• 文献检索
  • 文档翻译
  • 深度研究
  • 学术资讯
  • Suppr Zotero 插件Zotero 插件
  • 邀请有礼
  • 套餐&价格
  • 历史记录
应用&插件
Suppr Zotero 插件Zotero 插件浏览器插件Mac 客户端Windows 客户端微信小程序
定价
高级版会员购买积分包购买API积分包
服务
文献检索文档翻译深度研究API 文档MCP 服务
关于我们
关于 Suppr公司介绍联系我们用户协议隐私条款
关注我们

Suppr 超能文献

核心技术专利:CN118964589B侵权必究
粤ICP备2023148730 号-1Suppr @ 2026

文献检索

告别复杂PubMed语法,用中文像聊天一样搜索,搜遍4000万医学文献。AI智能推荐,让科研检索更轻松。

立即免费搜索

文件翻译

保留排版,准确专业,支持PDF/Word/PPT等文件格式,支持 12+语言互译。

免费翻译文档

深度研究

AI帮你快速写综述,25分钟生成高质量综述,智能提取关键信息,辅助科研写作。

立即免费体验

用于提高水稻氮素利用效率的培育潜力的对比等位基因

Contrasting Alleles of Fostering Potential in Improving Nitrogen Use Efficiency in Rice.

作者信息

Siangliw Jonaliza L, Ruangsiri Mathurada, Theerawitaya Cattarin, Cha-Um Suriyan, Poncheewin Wasin, Songtoasesakul Decha, Thunnom Burin, Ruanjaichon Vinitchan, Toojinda Theerayut

机构信息

National Center for Genetic Engineering and Biotechnology (BIOTEC), National Science and Technology Development Agency (NSTDA), Khlong Luang, Pathum Thani 12120, Thailand.

Rice Science Center, Kasetsart University, Kamphangsaen, Nakhon Pathom 73140, Thailand.

出版信息

Plants (Basel). 2024 Oct 19;13(20):2932. doi: 10.3390/plants13202932.

DOI:10.3390/plants13202932
PMID:39458879
原文链接:https://pmc.ncbi.nlm.nih.gov/articles/PMC11510876/
Abstract

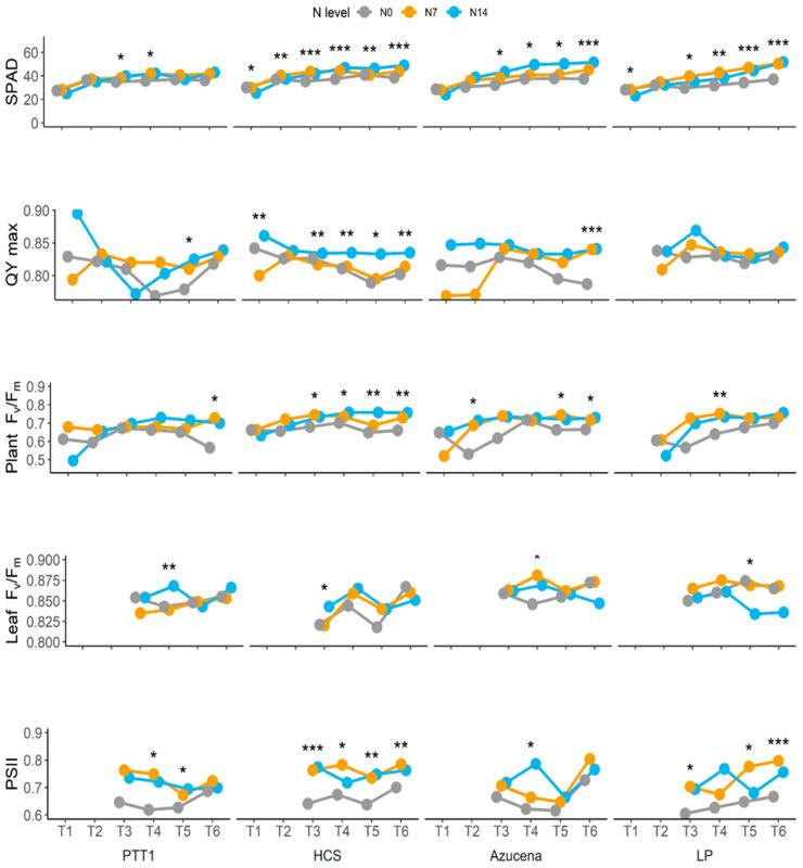
Nitrogen use efficiency (NUE) is important for the growth and development of rice and is significant in reducing the costs of rice production. is involved in nitrate assimilation, and the alleles at position 21,759,092 on chromosome 10 clearly separate indica (Pathum Thani 1 (PTT1) and Homcholasit (HCS)) and japonica (Azucena and Leum Pua (LP)) rice varieties. Rice morphological and physiological traits were collected at three nitrogen levels (N0 = 0 kg ha, N7 = 43.75 kg ha, and N14 = 87.5 kg ha). Leaf and tiller numbers in PTT1 and HCS at N7 and N14 were two to three times higher than those at N0. At harvest, the biomass yield in PTT1 was the highest, while the total grain number in HCS was the maximum. The leaf widths and total chlorophyll contents (SPAD units) of Azucena and LP increased with nitrogen application as well as photosynthetic pigment parameters; for example, plant senescence reflectance indices (PSRIs), structure-insensitive pigment indices (SIPIs), and modified chlorophyll absorption ratio indices (MCARIs) were highly related in the japonica varieties. PTT1 and HCS, both carrying the A allele at , had better NUE than Azucena and LP with the G allele. HCS, overall, had better NUE than PTT1. The translation to grain yield of assimilates was remarkable in PTT1 and HCS compared with Azucena and LP. In addition, HCS converted biomass for a 75% higher yield than PTT1. The ability of HCS to produce high yields was achieved even at N7 nitrogen fertilization, manifesting efficient use of nitrogen.

摘要

氮素利用效率(NUE)对水稻的生长发育至关重要,对于降低水稻生产成本也具有重要意义。它参与硝酸盐同化过程,并且10号染色体上21,759,092位置的等位基因能够清晰地区分籼稻(巴吞他尼1号(PTT1)和宏乔拉西特(HCS))和粳稻(阿苏塞纳和亮普亚(LP))品种。在三种氮水平(N0 = 0千克/公顷,N7 = 43.75千克/公顷,N14 = 87.5千克/公顷)下收集了水稻的形态和生理性状。在N7和N14水平时,PTT1和HCS的叶片和分蘖数比N0水平时高出两到三倍。收获时,PTT1的生物量产量最高,而HCS的总粒数最多。阿苏塞纳和LP的叶片宽度和总叶绿素含量(SPAD单位)随着施氮量的增加而增加,光合色素参数也是如此;例如,粳稻品种中的植物衰老反射指数(PSRI)、结构不敏感色素指数(SIPI)和改良叶绿素吸收比指数(MCARI)高度相关。在该位置携带A等位基因的PTT1和HCS比携带G等位基因的阿苏塞纳和LP具有更好的氮素利用效率。总体而言,HCS的氮素利用效率比PTT1更好。与阿苏塞纳和LP相比,PTT1和HCS中同化物向籽粒产量的转化更为显著。此外,HCS将生物量转化为产量的能力比PTT1高75%。即使在N7氮肥水平下,HCS也能实现高产,表明其对氮的高效利用。

https://cdn.ncbi.nlm.nih.gov/pmc/blobs/89d9/11510876/068b08ef7459/plants-13-02932-g002.jpg
https://cdn.ncbi.nlm.nih.gov/pmc/blobs/89d9/11510876/c13f015e4ce0/plants-13-02932-g001.jpg
https://cdn.ncbi.nlm.nih.gov/pmc/blobs/89d9/11510876/068b08ef7459/plants-13-02932-g002.jpg
https://cdn.ncbi.nlm.nih.gov/pmc/blobs/89d9/11510876/c13f015e4ce0/plants-13-02932-g001.jpg
https://cdn.ncbi.nlm.nih.gov/pmc/blobs/89d9/11510876/068b08ef7459/plants-13-02932-g002.jpg

相似文献

1
Contrasting Alleles of Fostering Potential in Improving Nitrogen Use Efficiency in Rice.用于提高水稻氮素利用效率的培育潜力的对比等位基因
Plants (Basel). 2024 Oct 19;13(20):2932. doi: 10.3390/plants13202932.
2
Promising physiological traits associated with nitrogen use efficiency in rice under reduced N application.在减少施氮条件下与水稻氮素利用效率相关的有前景的生理特性。
Front Plant Sci. 2023 Nov 20;14:1268739. doi: 10.3389/fpls.2023.1268739. eCollection 2023.
3
The indica nitrate reductase gene OsNR2 allele enhances rice yield potential and nitrogen use efficiency.OsNR2 等位基因增强了水稻的产量潜力和氮利用效率。
Nat Commun. 2019 Nov 15;10(1):5207. doi: 10.1038/s41467-019-13110-8.
4
Physiological Mechanisms Underlying the High-Grain Yield and High-Nitrogen Use Efficiency of Elite Rice Varieties under a Low Rate of Nitrogen Application in China.中国低施氮量下优良水稻品种高产量与高氮利用效率的生理机制
Front Plant Sci. 2016 Jul 15;7:1024. doi: 10.3389/fpls.2016.01024. eCollection 2016.
5
Overexpression of rice OsNRT1.1A/OsNPF6.3 enhanced the nitrogen use efficiency of wheat under low nitrogen conditions.过量表达水稻 OsNRT1.1A/OsNPF6.3 可提高小麦在低氮条件下的氮利用效率。
Planta. 2024 Apr 18;259(6):127. doi: 10.1007/s00425-024-04408-z.
6
A putative 6-transmembrane nitrate transporter OsNRT1.1b plays a key role in rice under low nitrogen.一种假定的6跨膜硝酸根转运蛋白OsNRT1.1b在低氮条件下的水稻中起关键作用。
J Integr Plant Biol. 2016 Jun;58(6):590-9. doi: 10.1111/jipb.12382. Epub 2015 Sep 18.
7
Genome wide analysis of NLP transcription factors reveals their role in nitrogen stress tolerance of rice.全基因组分析 NLP 转录因子揭示了它们在水稻氮胁迫耐受中的作用。
Sci Rep. 2020 Jun 10;10(1):9368. doi: 10.1038/s41598-020-66338-6.
8
Eco-physiology and environmental impacts of newly developed rice genotypes for improved yield and nitrogen use efficiency coordinately.协同提高产量和氮利用效率的新型水稻基因型的生态生理学和环境影响。
Sci Total Environ. 2023 Oct 20;896:165294. doi: 10.1016/j.scitotenv.2023.165294. Epub 2023 Jul 4.
9
[Effects of different baynyardgrass varieties on grain yield formation of rice at different nitrogen application levels.].不同稗草品种对不同施氮水平下水稻产量形成的影响。
Ying Yong Sheng Tai Xue Bao. 2016 Nov 18;27(11):3559-3568. doi: 10.13287/j.1001-9332.201611.015.
10
Physio-biochemical, agronomical, and gene expression analysis reveals different responsive approach to low nitrogen in contrasting rice cultivars for nitrogen use efficiency.生理生化、农艺及基因表达分析揭示了不同水稻品种在氮利用效率方面对低氮的不同响应方式。
Mol Biol Rep. 2023 Feb;50(2):1575-1593. doi: 10.1007/s11033-022-08160-z. Epub 2022 Dec 15.

引用本文的文献

1
Programmable genome engineering and gene modifications for plant biodesign.用于植物生物设计的可编程基因组工程和基因修饰
Plant Commun. 2025 Aug 11;6(8):101427. doi: 10.1016/j.xplc.2025.101427. Epub 2025 Jun 24.

本文引用的文献

1
Hyperspectral and Fluorescence Imaging Approaches for Nondestructive Detection of Rice Chlorophyll.用于水稻叶绿素无损检测的高光谱和荧光成像方法
Plants (Basel). 2024 May 3;13(9):1270. doi: 10.3390/plants13091270.
2
Investigating high throughput phenotyping based morpho-physiological and biochemical adaptations of indian pennywort (Centella asiatica L. urban) in response to different irrigation regimes.研究基于高通量表型的形态-生理和生化适应,以了解印度积雪草(Centella asiatica L. urban)对不同灌溉制度的响应。
Plant Physiol Biochem. 2023 Sep;202:107927. doi: 10.1016/j.plaphy.2023.107927. Epub 2023 Aug 3.
3
Identification of a Rice Leaf Width Gene () through Genome-Wide Association Study and Gene Editing Technology.
通过全基因组关联研究和基因编辑技术鉴定一个水稻叶宽基因()。
Int J Mol Sci. 2023 Feb 17;24(4):4073. doi: 10.3390/ijms24044073.
4
Toward improving nitrogen use efficiency in rice: Utilization, coordination, and availability.提高水稻氮肥利用效率的途径:利用、协调和有效性。
Curr Opin Plant Biol. 2023 Feb;71:102327. doi: 10.1016/j.pbi.2022.102327. Epub 2022 Dec 14.
5
Improving Nitrogen Use Efficiency in Rice for Sustainable Agriculture: Strategies and Future Perspectives.提高水稻氮素利用效率以促进可持续农业:策略与未来展望
Life (Basel). 2022 Oct 20;12(10):1653. doi: 10.3390/life12101653.
6
High-throughput field crop phenotyping: current status and challenges.高通量田间作物表型分析:现状与挑战
Breed Sci. 2022 Mar;72(1):3-18. doi: 10.1270/jsbbs.21069. Epub 2022 Feb 17.
7
Greenhouse gas emissions from global production and use of nitrogen synthetic fertilisers in agriculture.农业中全球生产和使用氮肥合成肥料产生的温室气体排放。
Sci Rep. 2022 Aug 25;12(1):14490. doi: 10.1038/s41598-022-18773-w.
8
Genetic and phenotypic characterization of rice grain quality traits to define research strategies for improving rice milling, appearance, and cooking qualities in Latin America and the Caribbean.对稻米品质性状的遗传和表型特征进行分析,以确定在拉丁美洲和加勒比地区改善稻米碾磨、外观和烹饪品质的研究策略。
Plant Genome. 2021 Nov;14(3):e20134. doi: 10.1002/tpg2.20134. Epub 2021 Sep 12.
9
NRT1.1 Dual-Affinity Nitrate Transport/Signalling and its Roles in Plant Abiotic Stress Resistance.NRT1.1双亲和性硝酸盐转运/信号传导及其在植物非生物胁迫抗性中的作用
Front Plant Sci. 2021 Aug 23;12:715694. doi: 10.3389/fpls.2021.715694. eCollection 2021.
10
A Study of Nitrogen Deficiency Inversion in Rice Leaves Based on the Hyperspectral Reflectance Differential.基于高光谱反射率微分的水稻叶片缺氮反演研究
Front Plant Sci. 2020 Dec 2;11:573272. doi: 10.3389/fpls.2020.573272. eCollection 2020.