Suppr超能文献

依赖透析的慢性肾脏病贫血患者对促红细胞生成素刺激剂反应低下:一项回顾性观察研究

Hyporesponsiveness to Erythropoiesis-Stimulating Agents in Dialysis-Dependent Patients with Anaemia of Chronic Kidney Disease: A Retrospective Observational Study.

作者信息

Atzinger Christopher, Arens Hans-Jürgen, Neri Luca, Arkossy Otto, Garbelli Mario, Jiletcovici Alina, Snijder Robert, Leyland Kirsten, Khalife Najib, Ali Mahmood, Feuersenger Astrid

机构信息

Astellas Pharma Global Development Inc., Northbrook, IL, USA.

Fresenius Medical Care D GmbH, Bad Homburg, Germany.

出版信息

Adv Ther. 2025 Jan;42(1):471-489. doi: 10.1007/s12325-024-03015-4. Epub 2024 Nov 25.

Abstract

INTRODUCTION

Hyporesponsiveness to erythropoiesis-stimulating agents (ESAs) in patients with anaemia of chronic kidney disease may lead to increased ESA doses to achieve target haemoglobin levels; however, elevated doses may be associated with increased mortality. Furthermore, patients with hyporesponsiveness to ESAs have poorer clinical outcomes than those who respond well to ESAs. Incidence and clinical characteristics of patients with ESA hyporesponsiveness were explored in a real-world setting.

METHODS

This was a retrospective study of electronic medical records of adults with stage 5 chronic kidney disease receiving renal replacement therapy and ESA treatment, from 1 January 2015 to 31 December 2021. The primary objective was ESA hyporesponsiveness rate/1000 days, with a hyporesponsive event defined as ESA use at an elevated dose, according to National Institute for Health and Care Excellence (NICE) criteria. Other hyporesponsiveness definitions applied were erythropoietin resistance index-defined ESA hyporesponsiveness (ERI) Kidney Disease Improving Global Outcomes (KDIGO) and a clinical practicality algorithm.

RESULTS

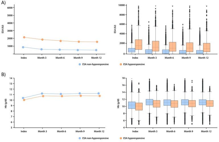
In total, 85,259 patients were included in the analysis; 59.9% were male, median (interquartile range) ESA starting dose was 733.3 (400.0, 1200.0) IU/week and follow-up duration was 2.2 (1.0, 4.2) years. Incidence of ESA hyporesponsiveness varied when applying different definitions; NICE 0.05/1000 days (5.2% of patients), ERI 0.40/1000 days (40.7%), KDIGO 0.15/1000 days (15.4%), and clinical practicality algorithm 0.48/1000 days (47.9%). ESA doses remained higher in hyporesponsive versus responsive patients, yet haemoglobin levels were similar between groups.

CONCLUSION

The results from this study, which applied multiple hyporesponsiveness definitions to a large, geographically diverse population of patients with anaemia of CKD, showed variation in ESA hyporesponsiveness incidence rates depending on definitions used and higher ESA doses in hyporesponsive versus responsive patients. These results underscore the need for individualised clinical assessment and thorough evaluation when considering ESA dose adjustments to reach haemoglobin targets. Graphical abstract available for this article.

TRIAL REGISTRATION

NCT05530291.

摘要

引言

慢性肾脏病贫血患者对促红细胞生成素(ESA)反应低下可能导致为达到目标血红蛋白水平而增加ESA剂量;然而,高剂量可能与死亡率增加相关。此外,对ESA反应低下的患者临床结局比反应良好的患者更差。我们在真实世界环境中探究了ESA反应低下患者的发病率及临床特征。

方法

这是一项对2015年1月1日至2021年12月31日接受肾脏替代治疗和ESA治疗的5期慢性肾脏病成年患者电子病历的回顾性研究。主要目标是计算ESA反应低下率/1000天,根据英国国家卫生与临床优化研究所(NICE)标准,反应低下事件定义为使用高剂量ESA。应用的其他反应低下定义包括促红细胞生成素抵抗指数定义的ESA反应低下(ERI)、改善全球肾脏病预后组织(KDIGO)标准以及临床实用性算法。

结果

总计85259例患者纳入分析;59.9%为男性,ESA起始剂量中位数(四分位间距)为733.3(400.0,1200.0)IU/周,随访时间为2.2(1.0,4.2)年。应用不同定义时,ESA反应低下的发生率有所不同;NICE标准为0.05/1000天(5.2%的患者),ERI为0.40/1000天(40.7%),KDIGO为0.15/1000天(15.4%),临床实用性算法为0.48/1000天(47.9%)。反应低下患者的ESA剂量仍高于反应良好患者,但两组间血红蛋白水平相似。

结论

本研究对大量来自不同地理区域的慢性肾脏病贫血患者应用多种反应低下定义,结果显示根据所用定义,ESA反应低下发生率存在差异,且反应低下患者的ESA剂量高于反应良好患者。这些结果强调在考虑调整ESA剂量以达到血红蛋白目标时,需要进行个体化临床评估和全面评估。本文提供了图形摘要。

试验注册

NCT05530291

https://cdn.ncbi.nlm.nih.gov/pmc/blobs/c737/11782378/df7e1d1f6d54/12325_2024_3015_Fig1_HTML.jpg

文献检索

告别复杂PubMed语法,用中文像聊天一样搜索,搜遍4000万医学文献。AI智能推荐,让科研检索更轻松。

立即免费搜索

文件翻译

保留排版,准确专业,支持PDF/Word/PPT等文件格式,支持 12+语言互译。

免费翻译文档

深度研究

AI帮你快速写综述,25分钟生成高质量综述,智能提取关键信息,辅助科研写作。

立即免费体验