Suppr超能文献

一种用于临床实践中精准预测经外周静脉穿刺中心静脉置管相关血栓形成(PICC-RVT)及识别主要危险因素的多中心大数据方法。

A multi-center big-data approach for precise PICC-RVT prognosis and identification of major risk factors in clinical practice.

作者信息

Li Yue, Li Ting, Su Hengjie, Zhang Xin, Pu Jiangbo, Sun Hong, Liu Qiong, Zhang Bowen, Sun Biao, Li Jia, Yan Xinxin, Wang Laiyou

机构信息

Institute of Biomedical Engineering, Chinese Academy of Medical Sciences & Peking Union Medical College, Beijing, China.

School of Electronics and Information Engineering, TianGong University, Tianjin, China.

出版信息

Heliyon. 2024 Oct 12;10(20):e39178. doi: 10.1016/j.heliyon.2024.e39178. eCollection 2024 Oct 30.

Abstract

BACKGROUND

The Peripherally Inserted Central Catheter (PICC) is a widely used technique for delivering intravenous fluids and medications, especially in critical care units. PICC may induce venous thrombosis (PICC-RVT), which is a frequent and serious complication. In clinical practice, Color Doppler Flow Imaging (CDFI) is regarded as the gold standard for diagnosing PICC-RVT. However, CDFI not only requires prominent time and effort from experienced healthcare professionals, but also relies on the formation and development of PICC-RVT, especially at early stages of PICC-RVT, when PICC-RVT is not apparent. A prognosis tool for PICC-RVT is crucial to bridge the gap between its diagnosis and treatment, especially in resource-limited settings, such as remote healthcare facilities.

OBJECTIVE

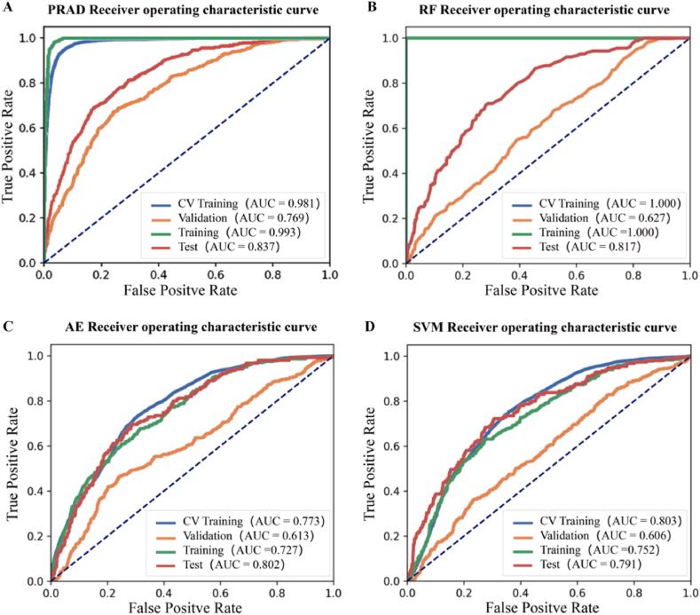
Evaluate over 14,885 models from various machine learning techniques to identify an effective prognostic model (referred to as PRAD - PICC-RVT Assessment via Deep-learning) for quantifying the risks associated with PICC-RVT.

METHODS

To tackle the challenges associated with PICC-RVT diagnosis, we gathered a comprehensive dataset of 5,272 patients from 27 healthcare centers across China. From a pool of 14885 models from various machine learning techniques, we systematically screened a data-driven prognostic model to quantify the risks associated with PICC-RVT. This model aims to provide objective evidence, and facilitate timely interventions.

RESULTS

The proposed model displayed exceptional predictive accuracy, achieving an accuracy of 86.4 % and an AUC of 0.837. Based on the prognosis model, we further incorporated a weight analysis to identify the major contributing factors for PICC-RVT risk during catheterization. Albumin levels, primary diagnosis, hemoglobin levels, platelet levels, and education level are emphasized as important risk factors.

CONCLUSIONS

Our method excels in predicting early PICC-RVT risks, especially in asymptomatic patients. The findings in this paper offers insights into controllable PICC risk factors that could benefit vast patients and reduce disease burden through stratification and early intervention.

摘要

背景

经外周静脉穿刺中心静脉置管(PICC)是一种广泛应用于输注静脉液体和药物的技术,尤其是在重症监护病房。PICC可能引发静脉血栓形成(PICC-RVT),这是一种常见且严重的并发症。在临床实践中,彩色多普勒血流成像(CDFI)被视为诊断PICC-RVT的金标准。然而,CDFI不仅需要经验丰富的医护人员投入大量时间和精力,还依赖于PICC-RVT的形成和发展,尤其是在PICC-RVT的早期阶段,此时PICC-RVT并不明显。PICC-RVT的预后工具对于弥合其诊断与治疗之间的差距至关重要,尤其是在资源有限的环境中,如偏远的医疗机构。

目的

评估来自各种机器学习技术的14885多个模型,以确定一种有效的预后模型(称为PRAD - 通过深度学习进行PICC-RVT评估),用于量化与PICC-RVT相关的风险。

方法

为应对与PICC-RVT诊断相关的挑战,我们收集了来自中国27个医疗中心的5272例患者的综合数据集。从来自各种机器学习技术的14885个模型中,我们系统地筛选出一个数据驱动的预后模型,以量化与PICC-RVT相关的风险。该模型旨在提供客观证据,并促进及时干预。

结果

所提出的模型显示出卓越的预测准确性,准确率达到86.4%,曲线下面积(AUC)为0.837。基于预后模型,我们进一步纳入权重分析,以确定置管期间PICC-RVT风险的主要影响因素。白蛋白水平、初步诊断、血红蛋白水平、血小板水平和教育程度被强调为重要的风险因素。

结论

我们的方法在预测早期PICC-RVT风险方面表现出色,尤其是在无症状患者中。本文的研究结果为可控的PICC风险因素提供了见解,这些因素可使广大患者受益,并通过分层和早期干预减轻疾病负担。

https://cdn.ncbi.nlm.nih.gov/pmc/blobs/a45f/11532296/7e3412b7b6b7/gr1.jpg

文献检索

告别复杂PubMed语法,用中文像聊天一样搜索,搜遍4000万医学文献。AI智能推荐,让科研检索更轻松。

立即免费搜索

文件翻译

保留排版,准确专业,支持PDF/Word/PPT等文件格式,支持 12+语言互译。

免费翻译文档

深度研究

AI帮你快速写综述,25分钟生成高质量综述,智能提取关键信息,辅助科研写作。

立即免费体验