Suppr超能文献

临床前脑电图(EEG)频谱功率在多个实验室和实验中的变异性评估:EQIPD 研究。

Evaluation of variation in preclinical electroencephalographic (EEG) spectral power across multiple laboratories and experiments: An EQIPD study.

机构信息

Groningen Institute for Evolutionary Life Sciences (GELIFES), Neurobiology, University of Groningen, Groningen, The Netherlands.

Department of CNS Diseases Research, Boehringer Ingelheim Pharma GmbH & Co. KG, Biberach, Germany.

出版信息

PLoS One. 2024 Oct 29;19(10):e0309521. doi: 10.1371/journal.pone.0309521. eCollection 2024.

Abstract

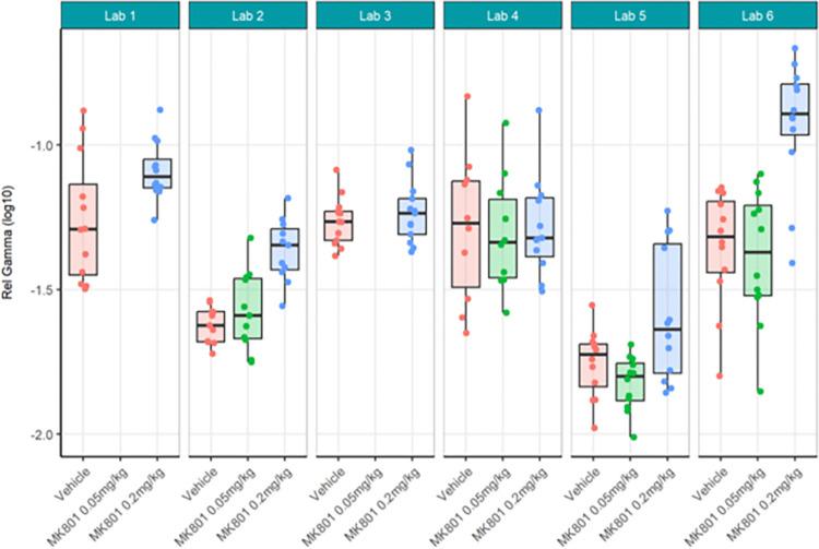
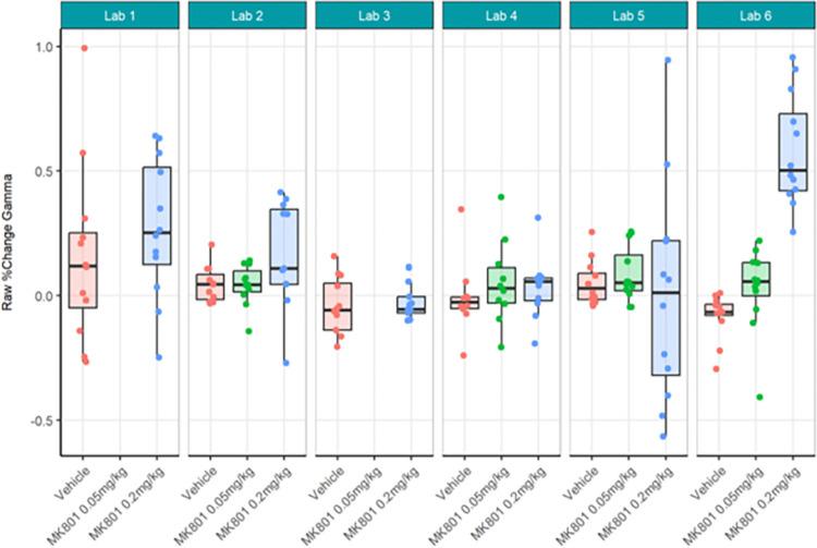
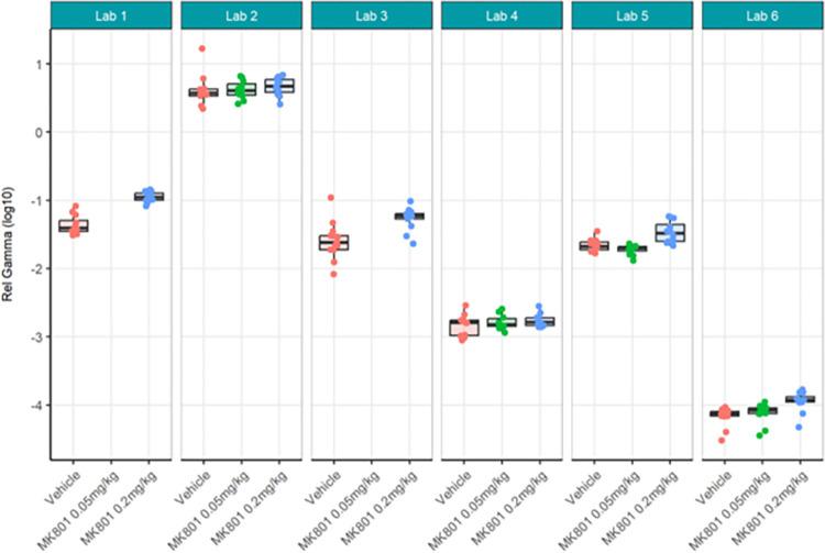
The European Quality In Preclinical Data (EQIPD) consortium was born from the fact that publications report challenges with the robustness, rigor, and/or validity of research data, which may impact decisions about whether to proceed with further preclinical testing or to advance to clinical testing, as well as draw conclusions on the predictability of preclinical models. To address this, a consortium including multiple research laboratories from academia and industry participated in a series of electroencephalography (EEG) experiments in mice aimed to detect sources of variance and to gauge how protocol harmonisation and data analytics impact such variance. Ultimately, the goal of this first ever between-laboratory comparison of EEG recordings and analyses was to validate the principles that supposedly increase data quality, robustness, and comparability. Experiments consisted of a Localisation phase, which aimed to identify the factors that influence between-laboratory variability, a Harmonisation phase to evaluate whether harmonisation of standardized protocols and centralised processing and data analysis reduced variance, and a Ring-Testing phase to verify the ability of the harmonised protocol to generate consistent findings. Indeed, between-laboratory variability reduced from Localisation to Harmonisation and this reduction remained during the Ring-Testing phase. Results obtained in this multicentre preclinical qEEG study also confirmed the complex nature of EEG experiments starting from the surgery and data collection through data pre-processing to data analysis that ultimately influenced the results and contributed to variance in findings across laboratories. Overall, harmonisation of protocols and centralized data analysis were crucial in reducing laboratory-to-laboratory variability. To this end, it is recommended that standardized guidelines be updated and followed for collection and analysis of preclinical EEG data.

摘要

欧洲临床前数据质量(EQIPD)联盟的成立是基于这样一个事实,即出版物报告了研究数据的稳健性、严谨性和/或有效性方面的挑战,这可能会影响是否继续进行进一步的临床前测试或推进到临床测试的决策,以及对临床前模型的可预测性得出结论。为了解决这个问题,一个由来自学术界和工业界的多个研究实验室组成的联盟参与了一系列旨在检测变异性来源的小鼠脑电图(EEG)实验,并评估了方案协调和数据分析如何影响这种变异性。最终,首次在实验室间比较 EEG 记录和分析的目标是验证据称可以提高数据质量、稳健性和可比性的原则。实验包括定位阶段,旨在确定影响实验室间变异性的因素;协调阶段,评估标准化方案和集中处理及数据分析的协调是否减少了变异性;以及环测试阶段,以验证协调方案生成一致结果的能力。事实上,实验室间的变异性从定位阶段到协调阶段都有所减少,而且在环测试阶段仍然如此。这项多中心临床前 qEEG 研究的结果还证实了从手术和数据收集到数据预处理再到数据分析的 EEG 实验的复杂性,这些最终影响了结果,并导致实验室间的结果存在差异。总体而言,协调方案和集中数据分析对于减少实验室间的变异性至关重要。为此,建议更新和遵循标准化指南,用于收集和分析临床前 EEG 数据。

https://cdn.ncbi.nlm.nih.gov/pmc/blobs/a4f6/11521305/f95afef45c59/pone.0309521.g001.jpg

文献AI研究员

20分钟写一篇综述,助力文献阅读效率提升50倍。

立即体验

用中文搜PubMed

大模型驱动的PubMed中文搜索引擎

马上搜索

文档翻译

学术文献翻译模型,支持多种主流文档格式。

立即体验