• 文献检索
  • 文档翻译
  • 深度研究
  • 学术资讯
  • Suppr Zotero 插件Zotero 插件
  • 邀请有礼
  • 套餐&价格
  • 历史记录
应用&插件
Suppr Zotero 插件Zotero 插件浏览器插件Mac 客户端Windows 客户端微信小程序
定价
高级版会员购买积分包购买API积分包
服务
文献检索文档翻译深度研究API 文档MCP 服务
关于我们
关于 Suppr公司介绍联系我们用户协议隐私条款
关注我们

Suppr 超能文献

核心技术专利:CN118964589B侵权必究
粤ICP备2023148730 号-1Suppr @ 2026

文献检索

告别复杂PubMed语法,用中文像聊天一样搜索,搜遍4000万医学文献。AI智能推荐,让科研检索更轻松。

立即免费搜索

文件翻译

保留排版,准确专业,支持PDF/Word/PPT等文件格式,支持 12+语言互译。

免费翻译文档

深度研究

AI帮你快速写综述,25分钟生成高质量综述,智能提取关键信息,辅助科研写作。

立即免费体验

经导管主动脉瓣置入术(TAVI)前后有创和无创压力阶差的比较及其对临床结局的影响。

Comparison of invasive and non-invasive gradients before and after TAVI and their implications on clinical outcomes.

作者信息

Pfenniger Anna, Stolte Thorald, Reichl Jakob Johannes, Leibundgut Gregor, Wagener Max, Kaiser Christoph, Boeddinghaus Jasper, Mahfoud Felix, Nestelberger Thomas

机构信息

Department of Cardiology and Cardiovascular Research Institute Basel (CRIB), University Hospital Basel, University of Basel, Petersgraben 4, 4031, Basel, Switzerland.

Department of Health Sciences and Technology, Swiss Federal Institute of Technology, Zurich, Switzerland.

出版信息

Cardiovasc Interv Ther. 2025 Apr;40(2):362-377. doi: 10.1007/s12928-024-01074-6. Epub 2024 Dec 19.

DOI:10.1007/s12928-024-01074-6
PMID:39695013
原文链接:https://pmc.ncbi.nlm.nih.gov/articles/PMC11910411/
Abstract

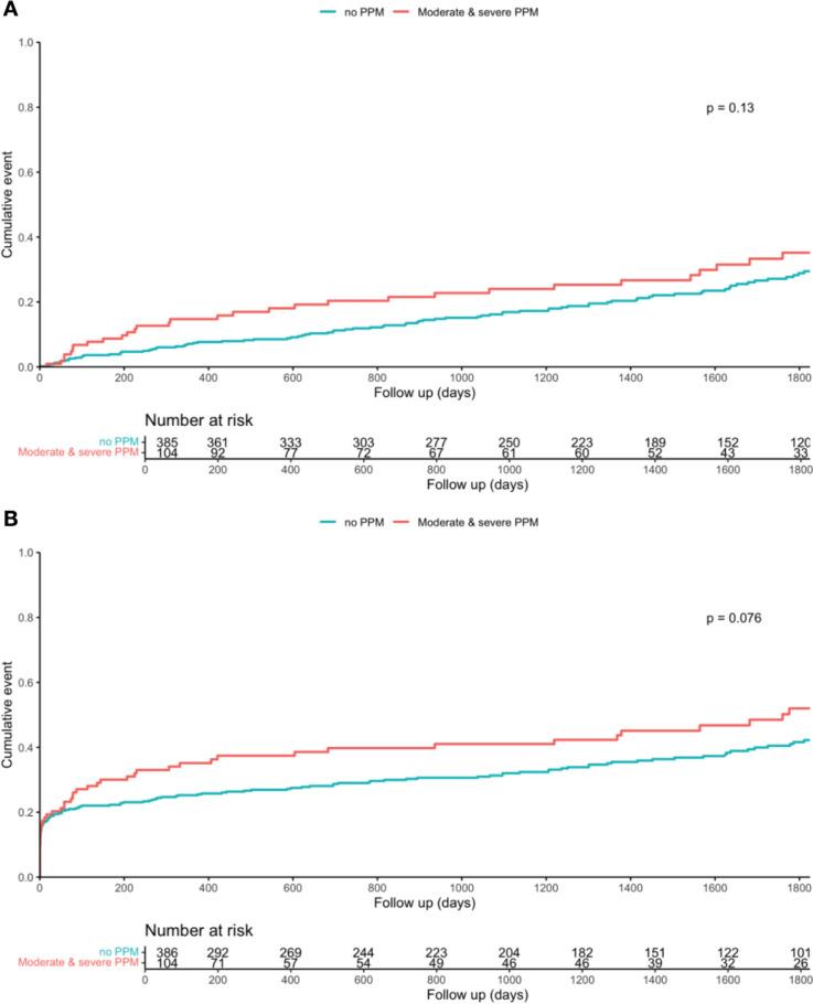
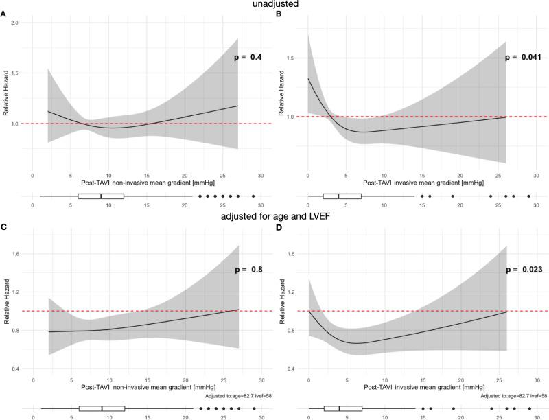
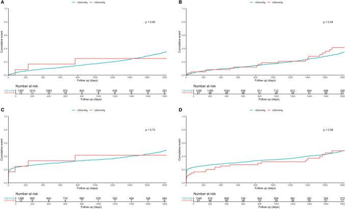
Transcatheter aortic valve implantation (TAVI) is recommended for treatment of high-risk aortic stenosis patients. While measuring mean transaortic valve gradient (MG) is crucial in evaluating procedural success, echocardiographic measurements often overestimate direct invasive measurements. This study aimed to examine the discordance between echocardiographic and invasive MGs in TAVI patients and assess their prognostic value on long-term outcomes. This prospective registry included consecutive TAVI patients at a tertiary university hospital. Transthoracic or transoesophageal echocardiography was performed pre-TAVI, at discharge, 1 month, 1, and 5 years with invasive MG measurements obtained peri-procedurally. The primary endpoints were 5-year all-cause mortality and major adverse cardiac events. Among 1353 patients from 2011 to 2023, non-invasive MGs exceeded invasive MGs pre- and post-implantation (43 [36, 52] mmHg vs. 40 [30, 50] mmHg, p < 0.001; 9 [6, 12] mmHg vs. 4 [2, 7] mmHg, p < 0.001) Pre-procedural MGs correlated better than post-procedural MGs (r = 0.70, p < 0.001 vs. r = 0.23, p < 0.001), particularly in self-expandable valves and smaller sinus of Valsalva diameter (SOVd) (r = 0.33, p < 0.001; r = 0.46, p < 0.001 vs R = 0.06, p = 0.701). Non-invasive MG remained stable from discharge (9 [6, 12] mmHg) to 5 years (9 [7, 12] mmHg). While structural valve deterioration and patient-prosthesis mismatch showed no impact, extreme invasive MGs (< 3 or > 6 mmHg) predicted worse outcomes (mortality hazard: 1.25 [1.06, 1.88] and 0.85 [0.8, 0.95], respectively), unlike non-invasive measurements. In conclusion, invasive as compared with non-invasive MGs correlated better before than after valve implantation, whereas invasive MGs were always lower than non-invasive MGs. Lower invasive MGs after TAVI appeared to be associated with favourable long-term outcomes.

摘要

经导管主动脉瓣植入术(TAVI)被推荐用于治疗高危主动脉瓣狭窄患者。虽然测量平均跨主动脉瓣压差(MG)对于评估手术成功率至关重要,但超声心动图测量往往高估了直接侵入性测量结果。本研究旨在探讨TAVI患者中超声心动图测量的MG与侵入性测量的MG之间的不一致性,并评估它们对长期预后的预测价值。这项前瞻性登记研究纳入了一家三级大学医院连续的TAVI患者。在TAVI术前、出院时、1个月、1年和5年时进行经胸或经食管超声心动图检查,并在围手术期获得侵入性MG测量值。主要终点是5年全因死亡率和主要不良心脏事件。在2011年至2023年的1353例患者中,植入前和植入后非侵入性MG均超过侵入性MG(43[36,52]mmHg对40[30,50]mmHg,p<0.001;9[6,12]mmHg对4[2,7]mmHg,p<0.001)。术前MG的相关性优于术后MG(r=0.70,p<0.001对r=0.23,p<0.001),特别是在自膨胀瓣膜和较小的主动脉瓣环直径(SOVd)中(r=0.33,p<0.001;r=0.46,p<0.001对R=0.06,p=0.701)。从出院时(9[6,12]mmHg)到5年(9[7,12]mmHg),非侵入性MG保持稳定。虽然结构性瓣膜退化和患者-人工瓣膜不匹配未显示出影响,但极端的侵入性MG(<3或>6mmHg)预测预后较差(死亡风险分别为:1.25[1.06,1.88]和0.85[0.8,0.95]),与非侵入性测量结果不同。总之,与非侵入性MG相比,侵入性MG在瓣膜植入前的相关性更好,而侵入性MG始终低于非侵入性MG。TAVI术后较低的侵入性MG似乎与良好的长期预后相关。

https://cdn.ncbi.nlm.nih.gov/pmc/blobs/78f9/11910411/91902da3df9e/12928_2024_1074_Fig7_HTML.jpg
https://cdn.ncbi.nlm.nih.gov/pmc/blobs/78f9/11910411/b211ab656654/12928_2024_1074_Fig1_HTML.jpg
https://cdn.ncbi.nlm.nih.gov/pmc/blobs/78f9/11910411/46df38d73f74/12928_2024_1074_Fig2a_HTML.jpg
https://cdn.ncbi.nlm.nih.gov/pmc/blobs/78f9/11910411/6fc5526b1c7e/12928_2024_1074_Fig3_HTML.jpg
https://cdn.ncbi.nlm.nih.gov/pmc/blobs/78f9/11910411/6f4ac0e51452/12928_2024_1074_Fig4_HTML.jpg
https://cdn.ncbi.nlm.nih.gov/pmc/blobs/78f9/11910411/1043cfec3735/12928_2024_1074_Fig5_HTML.jpg
https://cdn.ncbi.nlm.nih.gov/pmc/blobs/78f9/11910411/f96981976809/12928_2024_1074_Fig6_HTML.jpg
https://cdn.ncbi.nlm.nih.gov/pmc/blobs/78f9/11910411/91902da3df9e/12928_2024_1074_Fig7_HTML.jpg
https://cdn.ncbi.nlm.nih.gov/pmc/blobs/78f9/11910411/b211ab656654/12928_2024_1074_Fig1_HTML.jpg
https://cdn.ncbi.nlm.nih.gov/pmc/blobs/78f9/11910411/46df38d73f74/12928_2024_1074_Fig2a_HTML.jpg
https://cdn.ncbi.nlm.nih.gov/pmc/blobs/78f9/11910411/6fc5526b1c7e/12928_2024_1074_Fig3_HTML.jpg
https://cdn.ncbi.nlm.nih.gov/pmc/blobs/78f9/11910411/6f4ac0e51452/12928_2024_1074_Fig4_HTML.jpg
https://cdn.ncbi.nlm.nih.gov/pmc/blobs/78f9/11910411/1043cfec3735/12928_2024_1074_Fig5_HTML.jpg
https://cdn.ncbi.nlm.nih.gov/pmc/blobs/78f9/11910411/f96981976809/12928_2024_1074_Fig6_HTML.jpg
https://cdn.ncbi.nlm.nih.gov/pmc/blobs/78f9/11910411/91902da3df9e/12928_2024_1074_Fig7_HTML.jpg

相似文献

1
Comparison of invasive and non-invasive gradients before and after TAVI and their implications on clinical outcomes.经导管主动脉瓣置入术(TAVI)前后有创和无创压力阶差的比较及其对临床结局的影响。
Cardiovasc Interv Ther. 2025 Apr;40(2):362-377. doi: 10.1007/s12928-024-01074-6. Epub 2024 Dec 19.
2
Prognostic value of invasive versus echocardiography-derived aortic gradient in patients undergoing TAVI.经导管主动脉瓣植入术患者中,有创测量与经超声心动图测量的主动脉梯度的预后价值。
EuroIntervention. 2025 Apr 21;21(8):e411-e425. doi: 10.4244/EIJ-D-24-00341.
3
Minimalistic Approach for Transcatheter Aortic Valve Implantation (TAVI): Open Vascular Vs. Fully Percutaneous Approach.经导管主动脉瓣植入术(TAVI)的极简方法:开放血管法与完全经皮法
Pril (Makedon Akad Nauk Umet Odd Med Nauki). 2019 Oct 1;40(2):5-14. doi: 10.2478/prilozi-2019-0009.
4
Transcatheter Self-Expandable Valve Implantation for Aortic Stenosis in Small Aortic Annuli: The TAVI-SMALL Registry.经导管自膨式主动脉瓣植入术治疗小主动脉瓣环主动脉瓣狭窄:TAVI-SMALL 登记研究。
JACC Cardiovasc Interv. 2020 Jan 27;13(2):196-206. doi: 10.1016/j.jcin.2019.08.041. Epub 2019 Dec 25.
5
Discrepancy between invasive and echocardiographic transvalvular gradient after TAVI: Insights from the LAPLACE-TAVI registry.经 TAVI 治疗后跨瓣压差的有创与超声心动图测量值之间的差异:来自 LAPLACE-TAVI 注册研究的结果。
Int J Cardiol. 2023 Sep 1;386:17-23. doi: 10.1016/j.ijcard.2023.05.010. Epub 2023 May 16.
6
Effective orifice area and hemodynamic performance of the transcatheter Edwards Sapien 3 prosthesis: short-term and 1-year follow-up.经导管 Edwards Sapien 3 瓣膜的有效开口面积和血液动力学性能:短期和 1 年随访。
Eur Heart J Cardiovasc Imaging. 2018 Jan 1;19(1):23-30. doi: 10.1093/ehjci/jew301.
7
Three-year clinical outcomes after transcatheter aortic valve implantation in patients with bicuspid aortic disease: Comparison between self-expanding and balloon-expandable valves.经导管主动脉瓣植入术后三尖瓣疾病患者的临床转归:自膨式与球囊扩张式瓣膜的比较。
Catheter Cardiovasc Interv. 2024 May;103(6):1004-1014. doi: 10.1002/ccd.31041. Epub 2024 Apr 5.
8
Effects of Bioprosthetic Valve Fracturing on Valve-in-Valve Transcatheter Aortic Valve Implantation Transvalvular Gradients.生物瓣碎裂对经导管主动脉瓣置换术中经瓣环置入的主动脉瓣跨瓣梯度的影响。
Tex Heart Inst J. 2024 Nov 22;51(2):e238304. doi: 10.14503/THIJ-23-8304. eCollection 2024 Jul-Dec.
9
Hemodynamic classification of paravalvular leakage after transcatheter aortic valve implantation compared with angiographic or echocardiographic classification for prediction of 1-year mortality.经导管主动脉瓣植入术后瓣周漏的血流动力学分类与血管造影或超声心动图分类对1年死亡率预测的比较
Catheter Cardiovasc Interv. 2018 May 1;91(6):E56-E63. doi: 10.1002/ccd.27384. Epub 2017 Nov 6.
10
Echocardiographic Versus Invasive Aortic Valve Gradients in Different Clinical Scenarios.超声心动图与有创主动脉瓣梯度在不同临床情况下的比较。
J Am Soc Echocardiogr. 2023 Dec;36(12):1302-1314. doi: 10.1016/j.echo.2023.06.016. Epub 2023 Jul 26.

本文引用的文献

1
Transcatheter or surgical aortic valve implantation: 10-year outcomes of the NOTION trial.经导管主动脉瓣植入术或外科主动脉瓣置换术:NOTION 试验的 10 年结果。
Eur Heart J. 2024 Apr 1;45(13):1116-1124. doi: 10.1093/eurheartj/ehae043.
2
Incidence and Outcomes of Valve-in-Valve Transcatheter Aortic Valve Implantation in Failed Bioprosthetic Valves.生物人工瓣膜功能障碍患者行瓣中瓣经导管主动脉瓣植入术的发生率及预后
J Clin Med. 2023 Sep 9;12(18):5868. doi: 10.3390/jcm12185868.
3
Echocardiographic Versus Invasive Aortic Valve Gradients in Different Clinical Scenarios.
超声心动图与有创主动脉瓣梯度在不同临床情况下的比较。
J Am Soc Echocardiogr. 2023 Dec;36(12):1302-1314. doi: 10.1016/j.echo.2023.06.016. Epub 2023 Jul 26.
4
Clinical Outcomes in High-Gradient, Classical Low-Flow, Low-Gradient, and Paradoxical Low-Flow, Low-Gradient Aortic Stenosis After Transcatheter Aortic Valve Implantation: A Report From the SwissTAVI Registry.经导管主动脉瓣置换术后高梯度、经典低流量-低梯度、低梯度和矛盾低流量-低梯度主动脉瓣狭窄的临床结局:来自瑞士经导管主动脉瓣置换术注册研究的报告。
J Am Heart Assoc. 2023 Jun 20;12(12):e029489. doi: 10.1161/JAHA.123.029489. Epub 2023 Jun 10.
5
Structural Valve Deterioration After Self-Expanding Transcatheter or Surgical Aortic Valve Implantation in Patients at Intermediate or High Risk.经皮自膨式或外科主动脉瓣置换术治疗中高危患者的结构性瓣膜衰败。
JAMA Cardiol. 2023 Feb 1;8(2):111-119. doi: 10.1001/jamacardio.2022.4627.
6
Transvalvular Pressure Gradients and All-Cause Mortality Following TAVR: A Multicenter Echocardiographic and Invasive Registry.经导管主动脉瓣置换术(TAVR)后跨瓣压差与全因死亡率:一项多中心超声心动图和有创登记研究。
JACC Cardiovasc Interv. 2022 Sep 26;15(18):1837-1848. doi: 10.1016/j.jcin.2022.07.033.
7
Comparison of performance of self-expanding and balloon-expandable transcatheter aortic valves.自膨胀式与球囊扩张式经导管主动脉瓣性能比较
JTCVS Open. 2022 Apr 20;10:128-139. doi: 10.1016/j.xjon.2022.04.015. eCollection 2022 Jun.
8
Prosthesis-patient mismatch after transcatheter aortic valve implantation.经导管主动脉瓣植入术后人工瓣膜-患者不匹配
Cardiovasc Interv Ther. 2022 Oct;37(4):615-625. doi: 10.1007/s12928-022-00865-z. Epub 2022 Jun 16.
9
Neosinus and Sinus Flow After Self-Expanding and Balloon-Expandable Transcatheter Aortic Valve Replacement.自膨式和球囊扩张式经导管主动脉瓣置换术后的新窦和窦道血流。
JACC Cardiovasc Interv. 2021 Dec 27;14(24):2657-2666. doi: 10.1016/j.jcin.2021.09.013. Epub 2021 Nov 24.
10
Sinus of Valsalva Dimension and Clinical Outcomes in Patients Undergoing Transcatheter Aortic Valve Implantation.经导管主动脉瓣置换术患者的瓦氏窦内径与临床结局。
Am Heart J. 2022 Feb;244:94-106. doi: 10.1016/j.ahj.2021.11.004. Epub 2021 Nov 14.