• 文献检索
  • 文档翻译
  • 深度研究
  • 学术资讯
  • Suppr Zotero 插件Zotero 插件
  • 邀请有礼
  • 套餐&价格
  • 历史记录
应用&插件
Suppr Zotero 插件Zotero 插件浏览器插件Mac 客户端Windows 客户端微信小程序
定价
高级版会员购买积分包购买API积分包
服务
文献检索文档翻译深度研究API 文档MCP 服务
关于我们
关于 Suppr公司介绍联系我们用户协议隐私条款
关注我们

Suppr 超能文献

核心技术专利:CN118964589B侵权必究
粤ICP备2023148730 号-1Suppr @ 2026

文献检索

告别复杂PubMed语法,用中文像聊天一样搜索,搜遍4000万医学文献。AI智能推荐,让科研检索更轻松。

立即免费搜索

文件翻译

保留排版,准确专业,支持PDF/Word/PPT等文件格式,支持 12+语言互译。

免费翻译文档

深度研究

AI帮你快速写综述,25分钟生成高质量综述,智能提取关键信息,辅助科研写作。

立即免费体验

MetaCompare 2.0:生态与人类健康抗性组风险的差异排名

MetaCompare 2.0: differential ranking of ecological and human health resistome risks.

作者信息

Rumi Monjura Afrin, Oh Min, Davis Benjamin C, Brown Connor L, Juvekar Adheesh, Vikesland Peter J, Pruden Amy, Zhang Liqing

机构信息

Department of Computer Science, Virginia Tech, Blacksburg, VA 24060, USA.

Microsoft Research, Redmond, 98052 WA, USA.

出版信息

FEMS Microbiol Ecol. 2024 Nov 23;100(12). doi: 10.1093/femsec/fiae155.

DOI:10.1093/femsec/fiae155
PMID:39521944
原文链接:https://pmc.ncbi.nlm.nih.gov/articles/PMC12116288/
Abstract

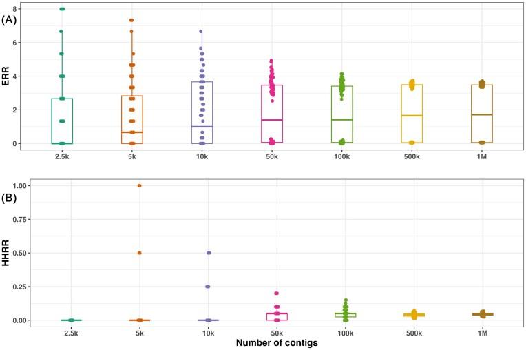
While numerous environmental factors contribute to the spread of antibiotic resistance genes (ARGs), quantifying their relative contributions remains a fundamental challenge. Similarly, it is important to differentiate acute human health risks from environmental exposure, versus broader ecological risk of ARG evolution and spread across microbial taxa. Recent studies have proposed various methods for achieving such aims. Here, we introduce MetaCompare 2.0, which improves upon original MetaCompare pipeline by differentiating indicators of human health resistome risk (potential for human pathogens of acute resistance concern to acquire ARGs) from ecological resistome risk (overall mobility of ARGs and potential for pathogen acquisition). The updated pipeline's sensitivity was demonstrated by analyzing diverse publicly-available metagenomes from wastewater, surface water, soil, sediment, human gut, and synthetic microbial communities. MetaCompare 2.0 provided distinct rankings of the metagenomes according to both human health resistome risk and ecological resistome risk, with both scores trending higher when influenced by anthropogenic impact or other stress. We evaluated the robustness of the pipeline to sequence assembly methods, sequencing depth, contig count, and metagenomic library coverage bias. The risk scores were remarkably consistent despite variations in these technological aspects. We packaged the improved pipeline into a publicly-available web service (http://metacompare.cs.vt.edu/) that provides an easy-to-use interface for computing resistome risk scores and visualizing results.

摘要

虽然众多环境因素促成了抗生素抗性基因(ARGs)的传播,但量化它们的相对贡献仍然是一项根本性挑战。同样,区分环境暴露对人类健康的急性风险与ARGs在微生物类群中进化和传播的更广泛生态风险也很重要。最近的研究提出了各种方法来实现这些目标。在此,我们介绍MetaCompare 2.0,它在原始MetaCompare流程的基础上进行了改进,区分了人类健康抗性组风险指标(急性抗性相关人类病原体获取ARGs的可能性)和生态抗性组风险指标(ARGs的整体移动性以及病原体获取的可能性)。通过分析来自废水、地表水、土壤、沉积物、人类肠道和合成微生物群落的各种公开可用宏基因组,证明了更新后流程的敏感性。MetaCompare 2.0根据人类健康抗性组风险和生态抗性组风险对宏基因组给出了不同的排名,当受到人为影响或其他压力时,这两个分数都呈上升趋势。我们评估了该流程对序列组装方法、测序深度、重叠群数量和宏基因组文库覆盖偏差的稳健性。尽管在这些技术方面存在差异,但风险评分非常一致。我们将改进后的流程打包成一个公开可用的网络服务(http://metacompare.cs.vt.edu/),该服务提供了一个易于使用的界面来计算抗性组风险评分并可视化结果。

https://cdn.ncbi.nlm.nih.gov/pmc/blobs/aeea/12116288/3f06525c36df/fiae155fig6.jpg
https://cdn.ncbi.nlm.nih.gov/pmc/blobs/aeea/12116288/c0e3b4a1ad61/fiae155fig1.jpg
https://cdn.ncbi.nlm.nih.gov/pmc/blobs/aeea/12116288/72c23dfaff68/fiae155fig2.jpg
https://cdn.ncbi.nlm.nih.gov/pmc/blobs/aeea/12116288/60ec66b31940/fiae155fig3.jpg
https://cdn.ncbi.nlm.nih.gov/pmc/blobs/aeea/12116288/1de72eb05d77/fiae155fig4.jpg
https://cdn.ncbi.nlm.nih.gov/pmc/blobs/aeea/12116288/89ab942f301d/fiae155fig5.jpg
https://cdn.ncbi.nlm.nih.gov/pmc/blobs/aeea/12116288/3f06525c36df/fiae155fig6.jpg
https://cdn.ncbi.nlm.nih.gov/pmc/blobs/aeea/12116288/c0e3b4a1ad61/fiae155fig1.jpg
https://cdn.ncbi.nlm.nih.gov/pmc/blobs/aeea/12116288/72c23dfaff68/fiae155fig2.jpg
https://cdn.ncbi.nlm.nih.gov/pmc/blobs/aeea/12116288/60ec66b31940/fiae155fig3.jpg
https://cdn.ncbi.nlm.nih.gov/pmc/blobs/aeea/12116288/1de72eb05d77/fiae155fig4.jpg
https://cdn.ncbi.nlm.nih.gov/pmc/blobs/aeea/12116288/89ab942f301d/fiae155fig5.jpg
https://cdn.ncbi.nlm.nih.gov/pmc/blobs/aeea/12116288/3f06525c36df/fiae155fig6.jpg

相似文献

1
MetaCompare 2.0: differential ranking of ecological and human health resistome risks.MetaCompare 2.0:生态与人类健康抗性组风险的差异排名
FEMS Microbiol Ecol. 2024 Nov 23;100(12). doi: 10.1093/femsec/fiae155.
2
MetaCompare: a computational pipeline for prioritizing environmental resistome risk.MetaCompare:一种用于优先考虑环境抗性风险的计算管道。
FEMS Microbiol Ecol. 2018 Jul 1;94(7). doi: 10.1093/femsec/fiy079.
3
Mobile resistome of human gut and pathogen drives anthropogenic bloom of antibiotic resistance.人类肠道和病原体的移动抗性组推动了抗生素抗性的人为激增。
Microbiome. 2020 Jan 7;8(1):2. doi: 10.1186/s40168-019-0774-7.
4
The Bacterial Mobile Resistome Transfer Network Connecting the Animal and Human Microbiomes.连接动物和人类微生物群的细菌移动耐药基因组转移网络。
Appl Environ Microbiol. 2016 Oct 27;82(22):6672-6681. doi: 10.1128/AEM.01802-16. Print 2016 Nov 15.
5
Multiplexed Target Enrichment Enables Efficient and In-Depth Analysis of Antimicrobial Resistome in Metagenomes.多重靶向富集可提高宏基因组中抗微生物组的高效和深度分析。
Microbiol Spectr. 2022 Dec 21;10(6):e0229722. doi: 10.1128/spectrum.02297-22. Epub 2022 Oct 26.
6
NanoARG: a web service for detecting and contextualizing antimicrobial resistance genes from nanopore-derived metagenomes.NanoARG:一个从纳米孔宏基因组中检测和分析抗菌药物耐药基因的网络服务。
Microbiome. 2019 Jun 7;7(1):88. doi: 10.1186/s40168-019-0703-9.
7
Metagenomic Assembly Reveals Hosts of Antibiotic Resistance Genes and the Shared Resistome in Pig, Chicken, and Human Feces.宏基因组组装揭示了猪、鸡和人粪便中抗生素耐药基因的宿主和共享耐药组。
Environ Sci Technol. 2016 Jan 5;50(1):420-7. doi: 10.1021/acs.est.5b03522. Epub 2015 Dec 22.
8
Destination shapes antibiotic resistance gene acquisitions, abundance increases, and diversity changes in Dutch travelers.目的地影响抗生素耐药基因的获得、丰度增加和多样性变化在荷兰旅行者中。
Genome Med. 2021 Jun 7;13(1):79. doi: 10.1186/s13073-021-00893-z.
9
Antibiotic resistance and resistome risks of inhalable bioaerosols at aeration tank of a full-scale wastewater treatment plant.在一个大型污水处理厂的曝气池中,可吸入生物气溶胶的抗生素耐药性和耐药组风险。
J Hazard Mater. 2024 Dec 5;480:136253. doi: 10.1016/j.jhazmat.2024.136253. Epub 2024 Oct 22.
10
Metagenomics of high-altitude groundwater reveal different health risks associated with antibiotic-resistant pathogens and bacterial resistome in the latitudinal gradient.高海拔地下水的宏基因组学揭示了与抗生素耐药性病原体和细菌耐药组在纬度梯度上相关的不同健康风险。
Water Res. 2024 Sep 15;262:122032. doi: 10.1016/j.watres.2024.122032. Epub 2024 Jul 4.

引用本文的文献

1
Chinese soy-based microbiome and associated microbial risks: a metagenomic investigation.基于大豆的中国微生物组及其相关微生物风险:一项宏基因组学研究。
NPJ Biofilms Microbiomes. 2025 Jul 18;11(1):136. doi: 10.1038/s41522-025-00768-w.

本文引用的文献

1
Environmental microbiome diversity and stability is a barrier to antimicrobial resistance gene accumulation.环境微生物组的多样性和稳定性是抗微生物药物耐药基因积累的障碍。
Commun Biol. 2024 Jun 8;7(1):706. doi: 10.1038/s42003-024-06338-8.
2
ESKAPE pathogens: antimicrobial resistance, epidemiology, clinical impact and therapeutics.ESKAPE 病原体:抗微生物药物耐药性、流行病学、临床影响和治疗学。
Nat Rev Microbiol. 2024 Oct;22(10):598-616. doi: 10.1038/s41579-024-01054-w. Epub 2024 Jun 3.
3
Metagenomic assembly is the main bottleneck in the identification of mobile genetic elements.
宏基因组组装是鉴定移动遗传元件的主要瓶颈。
PeerJ. 2024 Jan 4;12:e16695. doi: 10.7717/peerj.16695. eCollection 2024.
4
Major data analysis errors invalidate cancer microbiome findings.主要数据分析错误使癌症微生物组研究结果无效。
mBio. 2023 Oct 31;14(5):e0160723. doi: 10.1128/mbio.01607-23. Epub 2023 Oct 9.
5
HOTSPOT: hierarchical host prediction for assembled plasmid contigs with transformer.热点:使用 Transformer 进行组装质粒 contigs 的分层宿主预测。
Bioinformatics. 2023 May 4;39(5). doi: 10.1093/bioinformatics/btad283.
6
Mariculture affects antibiotic resistome and microbiome in the coastal environment.海水养殖影响沿海环境中的抗生素抗性组和微生物组。
J Hazard Mater. 2023 Jun 15;452:131208. doi: 10.1016/j.jhazmat.2023.131208. Epub 2023 Mar 16.
7
A proposed framework for the identification of indicator genes for monitoring antibiotic resistance in wastewater: Insights from metagenomic sequencing.一种用于识别废水中监测抗生素抗性指标基因的拟议框架:来自宏基因组测序的见解
Sci Total Environ. 2023 Jan 1;854:158698. doi: 10.1016/j.scitotenv.2022.158698. Epub 2022 Sep 13.
8
mobileOG-db: a Manually Curated Database of Protein Families Mediating the Life Cycle of Bacterial Mobile Genetic Elements.移动 OG-db:一个人工 curated 的数据库,其中包含介导细菌移动遗传元件生命周期的蛋白质家族。
Appl Environ Microbiol. 2022 Sep 22;88(18):e0099122. doi: 10.1128/aem.00991-22. Epub 2022 Aug 29.
9
Molecular characterization of multidrug-resistant ESKAPEE pathogens from clinical samples in Chonburi, Thailand (2017-2018).泰国春武里府临床样本中 ESKAPEE 多重耐药病原体的分子特征(2017-2018 年)。
BMC Infect Dis. 2022 Aug 17;22(1):695. doi: 10.1186/s12879-022-07678-8.
10
Antibiotic Resistance Genes in River Biofilms: A Metagenomic Approach toward the Identification of Sources and Candidate Hosts.河流生物膜中的抗生素耐药基因:一种用于鉴定来源和候选宿主的宏基因组学方法。
Environ Sci Technol. 2022 Nov 1;56(21):14913-14922. doi: 10.1021/acs.est.2c00370. Epub 2022 Apr 25.