Suppr超能文献

肉桂酸/随机甲基化β-环糊精包合物的相互作用及体外神经保护潜力研究

Study of Interaction and In Vitro Neuroprotective Potential of Cinnamic Acid/Randomly Methylated β-Cyclodextrin Inclusion Complex.

作者信息

De Gaetano Federica, Leggio Loredana, Celesti Consuelo, Genovese Fabio, Falcone Marco, Giofrè Salvatore Vincenzo, Iraci Nunzio, Iraci Nunzio, Ventura Cinzia Anna

机构信息

Department of Chemical, Biological, Pharmaceutical and Environmental Sciences, University of Messina, Viale Ferdinando Stagno d'Alcontres 31, 98166 Messina, Italy.

Department of Biomedical and Biotechnological Sciences (BIOMETEC), University of Catania, Torre Biologica, Via Santa Sofia 97, 95125 Catania, Italy.

出版信息

Int J Mol Sci. 2024 Nov 28;25(23):12778. doi: 10.3390/ijms252312778.

Abstract

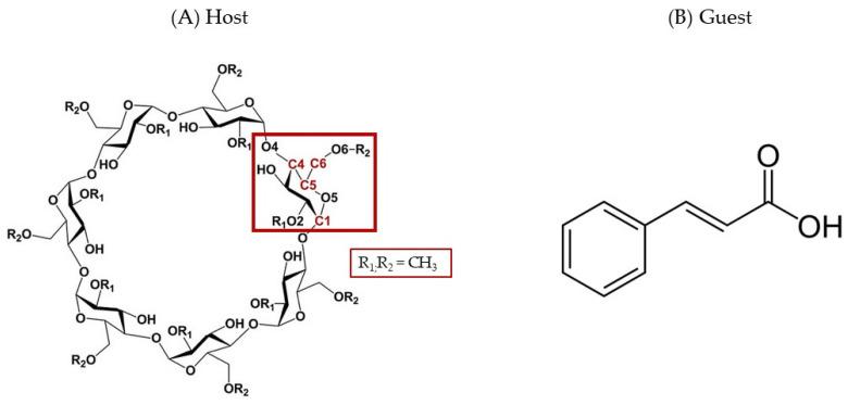
Cinnamic acid (CA) has many beneficial effects on human health. However, its poor water solubility (0.23 g/L, at 25 °C) is responsible for its poor bioavailability. This drawback prevents its clinical use. To overcome the solubility limits of this extraordinary natural compound, in this study, we developed a highly water-soluble inclusion complex of CA with randomly methylated-β-cyclodextrin (RAMEB). The interaction was explored in liquid and solid states by UV-Vis titration, phase solubility analysis, FT-IR spectroscopy, and H-NMR. Additionally, molecular modeling studies were carried out. Both experimental and theoretical studies revealed a 1:1 CA/RAMEB inclusion complex, with a high apparent stability constant equal to 15,169.53 M. The inclusion complex increases the water solubility of CA by about 250-fold and dissolves within 5 min. Molecular modeling demonstrated that CA inserts its phenyl ring into the RAMEB cavity with its propyl-2-enoic acid tail leaning from the wide rim. Finally, a biological in vitro study of the inclusion complex, compared to the free components, was performed on the neuroblastoma SH-SY5Y cell line. None of them showed cytotoxic effects at the assayed concentrations. Of note, the pretreatment of SH-SY5Y cells with CA/RAMEB at 10, 30, and 125 µM doses significantly counteracted the effect of the neurotoxin MPP, whilst CA and RAMEB alone did not show any neuroprotection. Overall, our data demonstrated that inclusion complexes overcome CA solubility problems, supporting their use for clinical applications.

摘要

肉桂酸(CA)对人体健康有许多有益作用。然而,其较差的水溶性(25℃时为0.23 g/L)导致其生物利用度较低。这一缺点阻碍了它的临床应用。为了克服这种非凡天然化合物的溶解度限制,在本研究中,我们制备了一种CA与随机甲基化-β-环糊精(RAMEB)形成的高水溶性包合物。通过紫外-可见滴定、相溶解度分析、傅里叶变换红外光谱和氢核磁共振在液态和固态下探究了二者的相互作用。此外,还进行了分子模拟研究。实验和理论研究均表明形成了1:1的CA/RAMEB包合物,其表观稳定常数高达15169.53 M。该包合物使CA的水溶性提高了约250倍,并在5分钟内溶解。分子模拟表明,CA将其苯环插入RAMEB的空腔中,其2-烯丙酸尾部从宽边缘倾斜伸出。最后,在神经母细胞瘤SH-SY5Y细胞系上对该包合物与游离成分进行了体外生物学研究。在所检测的浓度下,它们均未显示出细胞毒性作用。值得注意的是,用10、30和125 µM剂量的CA/RAMEB预处理SH-SY5Y细胞可显著抵消神经毒素MPP的作用,而单独的CA和RAMEB未显示出任何神经保护作用。总体而言,我们的数据表明包合物克服了CA的溶解度问题,支持其在临床应用中的使用。

https://cdn.ncbi.nlm.nih.gov/pmc/blobs/f56d/11641672/9e97472df252/ijms-25-12778-g001.jpg

文献检索

告别复杂PubMed语法,用中文像聊天一样搜索,搜遍4000万医学文献。AI智能推荐,让科研检索更轻松。

立即免费搜索

文件翻译

保留排版,准确专业,支持PDF/Word/PPT等文件格式,支持 12+语言互译。

免费翻译文档

深度研究

AI帮你快速写综述,25分钟生成高质量综述,智能提取关键信息,辅助科研写作。

立即免费体验