Suppr超能文献

具有横向共振隧穿的双通道纳米晶体管器件中的输运

Transport in a Two-Channel Nanotransistor Device with Lateral Resonant Tunneling.

作者信息

Wulf Ulrich, Preda Amanda Teodora, Nemnes George Alexandru

机构信息

Faculty 1, Brandenburg University of Technology Cottbus-Senftenberg, Platz der Deutschen Einheit 1, Konrad-Wachsmann-Allee 13, 03046 Cottbus, Germany.

Faculty of Physics, University of Bucharest, Atomistilor 405, 077125 Magurele-Ilfov, Romania.

出版信息

Micromachines (Basel). 2024 Oct 19;15(10):1270. doi: 10.3390/mi15101270.

Abstract

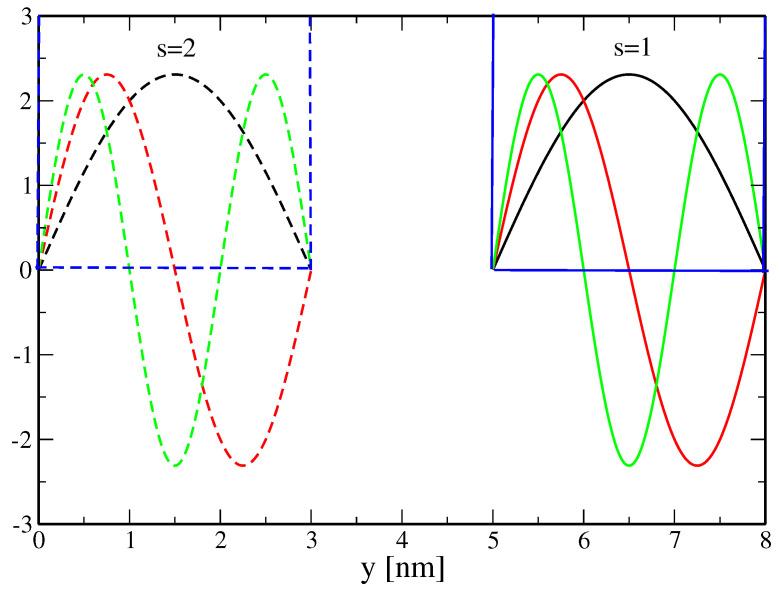
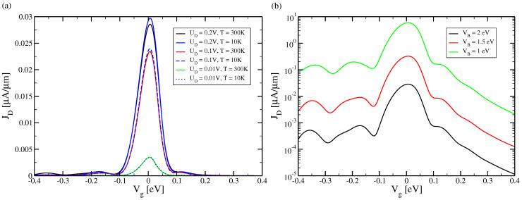
We study field effect nanotransistor devices in the Si/SiO material system which are based on lateral resonant tunneling between two parallel conduction channels. After introducing a simple piecewise linear potential model, we calculate the quantum transport properties in the R-matrix approach. In the transfer characteristics, we find a narrow resonant tunneling peak around zero control voltage. Such a narrow resonant tunneling peak allows one to switch the drain current with small control voltages, thus opening the way to low-energy applications. In contrast to similar double electron layer tunneling transistors that have been studied previously in III-V material systems with much larger channel lengths, the resonant tunneling peak in the drain current is found to persist at room temperature. We employ the R-matrix method in an effective approximation for planar systems and compare the analytical results with full numerical calculations. This provides a basic understanding of the inner processes pertaining to lateral tunneling transport.

摘要

我们研究了基于两个平行传导通道之间横向共振隧穿的Si/SiO材料系统中的场效应纳米晶体管器件。引入一个简单的分段线性势模型后,我们用R矩阵方法计算了量子输运性质。在转移特性中,我们在零控制电压附近发现了一个狭窄的共振隧穿峰。这样一个狭窄的共振隧穿峰使得人们能够用小的控制电压来切换漏极电流,从而为低能量应用开辟了道路。与先前在具有大得多的沟道长度的III-V材料系统中研究的类似双电子层隧穿晶体管不同,发现漏极电流中的共振隧穿峰在室温下仍然存在。我们在平面系统的有效近似中采用R矩阵方法,并将分析结果与全数值计算进行比较。这提供了对与横向隧穿输运相关的内部过程的基本理解。

https://cdn.ncbi.nlm.nih.gov/pmc/blobs/d3d8/11509404/9b87e71ec4e2/micromachines-15-01270-g0A1.jpg

文献检索

告别复杂PubMed语法,用中文像聊天一样搜索,搜遍4000万医学文献。AI智能推荐,让科研检索更轻松。

立即免费搜索

文件翻译

保留排版,准确专业,支持PDF/Word/PPT等文件格式,支持 12+语言互译。

免费翻译文档

深度研究

AI帮你快速写综述,25分钟生成高质量综述,智能提取关键信息,辅助科研写作。

立即免费体验