Suppr超能文献

在高收入环境中,对叙利亚难民进行为期 1 年的随访,问题管理加方案的效果。

The effectiveness of Problem Management Plus at 1-year follow-up for Syrian refugees in a high-income setting.

机构信息

Department of Clinical, Neuro- and Developmental Psychology, WHO Collaborating Center for Research and Dissemination of Psychological Interventions, Amsterdam Public Health Research Institute, Vrije Universiteit Amsterdam, Amsterdam, The Netherlands.

Babeș-Bolyai University, International Institute for Psychotherapy, Cluj-Napoca, Romania.

出版信息

Epidemiol Psychiatr Sci. 2024 Oct 25;33:e50. doi: 10.1017/S2045796024000519.

Abstract

AIMS

Problem Management Plus (PM+) has been effective in reducing mental health problems among refugees at three-month follow-up, but there is a lack of research on its long-term effectiveness. This study examined the effectiveness of PM+ in reducing symptoms of common mental disorders at 12-month follow-up among Syrian refugees in the Netherlands.

METHODS

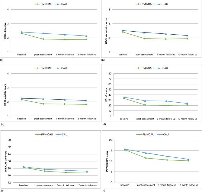
This single-blind, parallel, controlled trial randomised 206 adult Syrians who screened positive for psychological distress and impaired functioning to either PM+ in addition to care as usual (PM+/CAU) or CAU alone. Assessments were at baseline, 1 week and 3 months after the intervention and 12 months after baseline. Outcomes were psychological distress (Hopkins Symptom Checklist [HSCL-25]), depression (HSCL-25 subscale), anxiety (HSCL-25 subscale), posttraumatic stress disorder symptoms (PCL-5), functional impairment (WHODAS 2.0) and self-identified problems (PSYCHLOPS).

RESULTS

In March 2019-December 2022, 103 participants were assigned to PM+/CAU and 103 to CAU of which 169 (82.0%) were retained at 12 months. Intention-to-treat analyses showed greater reductions in psychological distress at 12 months for PM+/CAU compared to CAU (adjusted mean difference -0.17, 95% CI -0.310 to -0.027; = 0.01, Cohen's = 0.28). Relative to CAU, PM+/CAU participants also showed significant reductions on anxiety (-0.19, 95% CI -0.344 to -0.047; = 0.01, = 0.31) but not on any of the other outcomes.

CONCLUSIONS

PM+ is effective in reducing psychological distress and symptoms of anxiety over a period up to 1 year. Additional support such as booster sessions or additional (trauma-focused) modules may be required to prolong and consolidate benefits gained through PM+ on other mental health and psychosocial outcomes.

摘要

目的

Problem Management Plus (PM+) 在三个月随访时已被证明能有效减少难民的心理健康问题,但缺乏其长期有效性的研究。本研究旨在检验 PM+ 在 12 个月随访时对荷兰叙利亚难民常见精神障碍症状的疗效。

方法

这项单盲、平行、对照试验将 206 名筛查出有心理困扰和功能受损的成年叙利亚人随机分为 PM+加常规护理(PM+/CAU)组或仅常规护理(CAU)组。评估在干预后 1 周、3 个月和基线后 12 个月进行。结局指标包括心理困扰(Hopkins 症状清单 [HSCL-25])、抑郁(HSCL-25 子量表)、焦虑(HSCL-25 子量表)、创伤后应激障碍症状(PCL-5)、功能障碍(WHODAS 2.0)和自我识别问题(PSYCHLOPS)。

结果

在 2019 年 3 月至 2022 年 12 月期间,103 名参与者被分配到 PM+/CAU 组,103 名参与者被分配到 CAU 组,其中 169 名(82.0%)在 12 个月时保留。意向性治疗分析显示,PM+/CAU 组在 12 个月时心理困扰的降低幅度大于 CAU 组(调整后的平均差异-0.17,95%CI -0.310 至 -0.027; = 0.01,Cohen's = 0.28)。与 CAU 组相比,PM+/CAU 组的焦虑症状也显著降低(-0.19,95%CI -0.344 至 -0.047; = 0.01, = 0.31),但其他结局指标没有显著差异。

结论

PM+ 在长达 1 年的时间内有效减少心理困扰和焦虑症状。可能需要额外的支持,如强化疗程或额外的(以创伤为重点的)模块,以延长和巩固通过 PM+在其他心理健康和心理社会结局方面获得的益处。

https://cdn.ncbi.nlm.nih.gov/pmc/blobs/007c/11588643/8a9b0f8d76ad/S2045796024000519_fig1.jpg

文献检索

告别复杂PubMed语法,用中文像聊天一样搜索,搜遍4000万医学文献。AI智能推荐,让科研检索更轻松。

立即免费搜索

文件翻译

保留排版,准确专业,支持PDF/Word/PPT等文件格式,支持 12+语言互译。

免费翻译文档

深度研究

AI帮你快速写综述,25分钟生成高质量综述,智能提取关键信息,辅助科研写作。

立即免费体验