• 文献检索
  • 文档翻译
  • 深度研究
  • 学术资讯
  • Suppr Zotero 插件Zotero 插件
  • 邀请有礼
  • 套餐&价格
  • 历史记录
应用&插件
Suppr Zotero 插件Zotero 插件浏览器插件Mac 客户端Windows 客户端微信小程序
定价
高级版会员购买积分包购买API积分包
服务
文献检索文档翻译深度研究API 文档MCP 服务
关于我们
关于 Suppr公司介绍联系我们用户协议隐私条款
关注我们

Suppr 超能文献

核心技术专利:CN118964589B侵权必究
粤ICP备2023148730 号-1Suppr @ 2026

文献检索

告别复杂PubMed语法,用中文像聊天一样搜索,搜遍4000万医学文献。AI智能推荐,让科研检索更轻松。

立即免费搜索

文件翻译

保留排版,准确专业,支持PDF/Word/PPT等文件格式,支持 12+语言互译。

免费翻译文档

深度研究

AI帮你快速写综述,25分钟生成高质量综述,智能提取关键信息,辅助科研写作。

立即免费体验

使用猎豹优化器和随机森林改进太阳辐射预测

Improving prediction of solar radiation using Cheetah Optimizer and Random Forest.

作者信息

Al-Shourbaji Ibrahim, Kachare Pramod H, Jabbari Abdoh, Kirner Raimund, Puri Digambar, Mehanawi Mostafa, Alameen Abdalla

机构信息

Department of Electrical and Electronics Engineering, Jazan University, Jazan, Saudi Arabia.

Department of Computer Science, University of Hertfordshire, Hatfield, United Kingdom.

出版信息

PLoS One. 2024 Dec 20;19(12):e0314391. doi: 10.1371/journal.pone.0314391. eCollection 2024.

DOI:10.1371/journal.pone.0314391
PMID:39705221
原文链接:https://pmc.ncbi.nlm.nih.gov/articles/PMC11661600/
Abstract

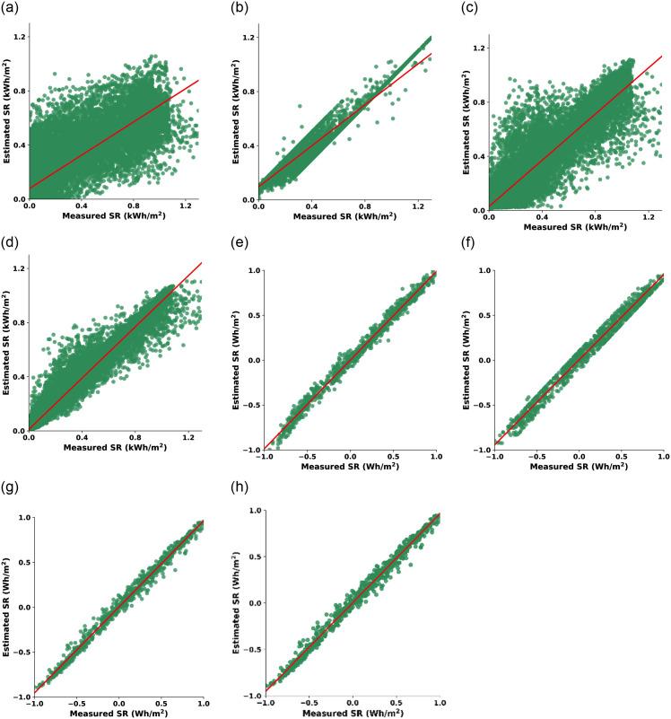
In the contemporary context of a burgeoning energy crisis, the accurate and dependable prediction of Solar Radiation (SR) has emerged as an indispensable component within thermal systems to facilitate renewable energy generation. Machine Learning (ML) models have gained widespread recognition for their precision and computational efficiency in addressing SR prediction challenges. Consequently, this paper introduces an innovative SR prediction model, denoted as the Cheetah Optimizer-Random Forest (CO-RF) model. The CO component plays a pivotal role in selecting the most informative features for hourly SR forecasting, subsequently serving as inputs to the RF model. The efficacy of the developed CO-RF model is rigorously assessed using two publicly available SR datasets. Evaluation metrics encompassing Mean Absolute Error (MAE), Mean Squared Error (MSE), and coefficient of determination (R2) are employed to validate its performance. Quantitative analysis demonstrates that the CO-RF model surpasses other techniques, Logistic Regression (LR), Support Vector Machine (SVM), Artificial Neural Network, and standalone Random Forest (RF), both in the training and testing phases of SR prediction. The proposed CO-RF model outperforms others, achieving a low MAE of 0.0365, MSE of 0.0074, and an R2 of 0.9251 on the first dataset, and an MAE of 0.0469, MSE of 0.0032, and R2 of 0.9868 on the second dataset, demonstrating significant error reduction.

摘要

在当前能源危机日益加剧的背景下,准确可靠地预测太阳辐射(SR)已成为热系统中促进可再生能源发电不可或缺的一部分。机器学习(ML)模型因其在应对SR预测挑战方面的精度和计算效率而获得广泛认可。因此,本文介绍了一种创新的SR预测模型,称为猎豹优化器-随机森林(CO-RF)模型。CO组件在为每小时的SR预测选择最具信息性的特征方面起着关键作用,随后将这些特征作为输入提供给RF模型。使用两个公开可用的SR数据集对所开发的CO-RF模型的有效性进行了严格评估。采用包括平均绝对误差(MAE)、均方误差(MSE)和决定系数(R2)在内的评估指标来验证其性能。定量分析表明,在SR预测的训练和测试阶段,CO-RF模型均优于其他技术,如逻辑回归(LR)、支持向量机(SVM)、人工神经网络和独立随机森林(RF)。所提出的CO-RF模型表现优于其他模型,在第一个数据集上实现了低MAE为0.0365、MSE为0.0074和R2为0.9251,在第二个数据集上实现了MAE为0.0469、MSE为0.0032和R2为0.9868,显示出显著的误差降低。

https://cdn.ncbi.nlm.nih.gov/pmc/blobs/2b44/11661600/3b67a9ccfabd/pone.0314391.g006.jpg
https://cdn.ncbi.nlm.nih.gov/pmc/blobs/2b44/11661600/176879e86ebf/pone.0314391.g001.jpg
https://cdn.ncbi.nlm.nih.gov/pmc/blobs/2b44/11661600/d8449332d92e/pone.0314391.g002.jpg
https://cdn.ncbi.nlm.nih.gov/pmc/blobs/2b44/11661600/7be40dcd5ce6/pone.0314391.g003.jpg
https://cdn.ncbi.nlm.nih.gov/pmc/blobs/2b44/11661600/6bf844cf4c70/pone.0314391.g004.jpg
https://cdn.ncbi.nlm.nih.gov/pmc/blobs/2b44/11661600/b0774f7db803/pone.0314391.g005.jpg
https://cdn.ncbi.nlm.nih.gov/pmc/blobs/2b44/11661600/3b67a9ccfabd/pone.0314391.g006.jpg
https://cdn.ncbi.nlm.nih.gov/pmc/blobs/2b44/11661600/176879e86ebf/pone.0314391.g001.jpg
https://cdn.ncbi.nlm.nih.gov/pmc/blobs/2b44/11661600/d8449332d92e/pone.0314391.g002.jpg
https://cdn.ncbi.nlm.nih.gov/pmc/blobs/2b44/11661600/7be40dcd5ce6/pone.0314391.g003.jpg
https://cdn.ncbi.nlm.nih.gov/pmc/blobs/2b44/11661600/6bf844cf4c70/pone.0314391.g004.jpg
https://cdn.ncbi.nlm.nih.gov/pmc/blobs/2b44/11661600/b0774f7db803/pone.0314391.g005.jpg
https://cdn.ncbi.nlm.nih.gov/pmc/blobs/2b44/11661600/3b67a9ccfabd/pone.0314391.g006.jpg

相似文献

1
Improving prediction of solar radiation using Cheetah Optimizer and Random Forest.使用猎豹优化器和随机森林改进太阳辐射预测
PLoS One. 2024 Dec 20;19(12):e0314391. doi: 10.1371/journal.pone.0314391. eCollection 2024.
2
Short-term solar radiation forecasting using machine learning models under different sky conditions: evaluations and comparisons.基于不同天气条件的机器学习模型短期太阳辐射预测:评估与比较。
Environ Sci Pollut Res Int. 2024 Jan;31(1):966-981. doi: 10.1007/s11356-023-31246-5. Epub 2023 Nov 30.
3
Prediction of meteorological drought and standardized precipitation index based on the random forest (RF), random tree (RT), and Gaussian process regression (GPR) models.基于随机森林(RF)、随机树(RT)和高斯过程回归(GPR)模型的气象干旱预测及标准化降水指数
Environ Sci Pollut Res Int. 2023 Mar;30(15):43183-43202. doi: 10.1007/s11356-023-25221-3. Epub 2023 Jan 17.
4
Long-term solar radiation forecasting in India using EMD, EEMD, and advanced machine learning algorithms.利用经验模态分解(EMD)、集合经验模态分解(EEMD)和先进机器学习算法对印度长期太阳辐射进行预测。
Environ Monit Assess. 2025 Feb 18;197(3):310. doi: 10.1007/s10661-025-13738-8.
5
Explainable AI and optimized solar power generation forecasting model based on environmental conditions.基于环境条件的可解释人工智能与优化太阳能发电预测模型
PLoS One. 2024 Oct 2;19(10):e0308002. doi: 10.1371/journal.pone.0308002. eCollection 2024.
6
Can machine learning predict pharmacotherapy outcomes? An application study in osteoporosis.机器学习能预测药物治疗效果吗?一项在骨质疏松症中的应用研究。
Comput Methods Programs Biomed. 2022 Oct;225:107028. doi: 10.1016/j.cmpb.2022.107028. Epub 2022 Jul 21.
7
A hybrid approach for modeling bicycle crash frequencies: Integrating random forest based SHAP model with random parameter negative binomial regression model.基于随机森林的 SHAP 模型与随机参数负二项回归模型相结合的自行车碰撞频率建模混合方法。
Accid Anal Prev. 2024 Dec;208:107778. doi: 10.1016/j.aap.2024.107778. Epub 2024 Sep 16.
8
Solar energy prediction through machine learning models: A comparative analysis of regressor algorithms.通过机器学习模型进行太阳能预测:回归算法的比较分析。
PLoS One. 2025 Jan 2;20(1):e0315955. doi: 10.1371/journal.pone.0315955. eCollection 2025.
9
A comparative study of statistical and machine learning models on carbon dioxide emissions prediction of China.中国二氧化碳排放预测的统计和机器学习模型比较研究。
Environ Sci Pollut Res Int. 2023 Nov;30(55):117485-117502. doi: 10.1007/s11356-023-30428-5. Epub 2023 Oct 23.
10
Predicting Calcein Release from Ultrasound-Targeted Liposomes: A Comparative Analysis of Random Forest and Support Vector Machine.超声靶向脂质体中 calcein 释放的预测:随机森林和支持向量机的比较分析。
Technol Cancer Res Treat. 2024 Jan-Dec;23:15330338241296725. doi: 10.1177/15330338241296725.

本文引用的文献

1
STEADYNet: Spatiotemporal EEG analysis for dementia detection using convolutional neural network.STEADYNet:使用卷积神经网络进行痴呆症检测的时空脑电图分析
Cogn Neurodyn. 2024 Oct;18(5):3195-3208. doi: 10.1007/s11571-024-10153-6. Epub 2024 Jul 19.
2
LCADNet: a novel light CNN architecture for EEG-based Alzheimer disease detection.LCADNet:一种基于 EEG 的阿尔茨海默病检测的新型轻量级卷积神经网络架构。
Phys Eng Sci Med. 2024 Sep;47(3):1037-1050. doi: 10.1007/s13246-024-01425-w. Epub 2024 Jun 11.
3
Short-term solar radiation forecasting using machine learning models under different sky conditions: evaluations and comparisons.
基于不同天气条件的机器学习模型短期太阳辐射预测:评估与比较。
Environ Sci Pollut Res Int. 2024 Jan;31(1):966-981. doi: 10.1007/s11356-023-31246-5. Epub 2023 Nov 30.
4
A Deep Batch Normalized Convolution Approach for Improving COVID-19 Detection from Chest X-ray Images.一种用于改善从胸部X光图像检测新型冠状病毒肺炎的深度批归一化卷积方法。
Pathogens. 2022 Dec 22;12(1):17. doi: 10.3390/pathogens12010017.
5
The cheetah optimizer: a nature-inspired metaheuristic algorithm for large-scale optimization problems.猎豹优化器:一种受自然启发的元启发式算法,用于大规模优化问题。
Sci Rep. 2022 Jun 29;12(1):10953. doi: 10.1038/s41598-022-14338-z.
6
Solar radiation forecasting using MARS, CART, M5, and random forest model: A case study for India.使用MARS、CART、M5和随机森林模型进行太阳辐射预测:以印度为例的研究
Heliyon. 2019 Nov 1;5(10):e02692. doi: 10.1016/j.heliyon.2019.e02692. eCollection 2019 Oct.
7
Ant system: optimization by a colony of cooperating agents.蚁群算法:通过一群协作智能体进行优化。
IEEE Trans Syst Man Cybern B Cybern. 1996;26(1):29-41. doi: 10.1109/3477.484436.