• 文献检索
  • 文档翻译
  • 深度研究
  • 学术资讯
  • Suppr Zotero 插件Zotero 插件
  • 邀请有礼
  • 套餐&价格
  • 历史记录
应用&插件
Suppr Zotero 插件Zotero 插件浏览器插件Mac 客户端Windows 客户端微信小程序
定价
高级版会员购买积分包购买API积分包
服务
文献检索文档翻译深度研究API 文档MCP 服务
关于我们
关于 Suppr公司介绍联系我们用户协议隐私条款
关注我们

Suppr 超能文献

核心技术专利:CN118964589B侵权必究
粤ICP备2023148730 号-1Suppr @ 2026

文献检索

告别复杂PubMed语法,用中文像聊天一样搜索,搜遍4000万医学文献。AI智能推荐,让科研检索更轻松。

立即免费搜索

文件翻译

保留排版,准确专业,支持PDF/Word/PPT等文件格式,支持 12+语言互译。

免费翻译文档

深度研究

AI帮你快速写综述,25分钟生成高质量综述,智能提取关键信息,辅助科研写作。

立即免费体验

植物提取物和益生菌对坏死性肠炎鸡生长性能和肠道健康的比较效果

Comparative Efficacy of Plant Extracts and Probiotics on Growth and Gut Health in Chickens with Necrotic Enteritis.

作者信息

Zhang Ruiting, Yang Jia, Wang Qingjie, Hu Dandan, Zhao Qiping, Zhu Shunhai, Qiao Yu, Zhao Fanghe, Wang Zhongchuang, Wang Jinwen, Yu Yu, Han Hongyu, Hao Lili, Dong Hui

机构信息

Key Laboratory of Animal Parasitology of Ministry of Agriculture, Shanghai Veterinary Research Institute, Chinese Academy of Agricultural Sciences, Minhang, Shanghai 200241, China.

College of Animal Science and Technology, Guangxi University, Nanning 530004, China.

出版信息

Animals (Basel). 2024 Nov 18;14(22):3312. doi: 10.3390/ani14223312.

DOI:10.3390/ani14223312
PMID:39595364
原文链接:https://pmc.ncbi.nlm.nih.gov/articles/PMC11591468/
Abstract

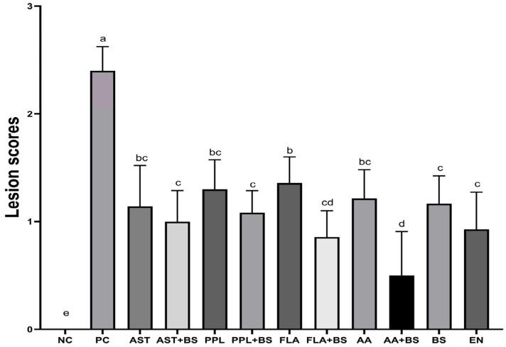
Necrotic enteritis (NE), caused by , represents a major economic challenge to poultry production. This study evaluated the effects of four plant extracts-, pomegranate peel, , and -in combination with , as potential antibiotic alternatives for controlling NE. Using an experimentally induced NE model produced by coinfection with and , 288 chickens were divided into 12 groups to assess growth performance, intestinal lesions, and inflammatory markers. Compared with the enramycin group, the pomegranate peel extract group had a 9.9% increase in body weight gain (BWG), significant enhancement in expression, and reduced production of inflammatory factors. Compared with the infected control group, the combination of extract and resulted in the lowest intestinal lesion scores. The , , and zonula occludens-1 expression levels in the group treated with extract combined with increased to the highest levels compared to those in the healthy control group. These findings emphasize the potential of plant extracts, particularly pomegranate peel and with , as natural alternatives for NE management in poultry, providing a promising approach to reducing reliance on antibiotics.

摘要

坏死性肠炎(NE)由[未提及病因]引起,是家禽生产面临的一项重大经济挑战。本研究评估了四种植物提取物——石榴皮、[未提及提取物名称]、[未提及提取物名称]以及与[未提及物质]联合使用,作为控制坏死性肠炎的潜在抗生素替代品的效果。利用由[未提及两种病原体名称]共同感染产生的实验性坏死性肠炎模型,将288只鸡分为12组,以评估生长性能、肠道病变和炎症标志物。与恩拉霉素组相比,石榴皮提取物组体重增加(BWG)提高了9.9%,[未提及基因名称]表达显著增强,炎症因子产生减少。与感染对照组相比,[未提及提取物名称]提取物与[未提及物质]的组合导致肠道病变评分最低。与健康对照组相比,用[未提及提取物名称]提取物与[未提及物质]联合处理的组中,[未提及基因名称]、[未提及基因名称]和紧密连接蛋白-1的表达水平升至最高。这些发现强调了植物提取物,特别是石榴皮和[未提及提取物名称]与[未提及物质]联合使用,作为家禽坏死性肠炎管理天然替代品的潜力,为减少对抗生素的依赖提供了一种有前景的方法。

https://cdn.ncbi.nlm.nih.gov/pmc/blobs/183a/11591468/d603dd86a11a/animals-14-03312-g004.jpg
https://cdn.ncbi.nlm.nih.gov/pmc/blobs/183a/11591468/a18ffbe30872/animals-14-03312-g001.jpg
https://cdn.ncbi.nlm.nih.gov/pmc/blobs/183a/11591468/b80c8b8163c2/animals-14-03312-g002.jpg
https://cdn.ncbi.nlm.nih.gov/pmc/blobs/183a/11591468/6f7e25ed598c/animals-14-03312-g003.jpg
https://cdn.ncbi.nlm.nih.gov/pmc/blobs/183a/11591468/d603dd86a11a/animals-14-03312-g004.jpg
https://cdn.ncbi.nlm.nih.gov/pmc/blobs/183a/11591468/a18ffbe30872/animals-14-03312-g001.jpg
https://cdn.ncbi.nlm.nih.gov/pmc/blobs/183a/11591468/b80c8b8163c2/animals-14-03312-g002.jpg
https://cdn.ncbi.nlm.nih.gov/pmc/blobs/183a/11591468/6f7e25ed598c/animals-14-03312-g003.jpg
https://cdn.ncbi.nlm.nih.gov/pmc/blobs/183a/11591468/d603dd86a11a/animals-14-03312-g004.jpg

相似文献

1
Comparative Efficacy of Plant Extracts and Probiotics on Growth and Gut Health in Chickens with Necrotic Enteritis.植物提取物和益生菌对坏死性肠炎鸡生长性能和肠道健康的比较效果
Animals (Basel). 2024 Nov 18;14(22):3312. doi: 10.3390/ani14223312.
2
Bacillus subtilis PB6 improves intestinal health of broiler chickens challenged with Clostridium perfringens-induced necrotic enteritis.枯草芽孢杆菌 PB6 改善了感染产气荚膜梭菌引起的坏死性肠炎的肉鸡的肠道健康。
Poult Sci. 2013 Feb;92(2):370-4. doi: 10.3382/ps.2012-02528.
3
Antimicrobial activity of sophorolipids against Eimeria maxima and Clostridium perfringens, and their effect on growth performance and gut health in necrotic enteritis.槐烷型生物表面活性剂对堆型艾美耳球虫和产气荚膜梭菌的抑菌活性及其对坏死性肠炎生长性能和肠道健康的影响。
Poult Sci. 2022 Apr;101(4):101731. doi: 10.1016/j.psj.2022.101731. Epub 2022 Jan 15.
4
Comparison of the Pathogenicity of Five Clostridium perfringens Isolates Using an Eimeria maxima Coinfection Necrotic Enteritis Disease Model in Commercial Broiler Chickens.比较五种产气荚膜梭菌分离株在商业肉鸡中使用柔嫩艾美耳球虫共感染坏死性肠炎疾病模型的致病性。
Avian Dis. 2020 Sep 1;64(3):386-392. doi: 10.1637/aviandiseases-D-19-00098.
5
Hyperimmune egg yolk antibodies developed against Clostridium perfringens antigens protect against necrotic enteritis.针对产气荚膜梭菌抗原开发的免疫蛋黄抗体可预防坏死性肠炎。
Poult Sci. 2023 Oct;102(10):102841. doi: 10.1016/j.psj.2023.102841. Epub 2023 Jun 7.
6
Bacillus subtilis B21 and Bacillus licheniformis B26 improve intestinal health and performance of broiler chickens with Clostridium perfringens-induced necrotic enteritis.枯草芽孢杆菌 B21 和地衣芽孢杆菌 B26 改善了感染产气荚膜梭菌坏死性肠炎肉鸡的肠道健康和生产性能。
J Anim Physiol Anim Nutr (Berl). 2019 Jul;103(4):1039-1049. doi: 10.1111/jpn.13082. Epub 2019 Apr 23.
7
Effects of Eimeria maxima and Clostridium perfringens infections on cecal microbial composition and the possible correlation with body weight gain in broiler chickens.巨型艾美耳球虫和产气荚膜梭菌感染对肉鸡盲肠微生物组成的影响及其与体重增加的可能相关性。
Res Vet Sci. 2020 Oct;132:142-149. doi: 10.1016/j.rvsc.2020.05.013. Epub 2020 May 25.
8
Supplemental PB6 Improves Growth Performance and Gut Health in Broilers Challenged with .饲粮中添加 PB6 对感染 的肉鸡生长性能和肠道健康的影响
J Immunol Res. 2021 Oct 27;2021:2549541. doi: 10.1155/2021/2549541. eCollection 2021.
9
Effect of Bacillus subtilis DSM 32315 on the intestinal structural integrity and growth performance of broiler chickens under necrotic enteritis challenge.枯草芽孢杆菌 DSM 32315 对坏死性肠炎攻毒条件下肉鸡肠道结构完整性和生长性能的影响。
Poult Sci. 2019 Nov 1;98(11):5392-5400. doi: 10.3382/ps/pez368.
10
The effect of Artemisia annua on broiler performance, on intestinal microbiota and on the course of a Clostridium perfringens infection applying a necrotic enteritis disease model.青蒿对肉鸡生产性能、肠道微生物群和坏死性肠炎疾病模型中感染产气荚膜梭菌病程的影响。
Avian Pathol. 2012;41(4):369-76. doi: 10.1080/03079457.2012.696185.

引用本文的文献

1
The Beneficial Use of , Artemisinin, and Other Compounds in Animal Health.青蒿素及其他化合物在动物健康方面的有益用途。
Animals (Basel). 2025 May 8;15(10):1359. doi: 10.3390/ani15101359.
2
Modulatory effects of polyherbal mixture on the immuno-antioxidant capacity and intestinal health of chicks infected with Escherichia coli O78.多草药混合物对感染大肠杆菌O78雏鸡免疫抗氧化能力和肠道健康的调节作用
Poult Sci. 2025 Apr 12;104(6):105156. doi: 10.1016/j.psj.2025.105156.
3
Effect of Green Tea () Extract on Growth Performance, Intestinal Health, and Immune Response of Broiler Chickens During Subclinical Necrotic Enteritis.
绿茶()提取物对亚临床坏死性肠炎期间肉鸡生长性能、肠道健康和免疫反应的影响。 需注意原文中“Green Tea () Extract”括号部分内容缺失,翻译是基于现有内容进行的。
Pathogens. 2025 Mar 6;14(3):260. doi: 10.3390/pathogens14030260.