Suppr超能文献

可穿戴技术能帮助指导节食安全吗?

Can Wearable Technology Help Guide Dieting Safety?

作者信息

Tang Maya, Powell Joseph, Li Xiao

机构信息

Hathaway Brown School.

Case Western Reserve University.

出版信息

Res Sq. 2024 Dec 12:rs.3.rs-5619684. doi: 10.21203/rs.3.rs-5619684/v1.

Abstract

BACKGROUND

The safety of dietary interventions is often unmonitored. Wearable technology can track elevations in resting heart rate (RHR), a marker of physiologic stress, which may provide safety information that is incremental to self-reported data.

METHODS

A single subject was placed on an isocaloric diet for four weeks. In weeks # 1 and 4, timing of food consumption was unregulated. In week #2, food was consumed during a three-hour feeding window (one-meal-a-day, OMAD). During week #3, food was consumed at six intervals, spaced three hours apart (6-meal diet). A Fitbit Versa was worn continuously, and questionnaires were administered twice daily.

RESULTS

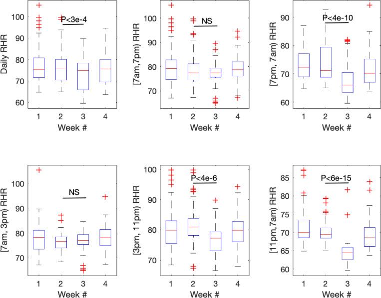
Meal frequency did not affect the subject's weight. Hunger scores from morning and night were widely split on OMAD and relatively constant on the 6-meal diet. Energy, happiness, irritability, and sleep scores were more favorable on the 6-meal diet than on OMAD. RHR extracted from the wearable device was lower during the 6-meal diet than during OMAD, especially in the late afternoon, evening, and nighttime (p<0.05). Lower RHR during the 6-meal diet corresponded to more favorable questionnaire scores.

CONCLUSIONS

Changes in RHR patterns acquired by wearable technology are promising indicators of physiologic stress during dietary interventions. Wearable technology can provide physiologic data that are complementary to questionnaire scores or timed manual measurements.

摘要

背景

饮食干预的安全性往往未受到监测。可穿戴技术能够追踪静息心率(RHR)的升高情况,静息心率是生理应激的一个指标,它可能提供相对于自我报告数据而言更多的安全信息。

方法

对一名受试者进行为期四周的等热量饮食。在第1周和第4周,食物摄入时间不受限制。在第2周,食物在一个三小时的进食窗口内食用(一日一餐,OMAD)。在第3周,食物分六次间隔食用,每次间隔三小时(六餐饮食)。持续佩戴Fitbit Versa,并每天进行两次问卷调查。

结果

进餐频率并未影响受试者的体重。OMAD模式下早晚的饥饿评分差异较大,而六餐饮食模式下的饥饿评分相对稳定。六餐饮食模式下的能量、幸福感、易怒程度和睡眠评分比OMAD模式下更有利。从可穿戴设备提取的静息心率在六餐饮食模式下低于OMAD模式,尤其是在下午晚些时候、晚上和夜间(p<0.05)。六餐饮食模式下较低的静息心率与更有利的问卷调查评分相对应。

结论

可穿戴技术获取的静息心率模式变化是饮食干预期间生理应激的有前景的指标。可穿戴技术能够提供与问卷调查评分或定时手动测量互补的生理数据。

https://cdn.ncbi.nlm.nih.gov/pmc/blobs/c288/11661416/674ece814975/nihpp-rs5619684v1-f0001.jpg

文献AI研究员

20分钟写一篇综述,助力文献阅读效率提升50倍。

立即体验

用中文搜PubMed

大模型驱动的PubMed中文搜索引擎

马上搜索

文档翻译

学术文献翻译模型,支持多种主流文档格式。

立即体验