• 文献检索
  • 文档翻译
  • 深度研究
  • 学术资讯
  • Suppr Zotero 插件Zotero 插件
  • 邀请有礼
  • 套餐&价格
  • 历史记录
应用&插件
Suppr Zotero 插件Zotero 插件浏览器插件Mac 客户端Windows 客户端微信小程序
定价
高级版会员购买积分包购买API积分包
服务
文献检索文档翻译深度研究API 文档MCP 服务
关于我们
关于 Suppr公司介绍联系我们用户协议隐私条款
关注我们

Suppr 超能文献

核心技术专利:CN118964589B侵权必究
粤ICP备2023148730 号-1Suppr @ 2026

文献检索

告别复杂PubMed语法,用中文像聊天一样搜索,搜遍4000万医学文献。AI智能推荐,让科研检索更轻松。

立即免费搜索

文件翻译

保留排版,准确专业,支持PDF/Word/PPT等文件格式,支持 12+语言互译。

免费翻译文档

深度研究

AI帮你快速写综述,25分钟生成高质量综述,智能提取关键信息,辅助科研写作。

立即免费体验

酰基氨基酸水解酶在 N-酰基氨基酸表面活性剂生物催化合成中的应用展望。

Perspectives of aminoacylases in biocatalytic synthesis of N-acyl-amino acids surfactants.

机构信息

Novo Nordisk, Novo Nordisk Park 1, 2760, Måløv, Denmark.

Institute of Nano- and Biotechnologies, Aachen University of Applied Sciences, Heinrich-Mussmannstr. 1, 52428, Jülich, Germany.

出版信息

Appl Microbiol Biotechnol. 2024 Oct 25;108(1):495. doi: 10.1007/s00253-024-13328-7.

DOI:10.1007/s00253-024-13328-7
PMID:39453420
原文链接:https://pmc.ncbi.nlm.nih.gov/articles/PMC11511702/
Abstract

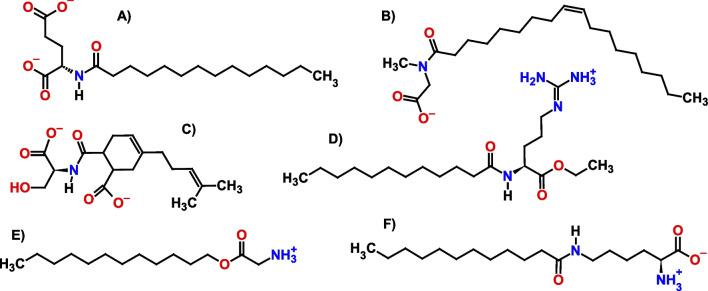
Many industrial processes are performed using harmful chemicals. The current technical synthesis of N-acyl-amino acids relies on acyl chlorides, which are typically obtained from phosgene chemistry. A greener alternative is the application of whole cells or enzymes to carry out synthesis in an environmentally friendly manner. Aminoacylases belong to the hydrolase family and the resolution of racemic mixtures of N-acetyl-amino acids is a well-known industrial process. Several new enzymes accepting long-chain fatty acids as substrates were discovered in recent years. This article reviews the synthetic potential of aminoacylases to produce biobased N-acyl-amino acid surfactants. The focus lays on a survey of the different types of aminoacylases available for synthesis and their reaction products. The enzymes are categorized according to their protein family classification and their biochemical characteristics including substrate spectra, reaction optima and process stability, both in hydrolysis and under process conditions suitable for synthesis. Finally, the benefits and future challenges of enzymatic N-acyl-amino acid synthesis with aminoacylases will be discussed. KEY POINTS: • Enzymatic synthesis of N-acyl-amino acids, biobased surfactants by aminoacylases.

摘要

许多工业过程都使用有害化学品。目前 N-酰基-氨基酸的技术合成依赖于酰氯,而酰氯通常是从光气化学中获得的。一种更环保的替代方法是应用全细胞或酶以环保的方式进行合成。氨酰基酶属于水解酶家族,对映体混合物的拆分 N-乙酰-氨基酸是一种众所周知的工业过程。近年来,发现了几种可接受长链脂肪酸作为底物的新型酶。本文综述了氨酰基酶在生产生物基 N-酰基-氨基酸表面活性剂方面的合成潜力。重点介绍了可用于合成的不同类型的氨酰基酶及其反应产物。这些酶根据其蛋白质家族分类和生化特性进行分类,包括底物谱、反应最佳条件和过程稳定性,无论是在水解过程中还是在适合合成的过程条件下。最后,将讨论酶法 N-酰基-氨基酸合成的优点和未来的挑战。关键点:• 通过氨酰基酶合成 N-酰基-氨基酸,生物基表面活性剂。

https://cdn.ncbi.nlm.nih.gov/pmc/blobs/6d2b/11511702/1e004ab12b9b/253_2024_13328_Fig3_HTML.jpg
https://cdn.ncbi.nlm.nih.gov/pmc/blobs/6d2b/11511702/38c85df3118c/253_2024_13328_Fig1_HTML.jpg
https://cdn.ncbi.nlm.nih.gov/pmc/blobs/6d2b/11511702/cd1994accd5f/253_2024_13328_Fig2_HTML.jpg
https://cdn.ncbi.nlm.nih.gov/pmc/blobs/6d2b/11511702/1e004ab12b9b/253_2024_13328_Fig3_HTML.jpg
https://cdn.ncbi.nlm.nih.gov/pmc/blobs/6d2b/11511702/38c85df3118c/253_2024_13328_Fig1_HTML.jpg
https://cdn.ncbi.nlm.nih.gov/pmc/blobs/6d2b/11511702/cd1994accd5f/253_2024_13328_Fig2_HTML.jpg
https://cdn.ncbi.nlm.nih.gov/pmc/blobs/6d2b/11511702/1e004ab12b9b/253_2024_13328_Fig3_HTML.jpg

相似文献

1
Perspectives of aminoacylases in biocatalytic synthesis of N-acyl-amino acids surfactants.酰基氨基酸水解酶在 N-酰基氨基酸表面活性剂生物催化合成中的应用展望。
Appl Microbiol Biotechnol. 2024 Oct 25;108(1):495. doi: 10.1007/s00253-024-13328-7.
2
N-acylation of L-amino acids in aqueous media: Evaluation of the catalytic performances of Streptomyces ambofaciens aminoacylases.在水相介质中 L-氨基酸的 N-酰化:链霉菌属放线菌氨酰化酶催化性能的评估。
Enzyme Microb Technol. 2020 Jun;137:109536. doi: 10.1016/j.enzmictec.2020.109536. Epub 2020 Feb 24.
3
Novel aminoacylases from Streptomyces griseus DSM 40236 and their recombinant production in Streptomyces lividans.灰色链霉菌 DSM 40236 中的新型氨酰基酶及其在变铅青链霉菌中的重组生产。
FEBS Open Bio. 2023 Dec;13(12):2224-2238. doi: 10.1002/2211-5463.13723. Epub 2023 Nov 1.
4
Novel recombinant aminoacylase from Paraburkholderia monticola capable of N-acyl-amino acid synthesis.来自蒙氏伯克霍尔德菌的新型重组天冬酰胺酶,可用于 N-酰基-氨基酸合成。
Appl Microbiol Biotechnol. 2024 Dec;108(1):93. doi: 10.1007/s00253-023-12868-8. Epub 2024 Jan 10.
5
Chaperone assisted recombinant expression of a mycobacterial aminoacylase in Vibrio natriegens and Escherichia coli capable of N-lauroyl-L-amino acid synthesis.伴护辅助重组表达分枝杆菌氨基酰化酶在能够合成 N-月桂酰-L-氨基酸的海栖热袍菌和大肠杆菌中。
Microb Cell Fact. 2023 Apr 21;22(1):77. doi: 10.1186/s12934-023-02079-1.
6
Probing the acyl-binding pocket of aminoacylase-1.探究氨基酰化酶-1的酰基结合口袋。
Biochemistry. 2008 Apr 8;47(14):4266-75. doi: 10.1021/bi702156h. Epub 2008 Mar 15.
7
Engineering the substrate specificity of Alcaligenes D-aminoacylase useful for the production of D-amino acids by optical resolution.通过工程改造产碱杆菌 D-氨基酰化酶的底物特异性,用于通过光学拆分生产 D-氨基酸。
J Chromatogr B Analyt Technol Biomed Life Sci. 2011 Nov 1;879(29):3247-52. doi: 10.1016/j.jchromb.2011.03.030. Epub 2011 Apr 14.
8
Annotating enzymes of uncertain function: the deacylation of D-amino acids by members of the amidohydrolase superfamily.注释功能未知的酶:酰胺水解酶超家族成员对D-氨基酸的脱酰基作用。
Biochemistry. 2009 Jul 14;48(27):6469-81. doi: 10.1021/bi900661b.
9
Yeast Lipid Produced through Glycerol Conversions and Its Use for Enzymatic Synthesis of Amino Acid-Based Biosurfactants.酵母油脂的甘油转化生产及其在氨基酸型生物表面活性剂酶法合成中的应用。
Int J Mol Sci. 2022 Dec 31;24(1):714. doi: 10.3390/ijms24010714.
10
Direct monitoring of biocatalytic deacetylation of amino acid substrates by H NMR reveals fine details of substrate specificity.通过 1H NMR 对生物催化脱乙酰化氨基酸底物进行直接监测,揭示了底物特异性的细微细节。
Org Biomol Chem. 2021 Jun 9;19(22):4904-4909. doi: 10.1039/d1ob00122a.

引用本文的文献

1
sp. nov., a chitinolytic bacterium isolated from an intertidal mudflat.新种,一种从潮间带泥滩分离出的几丁质分解细菌。
Int J Syst Evol Microbiol. 2025 Jun;75(6). doi: 10.1099/ijsem.0.006827.
2
Substrate utilization and secondary metabolite biosynthesis in the phylum Planctomycetota.浮霉菌门中的底物利用与次级代谢产物生物合成
Appl Microbiol Biotechnol. 2025 May 15;109(1):123. doi: 10.1007/s00253-025-13514-1.

本文引用的文献

1
Biocatalytic Heteroaromatic Amide Formation in Water Enabled by a Catalytic Tetrad and Two Access Tunnels.由催化四联体和两条通道实现的水中生物催化杂芳族酰胺形成
ACS Catal. 2024 May 25;14(11):8913-8921. doi: 10.1021/acscatal.4c01268. eCollection 2024 Jun 7.
2
Novel recombinant aminoacylase from Paraburkholderia monticola capable of N-acyl-amino acid synthesis.来自蒙氏伯克霍尔德菌的新型重组天冬酰胺酶,可用于 N-酰基-氨基酸合成。
Appl Microbiol Biotechnol. 2024 Dec;108(1):93. doi: 10.1007/s00253-023-12868-8. Epub 2024 Jan 10.
3
Enzymatic Strategies for the Biosynthesis of N-Acyl Amino Acid Amides.
酶法策略在 N-酰基氨基酸酰胺生物合成中的应用。
Chembiochem. 2024 Feb 16;25(4):e202300672. doi: 10.1002/cbic.202300672. Epub 2024 Jan 5.
4
Novel aminoacylases from Streptomyces griseus DSM 40236 and their recombinant production in Streptomyces lividans.灰色链霉菌 DSM 40236 中的新型氨酰基酶及其在变铅青链霉菌中的重组生产。
FEBS Open Bio. 2023 Dec;13(12):2224-2238. doi: 10.1002/2211-5463.13723. Epub 2023 Nov 1.
5
Chaperone assisted recombinant expression of a mycobacterial aminoacylase in Vibrio natriegens and Escherichia coli capable of N-lauroyl-L-amino acid synthesis.伴护辅助重组表达分枝杆菌氨基酰化酶在能够合成 N-月桂酰-L-氨基酸的海栖热袍菌和大肠杆菌中。
Microb Cell Fact. 2023 Apr 21;22(1):77. doi: 10.1186/s12934-023-02079-1.
6
Green Surfactants (Biosurfactants): A Petroleum-Free Substitute for Sustainability-Comparison, Applications, Market, and Future Prospects.绿色表面活性剂(生物表面活性剂):一种用于可持续发展的无石油替代品——比较、应用、市场及未来前景
ACS Omega. 2023 Mar 24;8(13):11674-11699. doi: 10.1021/acsomega.3c00591. eCollection 2023 Apr 4.
7
Enzyme Engineering for High-Yielding Amide Formation: Lipase-Catalyzed Synthesis of N-Acyl Glycines in Aqueous Media.用于高产酰胺形成的酶工程:脂肪酶催化在水介质中合成N-酰基甘氨酸
Angew Chem Int Ed Engl. 2023 Mar 27;62(14):e202217878. doi: 10.1002/anie.202217878. Epub 2023 Feb 21.
8
-Acetyl-Aspartyl-Glutamate in Brain Health and Disease.乙酰天门冬氨酸在大脑健康和疾病中的作用。
Int J Mol Sci. 2022 Jan 23;23(3):1268. doi: 10.3390/ijms23031268.
9
Highly accurate protein structure prediction with AlphaFold.利用 AlphaFold 进行高精度蛋白质结构预测。
Nature. 2021 Aug;596(7873):583-589. doi: 10.1038/s41586-021-03819-2. Epub 2021 Jul 15.
10
Identification, characterization, and cloning of a novel aminoacylase, L-pipecolic acid acylase from Pseudomonas species.一种来自假单胞菌属的新型氨酰化酶——L-哌啶酸酰基转移酶的鉴定、特性分析及克隆
J Gen Appl Microbiol. 2021 Nov 25;67(5):186-194. doi: 10.2323/jgam.2020.12.001. Epub 2021 Jun 26.