Suppr超能文献

海洋源产胞外多糖细菌HZ抑制小白菜对铅的吸收并影响根际微生物群落

The Marine-Origin Exopolysaccharide-Producing Bacteria HZ Inhibits Pb Uptake in Pakchoi ( L.) and Affects Rhizosphere Microbial Communities.

作者信息

Liu Nan, Zhang Gangrui, Fang Longyu, Geng Rui, Shi Shengbo, Li Jinghua, Wang Wei, Lin Mingchun, Chen Junfeng, Si Yanru, Zhou Zeyun, Shan Baoli, Men Maoyu, Fan Qisheng, Wang Chengze, Zhang Chaoqun, Hao Lujiang

机构信息

School of Bioengineering, Qilu University of Technology (Shandong Academy of Sciences), Jinan 250353, China.

Jiangsu Key Laboratory for Microbes and Functional Genomics, Engineering and Technology Research Center for Microbiology, College of Life Sciences, Nanjing Normal University, Nanjing 210000, China.

出版信息

Microorganisms. 2024 Oct 1;12(10):2002. doi: 10.3390/microorganisms12102002.

Abstract

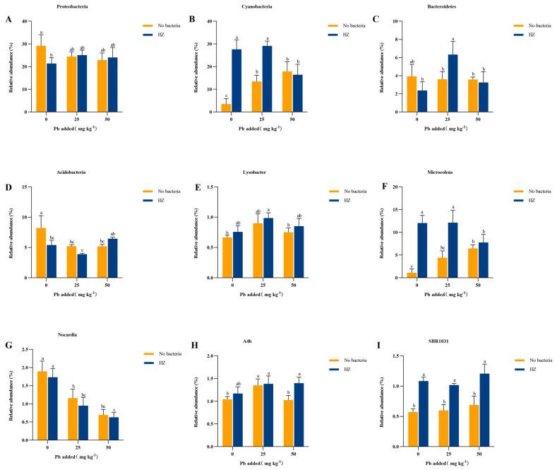
Exopolysaccharides (EPSs) produced by microorganisms play an important role in biotolerance and reducing heavy metal (HM) contamination by limiting the migration of HMs into plants. However, research on the application of EPS-producing marine bacteria for soil heavy metal remediation remains limited, particularly regarding their mechanisms of HM immobilization in soil and impact on plant growth. In this study, the EPS-producing marine bacterium HZ was investigated for its ability to immobilize Pb and produce EPSs in soil filtrate. The effects on the growth quality and biomass of pakchoi ( L.), as well as bacterial communities in inter-root soil contaminated with Pb, were also investigated. The results indicated that HZ could reduce the Pb concentration in the soil filtrate, achieving a removal rate of 43.25-63.5%. The EPS content and pH levels increased in the presence of Pb. Pot experiments showed that adding HZ significantly increased the biomass of pakchoi (9.45-14.69%), vitamin C (Vc) (9.69-12.92%), and soluble protein content (22.58-49.7%). HZ reduced the Pb content in the roots (17.52-47.48%) and leaves (edible tissues) (43.82-52.83%) of pakchoi. HZ increased soil enzyme activities (alkaline phosphatase, dehydrogenase, and urease), and the contents of ammonium nitrogen and nitrate nitrogen. Additionally, HZ also increased the relative abundance of beneficial bacteria (e.g., Proteobacteria, Cyanobacteria, and Chlorobacteria) in the inter-root soil, which have prophylactic and heavy-metal fixation functions. In summary, HZ reduces effective Pb content in edible tissues, roots, and inter-root soil by regulating inter-root soil microbial community structure, increasing soil pH, nitrogen content, and soil enzyme activity, and altering dominant phylum abundance.

摘要

微生物产生的胞外多糖(EPSs)在生物耐受性以及通过限制重金属(HM)向植物体内迁移来减少重金属污染方面发挥着重要作用。然而,关于产EPSs海洋细菌在土壤重金属修复中的应用研究仍然有限,特别是在其对土壤中重金属的固定机制以及对植物生长的影响方面。在本研究中,对产EPSs海洋细菌HZ在土壤滤液中固定铅和产生EPSs的能力进行了研究。同时还研究了其对小白菜(L.)生长质量和生物量以及铅污染根际土壤中细菌群落的影响。结果表明,HZ能够降低土壤滤液中的铅浓度,去除率达到43.25 - 63.5%。在铅存在的情况下,EPS含量和pH值升高。盆栽试验表明,添加HZ显著增加了小白菜的生物量(9.45 - 14.69%)、维生素C(Vc)(9.69 - 12.92%)和可溶性蛋白含量(22.58 - 49.7%)。HZ降低了小白菜根部(17.52 - 47.48%)和叶片(可食用组织)(43.82 - 52.83%)中的铅含量。HZ提高了土壤酶活性(碱性磷酸酶、脱氢酶和脲酶)以及铵态氮和硝态氮的含量。此外,HZ还增加了根际土壤中有益细菌(如变形菌门、蓝细菌门和绿菌门)的相对丰度,这些细菌具有预防和重金属固定功能。总之,HZ通过调节根际土壤微生物群落结构、提高土壤pH值、氮含量和土壤酶活性以及改变优势菌门丰度,降低了可食用组织、根部和根际土壤中的有效铅含量。

https://cdn.ncbi.nlm.nih.gov/pmc/blobs/0cee/11509687/0d55a72d9170/microorganisms-12-02002-g001.jpg

文献检索

告别复杂PubMed语法,用中文像聊天一样搜索,搜遍4000万医学文献。AI智能推荐,让科研检索更轻松。

立即免费搜索

文件翻译

保留排版,准确专业,支持PDF/Word/PPT等文件格式,支持 12+语言互译。

免费翻译文档

深度研究

AI帮你快速写综述,25分钟生成高质量综述,智能提取关键信息,辅助科研写作。

立即免费体验