Tanaka Yoshiaki, Inoue Daisuke, Tsuyoshi Hideaki, Nakamura Yuriko, Kato Masato, Kato Masataka, Niwa Kentaro, Yashiro Kenji, Orisaka Makoto, Yoshida Yoshio
Department of Obstetrics and Gynecology, Faculty of Medical Sciences, University of Fukui, 23-3 Matsuokashimoaiduki, Yoshida-Gun, Eiheiji-Cho, Fukui 910-1104, Japan.
Department of Obstetrics and Gynecology, Fukui Prefectural Hospital, 2-8-1 Yotsui, Fukui 910-0846, Japan.
Cancers (Basel). 2024 Oct 25;16(21):3602. doi: 10.3390/cancers16213602.
Nutritional status is an important factor influencing toxicity of treatment. Nutritional assessment indicators such as the Prognostic Nutritional Index (PNI), Controlling Nutritional Status (CONUT) score and modified Glasgow Prognostic Score (mGPS) have been reported to be associated with treatment-related adverse events (AEs) for various malignancies. However, there are no reports investigating the relationship between nutritional status and AEs from poly-(ADP-ribose) polymerase (PARP) inhibitors (PARPi), which are widely used in recent years as maintenance therapy for ovarian cancer.
The primary objective was to investigate the usefulness of nutritional assessment indicators in predicting treatment discontinuation due to AEs from PARPi.
This multicenter retrospective study included patients diagnosed with ovarian cancer who received maintenance therapy with PARPi from January 2018 to December 2023. PNI, CONUT score, and mGPS were calculated based on hematological parameters measured within 7 days before the start of PARPi therapy.
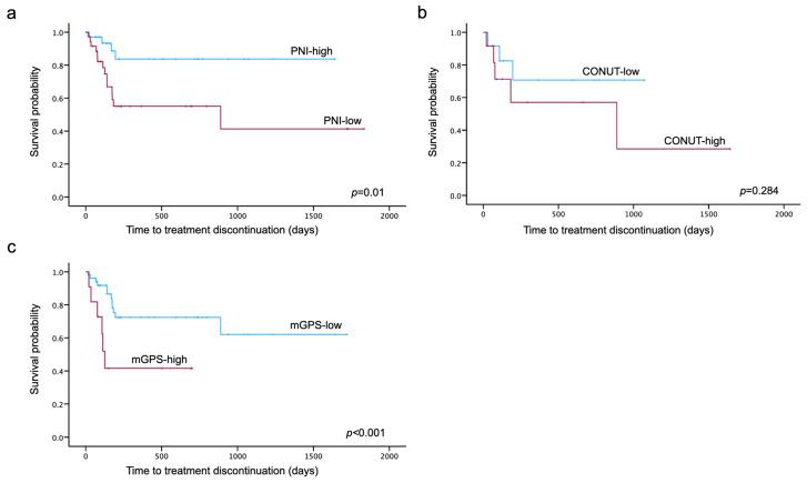
A total of 272 patients received maintenance therapy with PARPi during the period, but due to the absence of the blood collection of albumin levels within one week or other exclusion criteria, 71 patients were finally included in this analysis. AEs were seen in 59 patients (83.1%), including 25 (35.2%) severe events (grade ≥3 in Common Terminology Criteria for Adverse Events v5.0). Eighteen patients (25.4%) discontinued treatment due to PARPi-related AEs. Low PNI (<48.44) and high mGPS (≥1) were predictors of treatment discontinuation in both univariate and multivariate analyses. CONUT was not a significant predictor in this study.
Our study suggested that PNI and mGPS can predict the risk of treatment discontinuation due to PARPi-related AEs before starting maintenance therapy. This insight opens avenues for more personalized treatment plans, potentially improving patient outcomes.
营养状况是影响治疗毒性的一个重要因素。据报道,诸如预后营养指数(PNI)、控制营养状况(CONUT)评分和改良格拉斯哥预后评分(mGPS)等营养评估指标与各种恶性肿瘤的治疗相关不良事件(AE)有关。然而,目前尚无关于营养状况与聚(ADP-核糖)聚合酶(PARP)抑制剂(PARPi)所致不良事件之间关系的报道,PARPi近年来被广泛用作卵巢癌的维持治疗药物。
主要目的是研究营养评估指标在预测因PARPi所致不良事件而停药方面的有效性。
这项多中心回顾性研究纳入了2018年1月至2023年12月期间接受PARPi维持治疗的卵巢癌患者。根据PARPi治疗开始前7天内测得的血液学参数计算PNI、CONUT评分和mGPS。
在此期间共有272例患者接受了PARPi维持治疗,但由于一周内未采集白蛋白水平或存在其他排除标准,最终71例患者纳入本分析。59例患者(83.1%)出现不良事件,其中25例(35.2%)为严重事件(不良事件通用术语标准v5.0中≥3级)。18例患者(25.4%)因PARPi相关不良事件停药。在单因素和多因素分析中,低PNI(<48.44)和高mGPS(≥1)是停药的预测因素。在本研究中,CONUT不是一个显著的预测因素。
我们的研究表明,PNI和mGPS可以在开始维持治疗前预测因PARPi相关不良事件而停药的风险。这一见解为制定更个性化的治疗方案开辟了途径,可能改善患者预后。