• 文献检索
  • 文档翻译
  • 深度研究
  • 学术资讯
  • Suppr Zotero 插件Zotero 插件
  • 邀请有礼
  • 套餐&价格
  • 历史记录
应用&插件
Suppr Zotero 插件Zotero 插件浏览器插件Mac 客户端Windows 客户端微信小程序
定价
高级版会员购买积分包购买API积分包
服务
文献检索文档翻译深度研究API 文档MCP 服务
关于我们
关于 Suppr公司介绍联系我们用户协议隐私条款
关注我们

Suppr 超能文献

核心技术专利:CN118964589B侵权必究
粤ICP备2023148730 号-1Suppr @ 2026

文献检索

告别复杂PubMed语法,用中文像聊天一样搜索,搜遍4000万医学文献。AI智能推荐,让科研检索更轻松。

立即免费搜索

文件翻译

保留排版,准确专业,支持PDF/Word/PPT等文件格式,支持 12+语言互译。

免费翻译文档

深度研究

AI帮你快速写综述,25分钟生成高质量综述,智能提取关键信息,辅助科研写作。

立即免费体验

一种使用主成分分析联合检验主效应和交互效应的通用核机器回归框架:在人类微生物组研究中的应用。

A general kernel machine regression framework using principal component analysis for jointly testing main and interaction effects: Applications to human microbiome studies.

作者信息

Koh Hyunwook

机构信息

Department of Applied Mathematics and Statistics, The State University of New York, Korea, Incheon 21985, South Korea.

出版信息

NAR Genom Bioinform. 2024 Nov 12;6(4):lqae148. doi: 10.1093/nargab/lqae148. eCollection 2024 Sep.

DOI:10.1093/nargab/lqae148
PMID:39534501
原文链接:https://pmc.ncbi.nlm.nih.gov/articles/PMC11555437/
Abstract

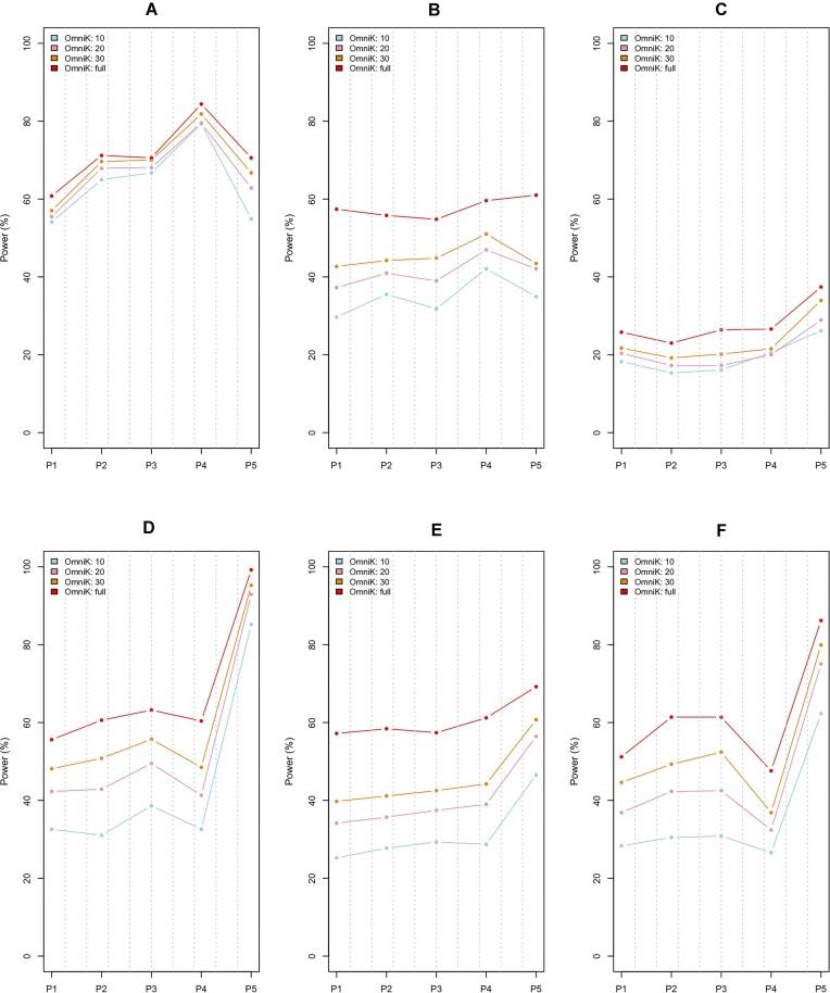
The effect of a treatment on a health or disease response can be modified by genetic or microbial variants. It is the matter of interaction effects between genetic or microbial variants and a treatment. To powerfully discover genetic or microbial biomarkers, it is crucial to incorporate such interaction effects in addition to the main effects. However, in the context of kernel machine regression analysis of its kind, existing methods cannot be utilized in a situation, where a kernel is available but its underlying real variants are unknown. To address such limitations, I introduce a general kernel machine regression framework using principal component analysis for jointly testing main and interaction effects. It begins with extracting principal components from an input kernel through the singular value decomposition. Then, it employs the principal components as surrogate variants to construct three endogenous kernels for the main effects, interaction effects, and both of them, respectively. Hence, it works with a kernel as an input without knowing its underlying real variants, and also detects either the main effects, interaction effects, or both of them robustly. I also introduce its omnibus testing extension to multiple input kernels, named OmniK. I demonstrate its use for human microbiome studies.

摘要

一种治疗方法对健康或疾病反应的影响可能会受到基因或微生物变异的改变。这涉及到基因或微生物变异与治疗之间的相互作用效应问题。为了有力地发现基因或微生物生物标志物,除了主效应外,纳入这种相互作用效应至关重要。然而,在这类核机器回归分析的背景下,现有方法无法应用于一种情况,即存在核但未知其潜在的真实变异。为了解决这些局限性,我引入了一个使用主成分分析的通用核机器回归框架,用于联合检验主效应和相互作用效应。它首先通过奇异值分解从输入核中提取主成分。然后,它将主成分用作替代变异,分别构建用于主效应、相互作用效应以及两者的三个内生核。因此,它在不知道潜在真实变异的情况下以核作为输入进行工作,并且还能稳健地检测主效应、相互作用效应或两者。我还介绍了它对多个输入核的综合检验扩展,称为OmniK。我展示了它在人类微生物组研究中的应用。

https://cdn.ncbi.nlm.nih.gov/pmc/blobs/3e96/11555437/a2c1ae1a5d65/lqae148fig2.jpg
https://cdn.ncbi.nlm.nih.gov/pmc/blobs/3e96/11555437/d80af21c66e6/lqae148fig1.jpg
https://cdn.ncbi.nlm.nih.gov/pmc/blobs/3e96/11555437/a2c1ae1a5d65/lqae148fig2.jpg
https://cdn.ncbi.nlm.nih.gov/pmc/blobs/3e96/11555437/d80af21c66e6/lqae148fig1.jpg
https://cdn.ncbi.nlm.nih.gov/pmc/blobs/3e96/11555437/a2c1ae1a5d65/lqae148fig2.jpg

相似文献

1
A general kernel machine regression framework using principal component analysis for jointly testing main and interaction effects: Applications to human microbiome studies.一种使用主成分分析联合检验主效应和交互效应的通用核机器回归框架:在人类微生物组研究中的应用。
NAR Genom Bioinform. 2024 Nov 12;6(4):lqae148. doi: 10.1093/nargab/lqae148. eCollection 2024 Sep.
2
Kernel machine SNP-set testing under multiple candidate kernels.基于多个候选核的核机器 SNP 集检验。
Genet Epidemiol. 2013 Apr;37(3):267-75. doi: 10.1002/gepi.21715. Epub 2013 Mar 7.
3
A small-sample multivariate kernel machine test for microbiome association studies.用于微生物组关联研究的小样本多变量核机器测试。
Genet Epidemiol. 2017 Apr;41(3):210-220. doi: 10.1002/gepi.22030. Epub 2016 Dec 26.
4
Composite kernel machine regression based on likelihood ratio test for joint testing of genetic and gene-environment interaction effect.基于似然比检验的复合核机器回归用于基因与基因-环境交互作用效应的联合检验
Biometrics. 2019 Jun;75(2):625-637. doi: 10.1111/biom.13003. Epub 2019 Mar 30.
5
Multivariate phenotype association analysis by marker-set kernel machine regression.基于标记集核机器回归的多变量表型关联分析。
Genet Epidemiol. 2012 Nov;36(7):686-95. doi: 10.1002/gepi.21663. Epub 2012 Aug 16.
6
A Fast Multiple-Kernel Method With Applications to Detect Gene-Environment Interaction.一种应用于检测基因-环境相互作用的快速多核方法。
Genet Epidemiol. 2015 Sep;39(6):456-68. doi: 10.1002/gepi.21909. Epub 2015 Jul 3.
7
Prioritizing individual genetic variants after kernel machine testing using variable selection.在使用变量选择的核机器测试后对个体遗传变异进行优先级排序。
Genet Epidemiol. 2016 Dec;40(8):722-731. doi: 10.1002/gepi.21993. Epub 2016 Aug 3.
8
A Distance-Based Kernel Association Test Based on the Generalized Linear Mixed Model for Correlated Microbiome Studies.基于广义线性混合模型的距离核关联检验在相关微生物组研究中的应用
Front Genet. 2019 May 16;10:458. doi: 10.3389/fgene.2019.00458. eCollection 2019.
9
Kernel-imbedded Gaussian processes for disease classification using microarray gene expression data.使用微阵列基因表达数据的用于疾病分类的核嵌入高斯过程。
BMC Bioinformatics. 2007 Feb 28;8:67. doi: 10.1186/1471-2105-8-67.
10
An optimal kernel-based U-statistic method for quantitative gene-set association analysis.一种用于定量基因集关联分析的基于核的最优U统计量方法。
Genet Epidemiol. 2019 Mar;43(2):137-149. doi: 10.1002/gepi.22170. Epub 2018 Nov 19.

本文引用的文献

1
Short-term periodic restricted feeding elicits metabolome-microbiome signatures with sex dimorphic persistence in primate intervention.短期周期性限制进食在灵长类动物干预中引发具有性别二态性持久性的代谢组-微生物组特征。
Nat Commun. 2024 Feb 5;15(1):1088. doi: 10.1038/s41467-024-45359-z.
2
Subgroup Identification Using Virtual Twins for Human Microbiome Studies.利用虚拟双胞胎进行人类微生物组研究的亚组识别。
IEEE/ACM Trans Comput Biol Bioinform. 2023 Nov-Dec;20(6):3800-3808. doi: 10.1109/TCBB.2023.3324139. Epub 2023 Dec 25.
3
The sequence kernel association test for multicategorical outcomes.
用于多分类结局的序列核关联检验。
Genet Epidemiol. 2023 Sep;47(6):432-449. doi: 10.1002/gepi.22527. Epub 2023 Apr 19.
4
The mediating roles of the oral microbiome in saliva and subgingival sites between e-cigarette smoking and gingival inflammation.电子烟吸烟与牙龈炎症之间口腔微生物组在唾液和龈下部位的中介作用。
BMC Microbiol. 2023 Feb 2;23(1):35. doi: 10.1186/s12866-023-02779-z.
5
Microbiota in health and diseases.肠道菌群与健康和疾病。
Signal Transduct Target Ther. 2022 Apr 23;7(1):135. doi: 10.1038/s41392-022-00974-4.
6
MiRKAT-MC: A Distance-Based Microbiome Kernel Association Test With Multi-Categorical Outcomes.MiRKAT-MC:一种用于多分类结局的基于距离的微生物组核关联检验
Front Genet. 2022 Apr 1;13:841764. doi: 10.3389/fgene.2022.841764. eCollection 2022.
7
Composite Kernel Association Test (CKAT) for SNP-set joint assessment of genotype and genotype-by-treatment interaction in Pharmacogenetics studies.复合核关联检验(CKAT)用于药物遗传学研究中 SNP 集联合评估基因型和基因型-处理相互作用。
Bioinformatics. 2020 May 1;36(10):3162-3168. doi: 10.1093/bioinformatics/btaa125.
8
A Distance-Based Kernel Association Test Based on the Generalized Linear Mixed Model for Correlated Microbiome Studies.基于广义线性混合模型的距离核关联检验在相关微生物组研究中的应用
Front Genet. 2019 May 16;10:458. doi: 10.3389/fgene.2019.00458. eCollection 2019.
9
Composite kernel machine regression based on likelihood ratio test for joint testing of genetic and gene-environment interaction effect.基于似然比检验的复合核机器回归用于基因与基因-环境交互作用效应的联合检验
Biometrics. 2019 Jun;75(2):625-637. doi: 10.1111/biom.13003. Epub 2019 Mar 30.
10
MiRKAT-S: a community-level test of association between the microbiota and survival times.MiRKAT-S:群落水平的微生物组与生存时间关联的检验。
Microbiome. 2017 Feb 8;5(1):17. doi: 10.1186/s40168-017-0239-9.