Suppr超能文献

认知表现与老龄化人群整体、剂量、强度和领域体力活动的关联:NHANES 2011-2014。

Association of cognitive performance with overall, dosage, intensity, and domain physical activity in aging: NHANES 2011-2014.

机构信息

Chinese Academy of Medical Sciences, Peking Union Medical College School of Nursing, Beijing, China.

Department of Nursing, The First Affiliated Hospital of Zhejiang Chinese Medical University (Zhejiang Provincial Hospital of Chinese Medicine), No. 9 9th Street, Qiantang District, Hangzhou, Zhejiang, China.

出版信息

BMC Geriatr. 2024 Nov 5;24(1):910. doi: 10.1186/s12877-024-05503-2.

Abstract

BACKGROUND

The specific relationship between PA in detailed types and cognition is still unclear due to limited evidence. Our study aimed to investigate the relationship between cognitive performance and various aspects of physical activity, including overall activity, dosage, intensity levels [moderate physical activity (MPA), vigorous PA], and different domains of activity [occupational PA (OPA), transportation PA (TPA), and leisure-time PA (LTPA)] in older adults using data from the NHANES database.

METHODS

This cross-sectional analysis used data from 2 cycles of NHANES (2011-2014). PA was determined through participants' self-reports using the Global Physical Activity Questionnaire (GPAQ). Cognitive performance was evaluated by the presence of psychometric mild cognitive impairment (p-MCI), identified based on a composite measure derived from three cognitive tests including the Consortium to Establish a Registry for Alzheimer's Disease (CERAD), the Animal Fluency test, and the Digit Symbol Substitution test (DSST). Logistic regression models were used to evaluate the association.

RESULTS

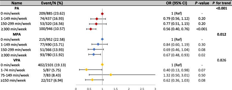
A total of 2588 participants aged 60 years or older were included, with an average age of 69.4 years and 48% being male. In the fully adjusted model, compared to no PA, performing 300 min of PA, and MPA were associated with 44%, and 33% reductions in the prevalence of p-MCI, respectively. Additionally, engaging in 1-149 min/week [OR 0.56, 95% CI (0.33-0.92)] and ≥ 300 min/week [OR 0.66, 95% CI (0.44-0.96)] of OPA, as well as ≥ 300 min/week [OR 0.56, 95% CI (0.36-0.86)] of LTPA, were also associated with a lower prevalence of p-MCI. Additionally, engaging in a diverse range of PA had better outcomes.

CONCLUSIONS

Our results suggested a positive association between higher levels of PA and enhanced cognitive performance. Different intensities and domains of PA have varying impacts on cognition. Future exploration, such as objectively measured PA and longitudinal studies were needed to validate our conclusion.

摘要

背景

由于证据有限,PA 在详细类型与认知之间的具体关系仍不清楚。我们的研究旨在使用 NHANES 数据库中的数据,调查老年人认知表现与各种身体活动方面的关系,包括总体活动、剂量、强度水平[中强度体力活动(MPA)、剧烈体力活动]以及不同活动领域[职业体力活动(OPA)、交通体力活动(TPA)和休闲时间体力活动(LTPA)]。

方法

本横断面分析使用了来自 NHANES (2011-2014)的两个周期的数据。通过参与者使用全球体力活动问卷(GPAQ)进行的自我报告来确定体力活动。认知表现通过基于三个认知测试的综合指标来评估,包括阿尔茨海默病协会(Alzheimer's Disease Association)的认知评估研究(CERAD)、动物流畅性测试和数字符号替换测试(DSST),存在心理计量学轻度认知障碍(p-MCI)表示。使用逻辑回归模型评估关联。

结果

共纳入 2588 名年龄在 60 岁或以上的参与者,平均年龄为 69.4 岁,48%为男性。在完全调整的模型中,与没有体力活动相比,进行 300 分钟的体力活动和 MPA 分别与 p-MCI 患病率降低 44%和 33%相关。此外,每周进行 1-149 分钟[OR 0.56,95% CI(0.33-0.92)]和≥300 分钟[OR 0.66,95% CI(0.44-0.96)]的 OPA,以及每周≥300 分钟[OR 0.56,95% CI(0.36-0.86)]的 LTPA 也与 p-MCI 的患病率降低相关。此外,进行多样化的体力活动有更好的结果。

结论

我们的结果表明,较高水平的体力活动与认知表现提高之间存在正相关。不同强度和领域的体力活动对认知有不同的影响。需要进一步探索,例如使用客观测量的体力活动和纵向研究来验证我们的结论。

https://cdn.ncbi.nlm.nih.gov/pmc/blobs/1554/11536546/6440a1f3979d/12877_2024_5503_Fig1_HTML.jpg

文献AI研究员

20分钟写一篇综述,助力文献阅读效率提升50倍。

立即体验

用中文搜PubMed

大模型驱动的PubMed中文搜索引擎

马上搜索

文档翻译

学术文献翻译模型,支持多种主流文档格式。

立即体验