• 文献检索
  • 文档翻译
  • 深度研究
  • 学术资讯
  • Suppr Zotero 插件Zotero 插件
  • 邀请有礼
  • 套餐&价格
  • 历史记录
应用&插件
Suppr Zotero 插件Zotero 插件浏览器插件Mac 客户端Windows 客户端微信小程序
定价
高级版会员购买积分包购买API积分包
服务
文献检索文档翻译深度研究API 文档MCP 服务
关于我们
关于 Suppr公司介绍联系我们用户协议隐私条款
关注我们

Suppr 超能文献

核心技术专利:CN118964589B侵权必究
粤ICP备2023148730 号-1Suppr @ 2026

文献检索

告别复杂PubMed语法,用中文像聊天一样搜索,搜遍4000万医学文献。AI智能推荐,让科研检索更轻松。

立即免费搜索

文件翻译

保留排版,准确专业,支持PDF/Word/PPT等文件格式,支持 12+语言互译。

免费翻译文档

深度研究

AI帮你快速写综述,25分钟生成高质量综述,智能提取关键信息,辅助科研写作。

立即免费体验

靶向神经障碍的白藜芦醇:弥合临床前-临床差距。

Targeting Neurological Disorders with Stilbenes: Bridging the Preclinical-Clinical Gap.

机构信息

Department of Pharmacy, Faculty of Allied Health Sciences, Daffodil International University, Dhaka 1207, Bangladesh.

Department of Pharmacy, International Islamic University Chittagong, Kumira, Chittagong 4318, Bangladesh.

出版信息

Int J Biol Sci. 2024 Oct 7;20(14):5474-5494. doi: 10.7150/ijbs.102032. eCollection 2024.

DOI:10.7150/ijbs.102032
PMID:39494329
原文链接:https://pmc.ncbi.nlm.nih.gov/articles/PMC11528462/
Abstract

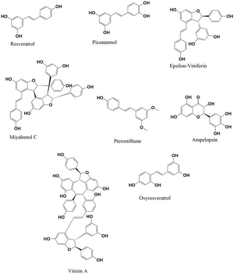
Neurological disorders (NDs) encompass a range of debilitating conditions that affect the nervous system, including prevalent illnesses such as Alzheimer's disease, Parkinson's disease, and ischemic stroke. Despite significant ongoing studies, effective therapeutic strategies to halt or slow down the progression of these illnesses are still lacking. Stilbenes, a class of natural polyphenols, have shown potential as candidates for therapeutic strategies due to their capacity to protect the nervous system. Preclinical studies have provided strong evidence that stilbenes can regulate many cellular pathways implicated in neurodegeneration, with resveratrol being a well-studied compound that has shown the ability to reduce oxidative damage, promote neurogenesis, and enhance mitochondrial function - crucial for maintaining brain health. In preclinical animal models, initial research has also shown promise in additional substances such as piceatannol and pterostilbene. Furthermore, clinical studies have explored the therapeutic benefits of stilbenes in NDs. Despite promising results in preclinical research, the use of stilbenes in clinical trials is currently limited, with most studies focusing on resveratrol. Although several clinical studies have demonstrated the beneficial impact of resveratrol supplementation on brain health and degenerative consequences, other investigations have yielded ambiguous findings, underscoring the urgent need for more comprehensive and precisely planned clinical research. This study delves into the potential benefits of stilbenes as neuroprotective agents for NDs. It emphasizes the need for more clinical research to enhance our understanding of their therapeutic effectiveness in specific patient groups.

摘要

神经紊乱(NDs)包括一系列影响神经系统的使人衰弱的病症,包括普遍的疾病如阿尔茨海默病、帕金森病和缺血性中风。尽管正在进行大量的研究,但仍缺乏有效的治疗策略来阻止或减缓这些疾病的进展。白藜芦醇,一种天然多酚类物质,因其具有保护神经系统的能力而被认为是治疗策略的候选药物。临床前研究提供了强有力的证据表明,白藜芦醇可以调节许多与神经退行性变有关的细胞途径,其中白藜芦醇是一种研究得很好的化合物,已显示出减少氧化损伤、促进神经发生和增强线粒体功能的能力,这对于维持大脑健康至关重要。在临床前动物模型中,初步研究还表明其他物质如白皮杉醇和紫檀芪也有希望。此外,临床研究还探讨了白藜芦醇在 NDs 中的治疗益处。尽管在临床前研究中取得了有希望的结果,但白藜芦醇在临床试验中的应用目前受到限制,大多数研究都集中在白藜芦醇上。尽管几项临床研究表明白藜芦醇补充对大脑健康和退行性后果有有益影响,但其他研究的结果却存在矛盾,这突显了迫切需要更全面和精心计划的临床研究。本研究探讨了白藜芦醇作为神经退行性疾病神经保护剂的潜在益处。它强调需要进行更多的临床研究,以增强我们对其在特定患者群体中治疗效果的理解。

https://cdn.ncbi.nlm.nih.gov/pmc/blobs/6b79/11528462/137f79589ec1/ijbsv20p5474g004.jpg
https://cdn.ncbi.nlm.nih.gov/pmc/blobs/6b79/11528462/830cfe07e10c/ijbsv20p5474g001.jpg
https://cdn.ncbi.nlm.nih.gov/pmc/blobs/6b79/11528462/b7fdbd63bae0/ijbsv20p5474g002.jpg
https://cdn.ncbi.nlm.nih.gov/pmc/blobs/6b79/11528462/e0e495d0e05b/ijbsv20p5474g003.jpg
https://cdn.ncbi.nlm.nih.gov/pmc/blobs/6b79/11528462/137f79589ec1/ijbsv20p5474g004.jpg
https://cdn.ncbi.nlm.nih.gov/pmc/blobs/6b79/11528462/830cfe07e10c/ijbsv20p5474g001.jpg
https://cdn.ncbi.nlm.nih.gov/pmc/blobs/6b79/11528462/b7fdbd63bae0/ijbsv20p5474g002.jpg
https://cdn.ncbi.nlm.nih.gov/pmc/blobs/6b79/11528462/e0e495d0e05b/ijbsv20p5474g003.jpg
https://cdn.ncbi.nlm.nih.gov/pmc/blobs/6b79/11528462/137f79589ec1/ijbsv20p5474g004.jpg

相似文献

1
Targeting Neurological Disorders with Stilbenes: Bridging the Preclinical-Clinical Gap.靶向神经障碍的白藜芦醇:弥合临床前-临床差距。
Int J Biol Sci. 2024 Oct 7;20(14):5474-5494. doi: 10.7150/ijbs.102032. eCollection 2024.
2
Therapeutic potential of stilbenes in neuropsychiatric and neurological disorders: A comprehensive review of preclinical and clinical evidence.白藜芦醇类化合物在神经精神和神经退行性疾病中的治疗潜力:临床前和临床证据的全面综述。
Phytother Res. 2024 Mar;38(3):1400-1461. doi: 10.1002/ptr.8101. Epub 2024 Jan 17.
3
Resveratrol-based compounds and neurodegeneration: Recent insight in multitarget therapy.基于白藜芦醇的化合物与神经退行性变:多靶点治疗的最新研究进展。
Eur J Med Chem. 2022 Apr 5;233:114242. doi: 10.1016/j.ejmech.2022.114242. Epub 2022 Mar 3.
4
Exploring the therapeutic potential of naturally occurring piceatannol in non-communicable diseases.探索天然白藜芦醇在非传染性疾病中的治疗潜力。
Biofactors. 2024 Mar-Apr;50(2):232-249. doi: 10.1002/biof.2009. Epub 2023 Sep 13.
5
[Resveratrol: a neuroprotective polyphenol in the Mediterranean diet].白藜芦醇:地中海饮食中的一种神经保护多酚
Rev Neurol. 2012 Mar 16;54(6):349-56.
6
Resveratrol and ischemic preconditioning in the brain.白藜芦醇与大脑缺血预处理
Curr Med Chem. 2008;15(15):1545-51. doi: 10.2174/092986708784638861.
7
Resveratrol, pterostilbene, and dementia.白藜芦醇、紫檀芪与痴呆。
Biofactors. 2018 Jan;44(1):83-90. doi: 10.1002/biof.1396. Epub 2017 Nov 23.
8
The role and potential mechanism of resveratrol in the prevention and control of epilepsy.白藜芦醇在癫痫防治中的作用及潜在机制
Future Med Chem. 2015;7(15):2005-18. doi: 10.4155/fmc.15.130. Epub 2015 Oct 27.
9
Naringenin: A prospective therapeutic agent for Alzheimer's and Parkinson's disease.柚皮素:一种用于治疗阿尔茨海默病和帕金森病的潜在治疗药物。
J Food Biochem. 2022 Dec;46(12):e14415. doi: 10.1111/jfbc.14415. Epub 2022 Sep 15.
10
Neuroprotective properties of resveratrol in different neurodegenerative disorders.白藜芦醇在不同神经退行性疾病中的神经保护特性。
Biofactors. 2010 Sep-Oct;36(5):370-6. doi: 10.1002/biof.118.

引用本文的文献

1
Bioactive Plant-Derived Compounds as Novel Perspectives in Oral Cancer Alternative Therapy.生物活性植物衍生化合物作为口腔癌替代疗法的新视角
Pharmaceuticals (Basel). 2025 Jul 24;18(8):1098. doi: 10.3390/ph18081098.
2
Oxidative stress and antioxidant therapeutics in autism spectrum disorder: a biochemical and structure-activity relationship perspective.自闭症谱系障碍中的氧化应激与抗氧化治疗:生物化学及构效关系视角
Mol Divers. 2025 Jun 30. doi: 10.1007/s11030-025-11274-8.

本文引用的文献

1
Oxyresveratrol Improves Cognitive Impairments and Episodic-like Memory through Modulating Neuroinflammation and PI3K-Akt Signaling Pathway in LPS-Induced Mice.氧代白藜芦醇通过调节 LPS 诱导的小鼠神经炎症和 PI3K-Akt 信号通路改善认知障碍和类发作记忆。
Molecules. 2024 Mar 13;29(6):1272. doi: 10.3390/molecules29061272.
2
Investigation of the protective effects of piceatannol on experimental subarachnoid hemorrhage in rats.研究白藜芦醇对大鼠实验性蛛网膜下腔出血的保护作用。
Mol Biol Rep. 2024 Feb 26;51(1):366. doi: 10.1007/s11033-024-09275-1.
3
-Stilbenes: General Chemical and Biological Aspects, Potential Pharmacological Activity Based on the Nrf2 Pathway.
- 芪类化合物:一般化学和生物学方面,基于Nrf2途径的潜在药理活性。
Pharmaceuticals (Basel). 2024 Feb 9;17(2):232. doi: 10.3390/ph17020232.
4
Polyphenols Targeting NF-κB Pathway in Neurological Disorders: What We Know So Far?多酚类物质靶向神经退行性疾病中的 NF-κB 通路:目前我们了解多少?
Int J Biol Sci. 2024 Jan 27;20(4):1332-1355. doi: 10.7150/ijbs.90982. eCollection 2024.
5
Therapeutic potential of stilbenes in neuropsychiatric and neurological disorders: A comprehensive review of preclinical and clinical evidence.白藜芦醇类化合物在神经精神和神经退行性疾病中的治疗潜力:临床前和临床证据的全面综述。
Phytother Res. 2024 Mar;38(3):1400-1461. doi: 10.1002/ptr.8101. Epub 2024 Jan 17.
6
Stilbenes: a promising small molecule modulator for epigenetic regulation in human diseases.芪类化合物:一种用于人类疾病表观遗传调控的有前景的小分子调节剂。
Front Pharmacol. 2023 Dec 12;14:1326682. doi: 10.3389/fphar.2023.1326682. eCollection 2023.
7
Global, regional, and national burden of neurological disorders in 204 countries and territories worldwide.全球 204 个国家和地区的神经障碍全球、区域和国家负担。
J Glob Health. 2023 Nov 29;13:04160. doi: 10.7189/jogh.13.04160.
8
Untargeted metabolomics reveal pathways associated with neuroprotective effect of oxyresveratrol in SH-SY5Y cells.非靶向代谢组学揭示了白藜芦醇苷在 SH-SY5Y 细胞中神经保护作用相关的途径。
Sci Rep. 2023 Nov 21;13(1):20385. doi: 10.1038/s41598-023-47558-y.
9
Preventive effects of resveratrol against early-life impairments in the animal model of autism induced by valproic acid.白藜芦醇对丙戊酸诱导的自闭症动物模型早期生活损伤的预防作用。
IBRO Neurosci Rep. 2023 Sep 23;15:242-251. doi: 10.1016/j.ibneur.2023.09.008. eCollection 2023 Dec.
10
Resveratrol and Other Natural Oligomeric Stilbenoid Compounds and Their Therapeutic Applications.白藜芦醇及其他天然低聚芪类化合物及其治疗应用。
Plants (Basel). 2023 Aug 14;12(16):2935. doi: 10.3390/plants12162935.