Suppr超能文献

对照组和炎症性肠病患者黏膜活检中凝集素与结直肠黏蛋白结合的区域分布及变化

Regional distribution and alterations of lectin binding to colorectal mucin in mucosal biopsies from controls and subjects with inflammatory bowel diseases.

作者信息

Jacobs L R, Huber P W

出版信息

J Clin Invest. 1985 Jan;75(1):112-8. doi: 10.1172/JCI111662.

Abstract

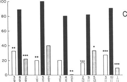
Glycoconjugate composition of colorectal goblet cell mucin was characterized according to the anatomical distribution of lectin-binding sites in mucosal biopsies from 35 control subjects and 55 patients with inflammatory bowel disease. 24 of the controls had mucosal inflammation on biopsy, without clinical evidence of inflammatory bowel disease. These inflamed controls showed a similar rate of presence of lectin-binding sites as the normal noninflamed group. In the controls, the frequency of binding of Ricinus communis agglutinin I to galactosyl residues was consistently higher than that found with either Ulex europaeus agglutinin I to fucosyl or Dolichus biflorus agglutinin to N-acetyl galactosyl groups. A significant proximal to distal gradient for Ulex europaeus agglutinin I binding sites was identified in the controls group. These binding sites were present four times more often in the proximal colon than in the distal colon (P less than 0.025). In the ulcerative and Crohn's colitis groups, this gradient effect was lost, predominantly as a result of decreased availability of fucosyl residues in the proximal colon. In the descending colon of Crohn's colitis tissues, there was a complete absence of Dolichus biflorus agglutinin binding sites compared with the 62.5% incidence in the control group (P less than 0.05). These results demonstrate that the expression of lectin-binding sites in human large intestinal goblet mucin is specifically altered in inflammatory bowel disease, indicating that there are changes in glycosylation of colorectal mucin consistent with alterations in goblet cell differentiation.

摘要

根据35名对照受试者和55名炎症性肠病患者黏膜活检中凝集素结合位点的解剖分布,对结直肠杯状细胞黏蛋白的糖缀合物组成进行了表征。24名对照受试者活检时有黏膜炎症,但无炎症性肠病的临床证据。这些炎症对照受试者的凝集素结合位点出现率与正常非炎症组相似。在对照受试者中,蓖麻凝集素I与半乳糖基残基的结合频率始终高于欧洲荆豆凝集素I与岩藻糖基或双花扁豆凝集素与N - 乙酰半乳糖基的结合频率。在对照组中发现了欧洲荆豆凝集素I结合位点从近端到远端的显著梯度。这些结合位点在近端结肠出现的频率是远端结肠的四倍(P小于0.025)。在溃疡性结肠炎和克罗恩病组中,这种梯度效应消失,主要是由于近端结肠中岩藻糖基残基的可用性降低。在克罗恩病组织的降结肠中,与对照组62.5%的发生率相比,完全没有双花扁豆凝集素结合位点(P小于0.05)。这些结果表明,炎症性肠病中人类大肠杯状黏蛋白中凝集素结合位点的表达发生了特异性改变,表明结直肠黏蛋白的糖基化变化与杯状细胞分化的改变一致。

https://cdn.ncbi.nlm.nih.gov/pmc/blobs/e2a9/423415/067013dd75dd/jcinvest00118-0124-a.jpg

文献检索

告别复杂PubMed语法,用中文像聊天一样搜索,搜遍4000万医学文献。AI智能推荐,让科研检索更轻松。

立即免费搜索

文件翻译

保留排版,准确专业,支持PDF/Word/PPT等文件格式,支持 12+语言互译。

免费翻译文档

深度研究

AI帮你快速写综述,25分钟生成高质量综述,智能提取关键信息,辅助科研写作。

立即免费体验