Suppr超能文献

孔隙率对CF/EP层压板超声衰减系数、剪切性能及破坏机制的影响

Effects of porosity on ultrasonic attenuation coefficient, shear properties and failure mechanisms of CF/EP laminates.

作者信息

Shi Junwei, Wang Wengui, Liu Feifei, Xun Guoli, Yang Pengfei

机构信息

Composite Technology Center, AVIC Manufacturing Technology Institute, Beijing, 101300, China.

Aircraft Strength Research Institute, Xi'an, 710065, China.

出版信息

Heliyon. 2024 Jan 30;10(3):e25288. doi: 10.1016/j.heliyon.2024.e25288. eCollection 2024 Feb 15.

Abstract

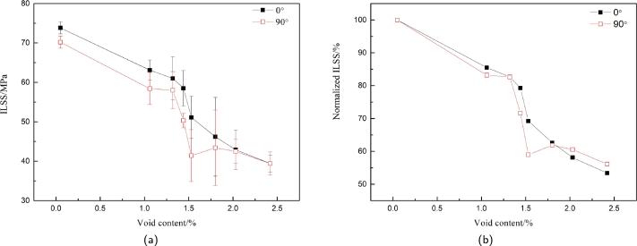
Carbon fiber reinforced epoxy composite (CF/EP) laminates with porosity ranged from 0% to 2.5% were prepared under inadequate curing pressures, and then applied to ultrasonic, metallographic and mechanical testings. Porosity was evaluated using an ultrasonic attenuation model, which was established by taking consideration of surface losses, material attenuation coefficient and void attenuation coefficient. Shear properties were determined via short beam shear (SBS) method and porosity-related failure mechanisms were characterized using ultrasonic B-Scan and metallographic analysis. The results show that there is a third-order polynomial correlation between porosity level and ultrasonic attenuation coefficient. The shear strength approximately drops by 15%, 30%, 40% and 45% with porosity level up to 1.0%, 1.5%, 2.0% and 2.5% respectively. The detrimental effects of Porosity can be attributed to the reduced bonding area between plies or among fiber-resin area as well as the crack initiation and propagation.

摘要

在固化压力不足的情况下制备了孔隙率范围为0%至2.5%的碳纤维增强环氧树脂复合材料(CF/EP)层压板,然后对其进行超声、金相和力学测试。孔隙率通过超声衰减模型进行评估,该模型通过考虑表面损耗、材料衰减系数和孔隙衰减系数建立。通过短梁剪切(SBS)方法测定剪切性能,并使用超声B扫描和金相分析表征与孔隙率相关的失效机制。结果表明,孔隙率水平与超声衰减系数之间存在三阶多项式相关性。随着孔隙率水平分别达到1.0%、1.5%、2.0%和2.5%,剪切强度分别下降约15%、30%、40%和45%。孔隙率的有害影响可归因于层间或纤维-树脂区域之间粘结面积的减小以及裂纹的萌生和扩展。

https://cdn.ncbi.nlm.nih.gov/pmc/blobs/884e/11637026/5446cd7f43ea/gr001.jpg

文献检索

告别复杂PubMed语法,用中文像聊天一样搜索,搜遍4000万医学文献。AI智能推荐,让科研检索更轻松。

立即免费搜索

文件翻译

保留排版,准确专业,支持PDF/Word/PPT等文件格式,支持 12+语言互译。

免费翻译文档

深度研究

AI帮你快速写综述,25分钟生成高质量综述,智能提取关键信息,辅助科研写作。

立即免费体验