• 文献检索
  • 文档翻译
  • 深度研究
  • 学术资讯
  • Suppr Zotero 插件Zotero 插件
  • 邀请有礼
  • 套餐&价格
  • 历史记录
应用&插件
Suppr Zotero 插件Zotero 插件浏览器插件Mac 客户端Windows 客户端微信小程序
定价
高级版会员购买积分包购买API积分包
服务
文献检索文档翻译深度研究API 文档MCP 服务
关于我们
关于 Suppr公司介绍联系我们用户协议隐私条款
关注我们

Suppr 超能文献

核心技术专利:CN118964589B侵权必究
粤ICP备2023148730 号-1Suppr @ 2026

文献检索

告别复杂PubMed语法,用中文像聊天一样搜索,搜遍4000万医学文献。AI智能推荐,让科研检索更轻松。

立即免费搜索

文件翻译

保留排版,准确专业,支持PDF/Word/PPT等文件格式,支持 12+语言互译。

免费翻译文档

深度研究

AI帮你快速写综述,25分钟生成高质量综述,智能提取关键信息,辅助科研写作。

立即免费体验

通过18F-FDG PET CT评估他汀类药物对动脉壁炎症的影响:一项更新的系统评价和荟萃分析

Effect of statins on arterial wall inflammation as assessed by 18F-FDG PET CT: an updated systematic review and meta-analysis.

作者信息

Jamialahmadi Tannaz, Reiner Željko, Simental-Mendia Luis E, Almahmeed Wael, Karav Sercan, Eid Ali H, Giammarile Francesco, Sahebkar Amirhossein

机构信息

Pharmaceutical Research Center, Pharmaceutical Technology Institute, Mashhad University of Medical Sciences, Mashhad, Iran.

Medical Toxicology Research Center, Mashhad University of Medical Sciences, Mashhad, Iran.

出版信息

J Inflamm (Lond). 2024 Dec 18;21(1):52. doi: 10.1186/s12950-024-00421-x.

DOI:10.1186/s12950-024-00421-x
PMID:39696570
原文链接:https://pmc.ncbi.nlm.nih.gov/articles/PMC11658251/
Abstract

BACKGROUND

Pathogenesis of atherosclerosis is largely mediated by inflammatory process. Statins are lipid-lowering drugs which also have anti-inflammatory effects. 18 fluorine radiolabeled fluorodeoxyglucose (18 F-FDG) positron emission tomography-computed tomography (PET-CT) is considered to be a good indicator of arterial wall inflammation. Therefore, in this meta-analysis the role of statins on inflammatory process in the artery wall was evaluated using this method since its actual validity for this purpose is not yet well established.

METHODS

PubMed, Scopus, Web of Science, ClinicalTrials.gov, and Google Scholar databases were searched using MESH terms and keywords. Funnel plot, Begg's rank correlation, and Egger's weighted regression tests evaluated publication bias in the meta-analysis. In cases where funnel plot asymmetry was observed, the "trim and fill" method was used to check the input of potentially missing studies.

RESULTS

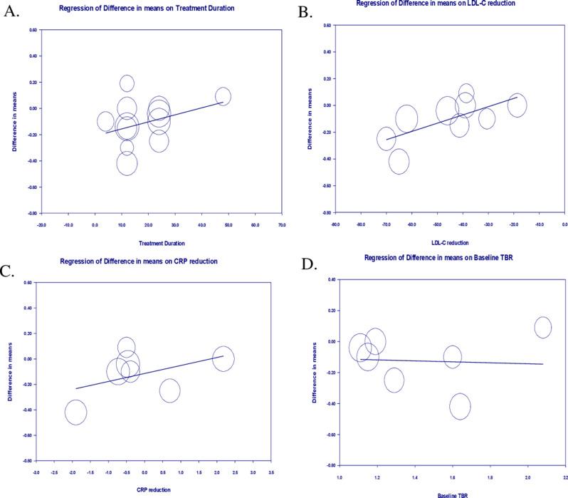
Findings of 10 clinical trials involving 373 subjects showed a remarkable reduction of arterial wall 18 F-FDG uptake according to target-to-background ratio (TBR) index after treatment with statins. Subgroup analysis showed a significant decrease in TBR with high-intensity and non-significant reduction of TBR with low-to-moderate-intensity statin therapy.

CONCLUSION

Treatment with statins suppressed arterial wall inflammation as shown by using 18 F-FDG PET-CT.

摘要

背景

动脉粥样硬化的发病机制很大程度上由炎症过程介导。他汀类药物是降脂药物,也具有抗炎作用。18氟放射性标记的氟脱氧葡萄糖(18F-FDG)正电子发射断层扫描-计算机断层扫描(PET-CT)被认为是动脉壁炎症的良好指标。因此,在本荟萃分析中,使用该方法评估他汀类药物对动脉壁炎症过程的作用,因为其在此目的上的实际有效性尚未得到充分证实。

方法

使用医学主题词和关键词搜索PubMed、Scopus、科学网、临床试验.gov和谷歌学术数据库。漏斗图、Begg秩相关和Egger加权回归检验评估荟萃分析中的发表偏倚。在观察到漏斗图不对称的情况下,使用“修剪和填充”方法检查潜在缺失研究的纳入情况。

结果

10项涉及373名受试者的临床试验结果显示,他汀类药物治疗后,根据靶本比(TBR)指数,动脉壁18F-FDG摄取显著降低。亚组分析显示,高强度他汀治疗时TBR显著降低,低至中等强度他汀治疗时TBR降低不显著。

结论

如18F-FDG PET-CT所示,他汀类药物治疗可抑制动脉壁炎症。

https://cdn.ncbi.nlm.nih.gov/pmc/blobs/34af/11658251/15f089bb2506/12950_2024_421_Fig6_HTML.jpg
https://cdn.ncbi.nlm.nih.gov/pmc/blobs/34af/11658251/df53297911d7/12950_2024_421_Fig1_HTML.jpg
https://cdn.ncbi.nlm.nih.gov/pmc/blobs/34af/11658251/853bf2226f57/12950_2024_421_Fig2_HTML.jpg
https://cdn.ncbi.nlm.nih.gov/pmc/blobs/34af/11658251/2cfca98b6c66/12950_2024_421_Fig3_HTML.jpg
https://cdn.ncbi.nlm.nih.gov/pmc/blobs/34af/11658251/7e739b7275df/12950_2024_421_Fig4_HTML.jpg
https://cdn.ncbi.nlm.nih.gov/pmc/blobs/34af/11658251/be09cdbb3551/12950_2024_421_Fig5_HTML.jpg
https://cdn.ncbi.nlm.nih.gov/pmc/blobs/34af/11658251/15f089bb2506/12950_2024_421_Fig6_HTML.jpg
https://cdn.ncbi.nlm.nih.gov/pmc/blobs/34af/11658251/df53297911d7/12950_2024_421_Fig1_HTML.jpg
https://cdn.ncbi.nlm.nih.gov/pmc/blobs/34af/11658251/853bf2226f57/12950_2024_421_Fig2_HTML.jpg
https://cdn.ncbi.nlm.nih.gov/pmc/blobs/34af/11658251/2cfca98b6c66/12950_2024_421_Fig3_HTML.jpg
https://cdn.ncbi.nlm.nih.gov/pmc/blobs/34af/11658251/7e739b7275df/12950_2024_421_Fig4_HTML.jpg
https://cdn.ncbi.nlm.nih.gov/pmc/blobs/34af/11658251/be09cdbb3551/12950_2024_421_Fig5_HTML.jpg
https://cdn.ncbi.nlm.nih.gov/pmc/blobs/34af/11658251/15f089bb2506/12950_2024_421_Fig6_HTML.jpg

相似文献

1
Effect of statins on arterial wall inflammation as assessed by 18F-FDG PET CT: an updated systematic review and meta-analysis.通过18F-FDG PET CT评估他汀类药物对动脉壁炎症的影响:一项更新的系统评价和荟萃分析
J Inflamm (Lond). 2024 Dec 18;21(1):52. doi: 10.1186/s12950-024-00421-x.
2
Effect of Statin Therapy on Arterial Wall Inflammation Based on 18F-FDG PET/CT: A Systematic Review and Meta-Analysis of Interventional Studies.基于18F-FDG PET/CT的他汀类药物治疗对动脉壁炎症的影响:一项介入性研究的系统评价和荟萃分析
J Clin Med. 2019 Jan 18;8(1):118. doi: 10.3390/jcm8010118.
3
Intensification of statin therapy results in a rapid reduction in atherosclerotic inflammation: results of a multicenter fluorodeoxyglucose-positron emission tomography/computed tomography feasibility study.强化他汀类药物治疗可迅速降低动脉粥样硬化炎症:多中心氟脱氧葡萄糖正电子发射断层扫描/计算机断层扫描可行性研究结果。
J Am Coll Cardiol. 2013 Sep 3;62(10):909-17. doi: 10.1016/j.jacc.2013.04.066. Epub 2013 May 30.
4
The Effects of Statin Dose, Lipophilicity, and Combination of Statins plus Ezetimibe on Circulating Oxidized Low-Density Lipoprotein Levels: A Systematic Review and Meta-Analysis of Randomized Controlled Trials.他汀类药物剂量、亲脂性及他汀类药物联合依折麦布对循环氧化型低密度脂蛋白水平的影响:一项随机对照试验的系统评价和荟萃分析。
Mediators Inflamm. 2021 Sep 4;2021:9661752. doi: 10.1155/2021/9661752. eCollection 2021.
5
A pilot trial to examine the effect of high-dose niacin on arterial wall inflammation using fluorodeoxyglucose positron emission tomography.一项使用氟脱氧葡萄糖正电子发射断层扫描来研究高剂量烟酸对动脉壁炎症影响的试点试验。
Acad Radiol. 2015 May;22(5):600-9. doi: 10.1016/j.acra.2014.12.015. Epub 2015 Feb 21.
6
Time-related aortic inflammatory response, as assessed with F-FDG PET/CT, in patients hospitalized with severely or critical COVID-19: the COVAIR study.应用 F-FDG PET/CT 评估重症或危重症 COVID-19 住院患者的与时间相关的主动脉炎症反应:COVAIR 研究。
J Nucl Cardiol. 2023 Feb;30(1):74-82. doi: 10.1007/s12350-022-02962-1. Epub 2022 May 2.
7
F-FDG PET/CT metabolic parameter changes to assess vascular inflammatory response in patients with diffuse large B-cell lymphoma.采用F-FDG PET/CT代谢参数变化评估弥漫性大B细胞淋巴瘤患者的血管炎症反应
BMC Med Imaging. 2025 Mar 7;25(1):81. doi: 10.1186/s12880-025-01617-0.
8
High-dose atorvastatin reduces periodontal inflammation: a novel pleiotropic effect of statins.大剂量阿托伐他汀可减轻牙周炎症:他汀类药物的一种新的多效作用。
J Am Coll Cardiol. 2013 Dec 24;62(25):2382-2391. doi: 10.1016/j.jacc.2013.08.1627. Epub 2013 Sep 24.
9
Time-Related Vascular Inflammatory Response to COVID-19 Assessed by F-FDG PET/CT in Follow-Up Tumor Patients.在肿瘤随访患者中通过F-FDG PET/CT评估的COVID-19相关时间血管炎症反应
J Inflamm Res. 2023 Jul 24;16:3109-3117. doi: 10.2147/JIR.S415288. eCollection 2023.
10
Effect of moderate-intensity statin therapy on plaque inflammation in patients with acute coronary syndrome: A prospective interventional study evaluated by 18F-FDG PET/CT of the carotid artery.中等强度他汀类药物治疗对急性冠脉综合征患者斑块炎症的影响:一项前瞻性介入研究,采用颈动脉 18F-FDG PET/CT 评估。
Cardiol J. 2020;27(6):762-771. doi: 10.5603/CJ.a2018.0069. Epub 2018 Jul 16.

本文引用的文献

1
A novel small-molecule PCSK9 inhibitor E28362 ameliorates hyperlipidemia and atherosclerosis.一种新型小分子 PCSK9 抑制剂 E28362 可改善血脂异常和动脉粥样硬化。
Acta Pharmacol Sin. 2024 Oct;45(10):2119-2133. doi: 10.1038/s41401-024-01305-9. Epub 2024 May 29.
2
Effect of Statins on the Inflammatory Markers in Patients with Coronary Artery Disease.他汀类药物对冠状动脉疾病患者炎症标志物的影响。
J Lab Physicians. 2023 Apr 18;15(4):498-502. doi: 10.1055/s-0043-1768167. eCollection 2023 Dec.
3
The effects of statins on the function and differentiation of blood cells.
他汀类药物对血细胞功能和分化的影响。
Arch Med Sci. 2022 Dec 25;19(5):1314-1326. doi: 10.5114/aoms/158546. eCollection 2023.
4
Imaging Carotid Plaque Inflammation Using Positron Emission Tomography: Emerging Role in Clinical Stroke Care, Research Applications, and Future Directions.使用正电子发射断层扫描成像技术评估颈动脉斑块炎症:在临床脑卒中诊疗、研究应用中的新兴作用和未来方向
Cells. 2023 Aug 15;12(16):2073. doi: 10.3390/cells12162073.
5
Beyond statins: New pharmacological targets to decrease LDL-cholesterol and cardiovascular events.超越他汀类药物:降低低密度脂蛋白胆固醇和心血管事件的新药理学靶点。
Pharmacol Ther. 2023 Oct;250:108507. doi: 10.1016/j.pharmthera.2023.108507. Epub 2023 Aug 9.
6
Established and Emerging Lipid-Lowering Drugs for Primary and Secondary Cardiovascular Prevention.用于一级和二级心血管预防的既定和新兴降脂药物。
Am J Cardiovasc Drugs. 2023 Sep;23(5):477-495. doi: 10.1007/s40256-023-00594-5. Epub 2023 Jul 24.
7
The Effects of Statins on Cardiovascular and Inflammatory Biomarkers in Primary Prevention: A Systematic Review and Meta-Analysis.他汀类药物在一级预防中对心血管和炎症生物标志物的影响:一项系统评价和荟萃分析。
Heart Lung Circ. 2023 Aug;32(8):938-948. doi: 10.1016/j.hlc.2023.04.300. Epub 2023 Jun 7.
8
The role of statins in lung cancer.他汀类药物在肺癌中的作用。
Arch Med Sci. 2021 Mar 18;18(1):141-152. doi: 10.5114/aoms/123225. eCollection 2022.
9
Anti-inflammatory effect of rosuvastatin in patients with HIV infection: An FDG-PET pilot study.瑞舒伐他汀对HIV感染患者的抗炎作用:一项FDG-PET初步研究。
J Nucl Cardiol. 2022 Dec;29(6):3057-3068. doi: 10.1007/s12350-021-02830-4. Epub 2021 Nov 24.
10
Inflammation during the life cycle of the atherosclerotic plaque.动脉粥样硬化斑块生命周期中的炎症反应。
Cardiovasc Res. 2021 Nov 22;117(13):2525-2536. doi: 10.1093/cvr/cvab303.