Suppr超能文献

肠道微生物群在头颈癌中的因果作用:孟德尔随机化研究结果

Gut microbiome's causal role in head and neck cancer: findings from mendelian randomization.

作者信息

Lian Meng, Sun Minghong, Han Boxuan, Baranova Ancha, Cao Hongbao, Zhang Fuquan

机构信息

Department of Otorhinolaryngology Head and Neck Surgery, Beijing Tongren Hospital, Capital Medical University, Beijing, China.

Key Laboratory of Otorhinolaryngology Head and Neck Surgery (Capital Medical University), Ministry of Education, Beijing, China.

出版信息

Front Oncol. 2024 Nov 19;14:1453202. doi: 10.3389/fonc.2024.1453202. eCollection 2024.

Abstract

INTRODUCTION

The gut microbiome (GM) has been implicated in cancer pathogenesis and treatment, including head and neck cancers (HNC). However, the specific microbial compositions influencing HNC and the underlying mechanisms remain largely unknown.

METHODS

This study utilized published genome-wide association studies (GWAS) summary data-based two-sample Mendelian randomization (MR) to uncover the GM compositions that exert significant causal effects on HNC. Functional annotation and enrichment analysis were conducted to better understand the significant genetic variables and their connection with HNC. The HNC dataset included 2,281 cases and 314,193 controls. The GM GWAS data of 211 gut taxa (35 families, 20 orders, 16 classes, 9 phyla, and 131 genera) were obtained from the MibioGen consortium, involving 18,340 participants.

RESULTS

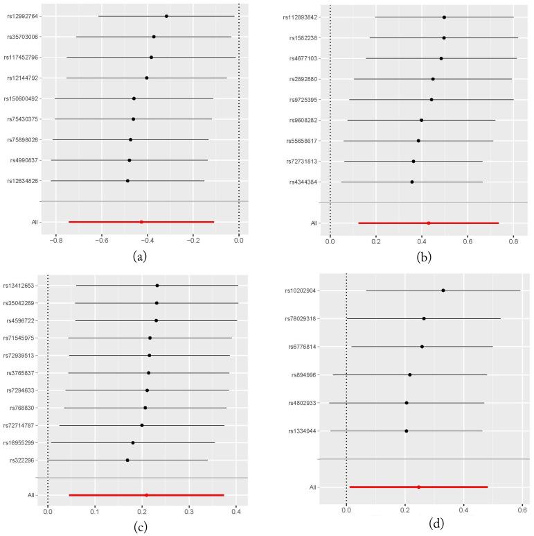
MR analysis revealed four GM compositions exerting causal effects on HNC. Specifically, was significantly associated with a 35% reduced risk of HNC (OR=0.65; 95%CI=0.48-0.90; ). In contrast, (OR=1.54; 95%CI=1.13-2.09; ), (OR=1.23; 95%CI=1.05-1.45; ), and (OR=1.28; 95%CI=1.01-1.62; ) showed a significant association with an increased risk of HNC. These GMs interact with genes and genetic variants involved in signaling pathways, such as GTPase regulation, influencing tumor progression and disease prognosis.

CONCLUSIONS

Our study demonstrates, for the first time, the causal influence of specific gut microbiome compositions on HNC, offering significant insights for advancing clinical research and personalized treatments. The identified GMs may serve as potential biomarkers or therapeutic targets, paving the way for innovative approaches in HNC diagnosis, prevention, and therapy.

摘要

引言

肠道微生物群(GM)已被认为与癌症发病机制及治疗有关,包括头颈癌(HNC)。然而,影响头颈癌的特定微生物组成及其潜在机制仍 largely 未知。

方法

本研究利用基于已发表的全基因组关联研究(GWAS)汇总数据的两样本孟德尔随机化(MR)来揭示对头颈癌有显著因果效应的 GM 组成。进行了功能注释和富集分析,以更好地理解显著的遗传变量及其与头颈癌的联系。头颈癌数据集包括 2281 例病例和 314193 例对照。211 种肠道分类群(35 个科、20 个目、16 个纲、9 个门和 131 个属)的 GM GWAS 数据来自 MibioGen 联盟,涉及 18340 名参与者。

结果

MR 分析揭示了四种对头颈癌有因果效应的 GM 组成。具体而言, 与头颈癌风险降低 35%显著相关(OR = 0.65;95%CI = 0.48 - 0.90; )。相比之下, (OR = 1.54;95%CI = 1.13 - 2.09; )、 (OR = 1.23;95%CI = 1.05 - 1.45; )和 (OR = 1.28;95%CI = 1.01 - 1.62; )与头颈癌风险增加显著相关。这些 GM 与参与信号通路的基因和遗传变异相互作用,如 GTPase 调节,影响肿瘤进展和疾病预后。

结论

我们的研究首次证明了特定肠道微生物群组成对头颈癌的因果影响,为推进临床研究和个性化治疗提供了重要见解。所确定的 GM 可能作为潜在的生物标志物或治疗靶点,为头颈癌诊断、预防和治疗的创新方法铺平道路。

https://cdn.ncbi.nlm.nih.gov/pmc/blobs/7022/11611831/b1efbb444f54/fonc-14-1453202-g001.jpg

文献检索

告别复杂PubMed语法,用中文像聊天一样搜索,搜遍4000万医学文献。AI智能推荐,让科研检索更轻松。

立即免费搜索

文件翻译

保留排版,准确专业,支持PDF/Word/PPT等文件格式,支持 12+语言互译。

免费翻译文档

深度研究

AI帮你快速写综述,25分钟生成高质量综述,智能提取关键信息,辅助科研写作。

立即免费体验