Suppr超能文献

孕妇既往堕胎与乙型肝炎病毒感染的关联:一项荟萃分析。

Associations between prior abortion and hepatitis B virus infection among pregnant women attending health care facilities. Meta-analysis.

机构信息

Department of Public Health, College of Health Science, Debark University, Debark, Ethiopia.

Department of Statistics, Debark University, Debark, Ethiopia.

出版信息

Eur J Med Res. 2024 Oct 26;29(1):516. doi: 10.1186/s40001-024-02090-1.

Abstract

BACKGROUND

Different results were found in earlier research on pregnant women with hepatitis B virus infection and past abortions. The current meta-analysis's objective was to investigate the connection between previous abortion and hepatitis B virus infection in pregnant women.

METHODS

In January 2023, the following databases were searched: PubMed, Google Scholar, Web of Science, and Cochrane Library. A total of 9 articles that were published in English from 2012 to 2022 were included. Egger's test and the funnel plot's asymmetry were employed to look for publication bias. JBI critical appraisal checklist for analytical cross-sectional studies and case-control studies were used. Using the random effect model; the combined odds ratio and 95% confidence interval were obtained.

RESULTS

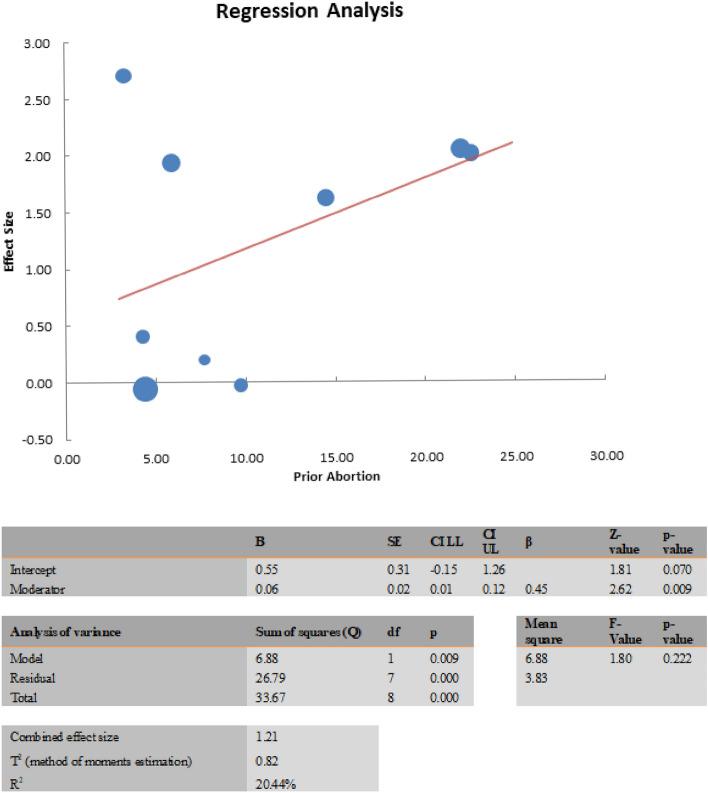
There were 212 pregnant women with hepatitis B virus infection among the 3582 participants in nine (9) investigations. Comparing pregnant women who had prior abortions to pregnant women who had not had prior abortions, the combined effect size (OR) for hepatitis B virus infection was 3.43 (95% CI 1.66-7.10, p = 0.0009, I = 77%). Significant heterogeneity was present (Q = 34.33, I = 77%, p 0.00001). There was no evidence of publication bias (Egger's test: p = 0.495; Begg's test: p = 0.532). In all, 3582 (17.39%) pregnant women had previously had abortions, and 5.91% of pregnant women had Hepatitis B virus infection.

CONCLUSIONS

Prior abortions elevated a pregnant woman's risk of contracting the hepatitis B virus. However, as a result of this study, we recommend to healthcare professionals to prevent unsafe abortions in order to enhance maternal health by lowering hepatitis B virus infection. Unsafe abortion can be prevented through: good sexuality education; prevention of unintended pregnancy through use of effective contraception, including emergency contraception; and provision of safe, legal abortion. In addition, deaths and disability from unsafe abortion can be reduced through the timely provision of emergency treatment of complications. .

摘要

背景

先前的研究发现,乙型肝炎病毒感染和既往流产的孕妇结果不同。本研究的目的是探讨既往流产与孕妇乙型肝炎病毒感染的关系。

方法

检索 PubMed、Google Scholar、Web of Science 和 Cochrane Library 数据库,纳入 2012 年至 2022 年发表的 9 篇英文文献。采用 Egger 检验和漏斗图不对称性检验来评估发表偏倚。采用 JBI 分析性横断面研究和病例对照研究的批判性评价清单。采用随机效应模型,获得合并比值比及其 95%置信区间。

结果

9 项研究共纳入 3582 名孕妇,其中 212 名孕妇乙型肝炎病毒感染。与无既往流产的孕妇相比,既往流产的孕妇乙型肝炎病毒感染的合并效应量(OR)为 3.43(95%CI 1.66-7.10,p=0.0009,I=77%)。存在显著的异质性(Q=34.33,I=77%,p<0.00001)。无发表偏倚(Egger 检验:p=0.495;Begg 检验:p=0.532)。共有 3582 名(17.39%)孕妇既往有过流产,5.91%的孕妇乙型肝炎病毒感染。

结论

既往流产增加了孕妇感染乙型肝炎病毒的风险。因此,我们建议医护人员通过预防不安全流产来降低乙型肝炎病毒感染,以保护母婴健康。可通过以下措施预防不安全流产:加强性教育;通过使用包括紧急避孕在内的有效避孕方法,预防非意愿妊娠;提供安全合法的流产服务。此外,及时治疗并发症可以减少不安全流产导致的死亡和残疾。

https://cdn.ncbi.nlm.nih.gov/pmc/blobs/ae6a/11515804/77e6d1df6ad3/40001_2024_2090_Fig1_HTML.jpg

文献检索

告别复杂PubMed语法,用中文像聊天一样搜索,搜遍4000万医学文献。AI智能推荐,让科研检索更轻松。

立即免费搜索

文件翻译

保留排版,准确专业,支持PDF/Word/PPT等文件格式,支持 12+语言互译。

免费翻译文档

深度研究

AI帮你快速写综述,25分钟生成高质量综述,智能提取关键信息,辅助科研写作。

立即免费体验