Suppr超能文献

利用碳量子点-膜联蛋白 V 抗体复合物鉴定 Sprague-Dawley 大鼠周围神经功能束。

Identification of peripheral nerve functional fascicles in Sprague-Dawley rats by the carbon quantum dot-Annexin V antibody complex.

机构信息

Department of Orthopedics, The First Affiliated Hospital of Heilongjiang University of Chinese Medicine, Harbin, 150040, P. R. China.

Heilongjiang University of Chinese Medicine, Harbin, 150006, China.

出版信息

Sci Rep. 2024 Oct 28;14(1):25691. doi: 10.1038/s41598-024-77276-y.

Abstract

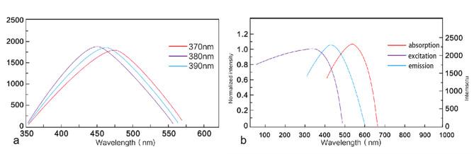
To explore a method to identify the sensory and motor fascicles of the peripheral nerve to achieve accurate peripheral nerve functional fascicle suture. The peripheral nerve Sunderland V injury model, muscle branch of the femoral nerve and saphenous nerve were established in the bilateral femoral nerves of Sprague-Dawley (SD) rats. The specific samples were grouped as follows: the main trunk of the femoral nerve was exposed bilaterally and cut with microscopic scissors in the main trunk of the femoral nerve to prepare a model of Sunderland V injury in the mixed fascicle of peripheral nerves; the muscle branch of the femoral nerve was exposed bilaterally and cut in the middle section of the muscle branch of the femoral nerve to prepare a model of Sunderland V injury in the motor fascicle of peripheral nerves; the saphenous nerve was exposed bilaterally and cut at 1 cm below the patella to prepare a model of Sunderland V injury to the sensory fascicle of the peripheral nerves. A carbon quantum dot (CD)-annexin V antibody complex was prepared and applied to the distal and proximal nerve stumps of the peripheral nerve Sunderland V injury model groups of SD rats. Under the excitation light source of a 380 nm uv lamp, fluorescence color development was observed under a fluorescence microscope after 5, 10, 15, and 20 min. At 5 min, sections of the bilateral femoral nerve trunk, muscular branches of the femoral nerve, and Sunderland V lesion of the saphenous nerve in SD rats were only dark in color under the microscope, and there was no difference in fluorescence. The intensity of the staining increased significantly for 10-20 min. The sensory fascicles and saphenous nerves of the femoral nerve trunk showed blue fluorescence under the CD-Annexin V antibody complex staining, while the motor fascicles and muscle branches of the femoral nerve trunk showed no fluorescence. Fluorescence intensity gradually decreased after 20 min of staining. There was no significant difference in the staining intensity at 5, 10, 15, and 20 min in each group. Our results suggest that the CD-Annexin antibody complex can be used to identify functional fascicles of peripheral nerves in SD rats.

摘要

为了探索一种识别周围神经感觉和运动束的方法,以实现准确的周围神经功能束缝合。在 SD 大鼠双侧股神经中建立了周围神经 Sunderland V 损伤模型、股神经肌支和隐神经。具体样本分组如下:双侧暴露股神经主干,用显微剪刀切断股神经主干,制备周围神经混合束 Sunderland V 损伤模型;双侧暴露股神经肌支,在股神经肌支中段切断,制备周围神经运动束 Sunderland V 损伤模型;双侧暴露隐神经,在髌骨下 1cm 处切断,制备周围神经感觉束 Sunderland V 损伤模型。制备碳量子点(CD)-膜联蛋白 V 抗体复合物,应用于 SD 大鼠周围神经 Sunderland V 损伤模型各组的远端和近端神经残端。在 380nmuv 灯的激发光源下,荧光显微镜下观察 5、10、15 和 20min 后的荧光颜色发展。在 5min 时,SD 大鼠双侧股神经干、股神经肌支和隐神经 Sunderland V 损伤部位的切片在显微镜下仅呈黑色,无荧光差异。10-20min 时染色强度显著增加。股神经干感觉束和隐神经在 CD-膜联蛋白 V 抗体复合物染色下显示蓝色荧光,而股神经干运动束和肌支无荧光。染色 20min 后荧光强度逐渐减弱。各组在 5、10、15 和 20min 时染色强度无显著差异。我们的结果表明,CD-膜联蛋白抗体复合物可用于鉴定 SD 大鼠周围神经的功能束。

https://cdn.ncbi.nlm.nih.gov/pmc/blobs/0be1/11514204/fd0c1ad47b98/41598_2024_77276_Fig1_HTML.jpg

文献检索

告别复杂PubMed语法,用中文像聊天一样搜索,搜遍4000万医学文献。AI智能推荐,让科研检索更轻松。

立即免费搜索

文件翻译

保留排版,准确专业,支持PDF/Word/PPT等文件格式,支持 12+语言互译。

免费翻译文档

深度研究

AI帮你快速写综述,25分钟生成高质量综述,智能提取关键信息,辅助科研写作。

立即免费体验