-2680-9. Epub 2017 Nov 22.
3
Autophagy-related CMTM6 promotes glioblastoma progression by activating Wnt/β-catenin pathway and acts as an onco-immunological biomarker.自噬相关的CMTM6 通过激活 Wnt/β-catenin 通路促进胶质母细胞瘤的进展,并作为一种癌免疫生物学标志物。
J Gene Med. 2024 May;26(5):e3685. doi: 10.1002/jgm.3685.
4
A Multistep In Silico Approach Identifies Potential Glioblastoma Drug Candidates via Inclusive Molecular Targeting of Glioblastoma Stem Cells.一种多步骤的计算方法通过对神经胶质瘤干细胞的包容性分子靶向来鉴定潜在的神经胶质瘤药物候选物。
Mol Neurobiol. 2024 Nov;61(11):9253-9271. doi: 10.1007/s12035-024-04139-y. Epub 2024 Apr 15.
5
SLC12A5 as a novel potential biomarker of glioblastoma multiforme.SLC12A5 作为胶质母细胞瘤多形性的一种新的潜在生物标志物。
Mol Biol Rep. 2023 May;50(5):4285-4299. doi: 10.1007/s11033-023-08371-y. Epub 2023 Mar 14.
6
Proteogenomic characterization and integrative analysis of glioblastoma multiforme.多形性胶质母细胞瘤的蛋白质基因组特征及综合分析
Oncotarget. 2017 Oct 19;8(57):97304-97312. doi: 10.18632/oncotarget.21937. eCollection 2017 Nov 14.
7
Prognostic significance of contactin 3 expression and associated genes in glioblastoma multiforme.接触蛋白3表达及相关基因在多形性胶质母细胞瘤中的预后意义
Oncol Lett. 2019 Aug;18(2):1863-1871. doi: 10.3892/ol.2019.10482. Epub 2019 Jun 14.
8
Integrative analysis of glioblastoma multiforme: the power of non-coding RNAs and hub genes in cancer research.多形性胶质母细胞瘤的综合分析:非编码RNA和枢纽基因在癌症研究中的作用
Clin Exp Med. 2025 May 3;25(1):138. doi: 10.1007/s10238-025-01677-0.
9
LncRNA and mRNA expression profiles of glioblastoma multiforme (GBM) reveal the potential roles of lncRNAs in GBM pathogenesis.多形性胶质母细胞瘤(GBM)的lncRNA和mRNA表达谱揭示了lncRNAs在GBM发病机制中的潜在作用。
Tumour Biol. 2016 Nov;37(11):14537-14552. doi: 10.1007/s13277-016-5299-0. Epub 2016 Sep 8.
10
System biology approach to identify the novel biomarkers in glioblastoma multiforme tumors by using computational analysis.运用系统生物学方法,通过计算分析鉴定多形性胶质母细胞瘤中的新型生物标志物。
Front Pharmacol. 2024 May 22;15:1364138. doi: 10.3389/fphar.2024.1364138. eCollection 2024.

本文引用的文献

1
Twist2 contributes to skin regeneration and hair follicle formation in mouse fetuses.Twist2 有助于小鼠胎儿的皮肤再生和毛囊形成。
Sci Rep. 2024 May 13;14(1):10854. doi: 10.1038/s41598-024-60684-5.
2
The 2021 WHO Classification for Gliomas and Implications on Imaging Diagnosis: Part 1-Key Points of the Fifth Edition and Summary of Imaging Findings on Adult-Type Diffuse Gliomas.2021 年世界卫生组织(WHO)脑肿瘤分类及其对影像诊断的影响:第五版要点——成人弥漫性胶质瘤的影像学表现概述。
J Magn Reson Imaging. 2023 Sep;58(3):677-689. doi: 10.1002/jmri.28743. Epub 2023 Apr 17.
3
The clinical significance of radiological changes associated with gliadel implantation in patients with recurrent high grade glioma.
放射性变化与Gliadel 植入术在复发性高级别脑胶质瘤患者中的相关性的临床意义。
Sci Rep. 2023 Jan 2;13(1):11. doi: 10.1038/s41598-022-27128-4.
4
Clinical, Therapeutic, and Prognostic Experience in Patients With Glioblastoma.胶质母细胞瘤患者的临床、治疗及预后经验
Cureus. 2022 Oct 3;14(10):e29856. doi: 10.7759/cureus.29856. eCollection 2022 Oct.
5
Human-specific regulation of neural maturation identified by cross-primate transcriptomics.通过跨灵长类转录组学鉴定的人类特异性神经成熟调控。
Curr Biol. 2022 Nov 21;32(22):4797-4807.e5. doi: 10.1016/j.cub.2022.09.028. Epub 2022 Oct 12.
6
Endothelial-specific Gata3 expression is required for hematopoietic stem cell generation.内皮细胞特异性 Gata3 表达对于造血干细胞的生成是必需的。
Stem Cell Reports. 2022 Aug 9;17(8):1788-1798. doi: 10.1016/j.stemcr.2022.06.008. Epub 2022 Jul 28.
7
TWIST2 inhibits EMT and induces oxidative stress in lung cancer cells by regulating the FGF21-mediated AMPK/mTOR pathway.TWIST2 通过调节 FGF21 介导的 AMPK/mTOR 通路抑制肺癌细胞 EMT 并诱导氧化应激。
Exp Cell Res. 2021 Aug 1;405(1):112661. doi: 10.1016/j.yexcr.2021.112661. Epub 2021 May 25.
8
ZNF451 stabilizes TWIST2 through SUMOylation and promotes epithelial-mesenchymal transition.锌指蛋白451通过小泛素样修饰稳定TWIST2并促进上皮-间质转化。
Am J Cancer Res. 2021 Mar 1;11(3):898-915. eCollection 2021.
9
Perspective of mesenchymal transformation in glioblastoma.胶质母细胞瘤中间质转化的观点。
Acta Neuropathol Commun. 2021 Mar 24;9(1):50. doi: 10.1186/s40478-021-01151-4.
10
Tumor Heterogeneity in Glioblastomas: From Light Microscopy to Molecular Pathology.胶质母细胞瘤中的肿瘤异质性:从光学显微镜到分子病理学
Cancers (Basel). 2021 Feb 12;13(4):761. doi: 10.3390/cancers13040761.