• 文献检索
  • 文档翻译
  • 深度研究
  • 学术资讯
  • Suppr Zotero 插件Zotero 插件
  • 邀请有礼
  • 套餐&价格
  • 历史记录
应用&插件
Suppr Zotero 插件Zotero 插件浏览器插件Mac 客户端Windows 客户端微信小程序
定价
高级版会员购买积分包购买API积分包
服务
文献检索文档翻译深度研究API 文档MCP 服务
关于我们
关于 Suppr公司介绍联系我们用户协议隐私条款
关注我们

Suppr 超能文献

核心技术专利:CN118964589B侵权必究
粤ICP备2023148730 号-1Suppr @ 2026

文献检索

告别复杂PubMed语法,用中文像聊天一样搜索,搜遍4000万医学文献。AI智能推荐,让科研检索更轻松。

立即免费搜索

文件翻译

保留排版,准确专业,支持PDF/Word/PPT等文件格式,支持 12+语言互译。

免费翻译文档

深度研究

AI帮你快速写综述,25分钟生成高质量综述,智能提取关键信息,辅助科研写作。

立即免费体验

运动细菌准二维悬浮液中胶体的增强扩散和非高斯位移

Enhanced Diffusion and Non-Gaussian Displacements of Colloids in Quasi-2D Suspensions of Motile Bacteria.

作者信息

Chen Xiao, Yan Yaner

机构信息

School of Life Science, Huaiyin Normal University, Huai'an 223300, China.

Jiangsu Key Laboratory for Eco-Agricultural Biotechnology around Hongze Lake/Collaborative Innovation Center of Regional Modern Agriculture & Environmental Protection, Huaiyin Normal University, Huai'an 223300, China.

出版信息

Materials (Basel). 2024 Oct 14;17(20):5013. doi: 10.3390/ma17205013.

DOI:10.3390/ma17205013
PMID:39459718
原文链接:https://pmc.ncbi.nlm.nih.gov/articles/PMC11509676/
Abstract

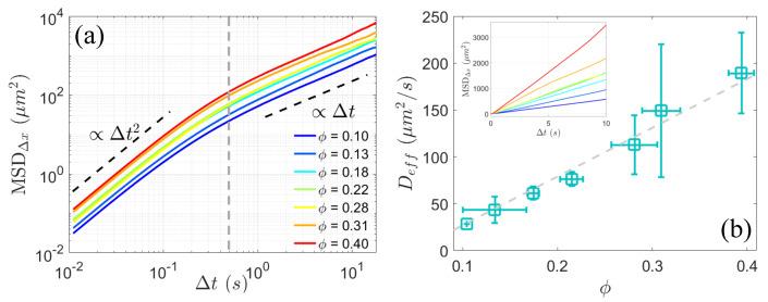
In the real world, active agents interact with surrounding passive objects, thus introducing additional degrees of complexity. The relative contributions of far-field hydrodynamic and near-field contact interactions to the anomalous diffusion of passive particles in suspensions of active swimmers remain a subject of ongoing debate. We constructed a quasi-two-dimensional microswimmer-colloid mixed system by taking advantage of ' tendency to become trapped at the air-water interface to investigate the origins of the enhanced diffusion and non-Gaussianity of the displacement distributions of passive colloidal tracers. Our findings reveal that the diffusion behavior of colloidal particles exhibits a strong dependence on bacterial density. At moderate densities, the collective dynamics of bacteria dominate the diffusion of tracer particles. In dilute bacterial suspensions, although there are multiple dynamic types present, near-field contact interactions such as collisions play a major role in the enhancement of colloidal transport and the emergence of non-Gaussian displacement distributions characterized by heavy exponential tails in short times. Despite the distinct types of microorganisms and their diverse self-propulsion mechanisms, a generality in the diffusion behavior of passive colloids and their underlying dynamics is observed.

摘要

在现实世界中,活性粒子与周围的被动物体相互作用,从而引入了额外的复杂程度。远场流体动力学和近场接触相互作用对活性游泳者悬浮液中被动粒子异常扩散的相对贡献仍是一个持续争论的话题。我们利用[具体内容缺失]在气-水界面被困的趋势构建了一个准二维微游泳者-胶体混合系统,以研究被动胶体示踪剂位移分布增强扩散和非高斯性的起源。我们的研究结果表明,胶体粒子的扩散行为对细菌密度有很强的依赖性。在中等密度下,细菌的集体动力学主导示踪粒子的扩散。在稀细菌悬浮液中,尽管存在多种动力学类型,但近场接触相互作用(如碰撞)在短时间内增强胶体传输和出现以重指数尾部为特征的非高斯位移分布方面起主要作用。尽管微生物类型不同且其自推进机制多样,但仍观察到被动胶体扩散行为及其潜在动力学的一般性。

https://cdn.ncbi.nlm.nih.gov/pmc/blobs/f82c/11509676/2b442cf1097d/materials-17-05013-g004.jpg
https://cdn.ncbi.nlm.nih.gov/pmc/blobs/f82c/11509676/b21b85222b9b/materials-17-05013-g001.jpg
https://cdn.ncbi.nlm.nih.gov/pmc/blobs/f82c/11509676/7a482d291c0b/materials-17-05013-g002.jpg
https://cdn.ncbi.nlm.nih.gov/pmc/blobs/f82c/11509676/b449a7579f20/materials-17-05013-g003.jpg
https://cdn.ncbi.nlm.nih.gov/pmc/blobs/f82c/11509676/2b442cf1097d/materials-17-05013-g004.jpg
https://cdn.ncbi.nlm.nih.gov/pmc/blobs/f82c/11509676/b21b85222b9b/materials-17-05013-g001.jpg
https://cdn.ncbi.nlm.nih.gov/pmc/blobs/f82c/11509676/7a482d291c0b/materials-17-05013-g002.jpg
https://cdn.ncbi.nlm.nih.gov/pmc/blobs/f82c/11509676/b449a7579f20/materials-17-05013-g003.jpg
https://cdn.ncbi.nlm.nih.gov/pmc/blobs/f82c/11509676/2b442cf1097d/materials-17-05013-g004.jpg

相似文献

1
Enhanced Diffusion and Non-Gaussian Displacements of Colloids in Quasi-2D Suspensions of Motile Bacteria.运动细菌准二维悬浮液中胶体的增强扩散和非高斯位移
Materials (Basel). 2024 Oct 14;17(20):5013. doi: 10.3390/ma17205013.
2
Colloidal transport in bacteria suspensions: from bacteria collision to anomalous and enhanced diffusion.细菌悬浮液中的胶粒输运:从细菌碰撞到异常和增强的扩散。
Soft Matter. 2020 Aug 19;16(32):7503-7512. doi: 10.1039/d0sm00309c.
3
Macromolecular crowding: chemistry and physics meet biology (Ascona, Switzerland, 10-14 June 2012).大分子拥挤现象:化学与物理邂逅生物学(瑞士阿斯科纳,2012年6月10日至14日)
Phys Biol. 2013 Aug;10(4):040301. doi: 10.1088/1478-3975/10/4/040301. Epub 2013 Aug 2.
4
Lévy fluctuations and mixing in dilute suspensions of algae and bacteria.藻类和细菌稀悬液中的 Lévy 波动和混合。
J R Soc Interface. 2011 Sep 7;8(62):1314-31. doi: 10.1098/rsif.2010.0545. Epub 2011 Feb 23.
5
Dynamics of enhanced tracer diffusion in suspensions of swimming eukaryotic microorganisms.游动真核微生物悬浮液中示踪剂扩散增强的动力学。
Phys Rev Lett. 2009 Nov 6;103(19):198103. doi: 10.1103/PhysRevLett.103.198103. Epub 2009 Nov 5.
6
Enhancement of biomixing by swimming algal cells in two-dimensional films.二维膜中游泳藻类细胞的生物混合增强。
Proc Natl Acad Sci U S A. 2011 Jun 28;108(26):10391-5. doi: 10.1073/pnas.1107046108. Epub 2011 Jun 9.
7
Dynamics in crowded environments: is non-Gaussian Brownian diffusion normal?拥挤环境中的动力学:非高斯布朗扩散正常吗?
J Phys Chem B. 2014 Jul 17;118(28):8128-34. doi: 10.1021/jp5011617. Epub 2014 May 5.
8
Freezing transition and correlated motion in a quasi-two-dimensional colloid suspension.准二维胶体悬浮液中的冻结转变与关联运动。
Phys Rev E Stat Nonlin Soft Matter Phys. 2003 Dec;68(6 Pt 1):061508. doi: 10.1103/PhysRevE.68.061508. Epub 2003 Dec 24.
9
Loopy Lévy flights enhance tracer diffusion in active suspensions.圈状 Lévy 飞行增强活性悬浮液中示踪剂的扩散。
Nature. 2020 Mar;579(7799):364-367. doi: 10.1038/s41586-020-2086-2. Epub 2020 Mar 18.
10
Dynamics of self-propelled tracer particles inside a polymer network.聚合物网络中自推进示踪粒子的动力学
Phys Chem Chem Phys. 2023 Jan 18;25(3):1937-1946. doi: 10.1039/d2cp04253c.

引用本文的文献

1
Recent Advances in Soft Matter.软物质的最新进展
Materials (Basel). 2025 Mar 25;18(7):1440. doi: 10.3390/ma18071440.

本文引用的文献

1
Active transport of a passive colloid in a bath of run-and-tumble particles.在作“之”字形运动的粒子浴中被动胶体的主动运输。
Sci Rep. 2024 May 23;14(1):11844. doi: 10.1038/s41598-024-62396-2.
2
Non-Gaussian Displacements in Active Transport on a Carpet of Motile Cells.运动细胞“地毯”上主动运输中的非高斯位移
Phys Rev Lett. 2024 Feb 23;132(8):088301. doi: 10.1103/PhysRevLett.132.088301.
3
Active carpets drive non-equilibrium diffusion and enhanced molecular fluxes.活性地毯驱动非平衡扩散和增强的分子通量。
Nat Commun. 2021 Mar 26;12(1):1906. doi: 10.1038/s41467-021-22029-y.
4
Colloidal transport in bacteria suspensions: from bacteria collision to anomalous and enhanced diffusion.细菌悬浮液中的胶粒输运:从细菌碰撞到异常和增强的扩散。
Soft Matter. 2020 Aug 19;16(32):7503-7512. doi: 10.1039/d0sm00309c.
5
Loopy Lévy flights enhance tracer diffusion in active suspensions.圈状 Lévy 飞行增强活性悬浮液中示踪剂的扩散。
Nature. 2020 Mar;579(7799):364-367. doi: 10.1038/s41586-020-2086-2. Epub 2020 Mar 18.
6
Statistics of Colloidal Suspensions Stirred by Microswimmers.由微型游动器搅拌的胶体悬浮液的统计数据。
Phys Rev Lett. 2019 Apr 12;122(14):148101. doi: 10.1103/PhysRevLett.122.148101.
7
Enhanced transport of nutrients powered by microscale flows of the self-spinning dinoflagellate sp.由自旋转甲藻 sp. 产生的微观尺度流动驱动的营养物质的增强运输
J Exp Biol. 2019 Apr 24;222(Pt 8):jeb197947. doi: 10.1242/jeb.197947.
8
Nutrient Transport Driven by Microbial Active Carpets.微生物主动地毯驱动的营养物质传输。
Phys Rev Lett. 2018 Dec 14;121(24):248101. doi: 10.1103/PhysRevLett.121.248101.
9
Memory-less response and violation of the fluctuation-dissipation theorem in colloids suspended in an active bath.无记忆响应和违反涨落耗散定理的胶体悬浮在活跃的浴中。
Sci Rep. 2017 Dec 14;7(1):17588. doi: 10.1038/s41598-017-17900-2.
10
Non-Gaussian limit fluctuations in active swimmer suspensions.活性游动体悬浮液中的非高斯极限涨落
Phys Rev E. 2017 Mar;95(3-1):030601. doi: 10.1103/PhysRevE.95.030601. Epub 2017 Mar 9.