Suppr超能文献

质粒编码的H-NS同源物Sfx的进化和功能差异是IncX质粒接合调控的基础。

Evolutionary and functional divergence of Sfx, a plasmid-encoded H-NS homolog, underlies the regulation of IncX plasmid conjugation.

作者信息

Wang Avril, Cordova Martha, Navarre William Wiley

机构信息

Department of Molecular Genetics, University of Toronto, Toronto, Ontario, Canada.

出版信息

mBio. 2025 Feb 5;16(2):e0208924. doi: 10.1128/mbio.02089-24. Epub 2024 Dec 23.

Abstract

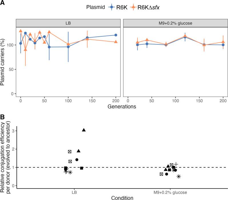
Conjugative plasmids are widespread among prokaryotes, highlighting their evolutionary success. Conjugation systems on most natural plasmids are repressed by default. The negative regulation of F-plasmid conjugation is partially mediated by the chromosomal nucleoid-structuring protein (H-NS). Recent bioinformatic analyses have revealed that plasmid-encoded H-NS homologs are widespread and exhibit high sequence diversity. However, the functional roles of most of these homologs and the selective forces driving their phylogenetic diversification remain unclear. In this study, we characterized the functionality and evolution of Sfx, a H-NS homolog encoded by the model IncX2 plasmid R6K. We demonstrate that Sfx, but not chromosomal H-NS, can repress R6K conjugation. Notably, we find evidence of positive selection acting on the ancestral Sfx lineage. Positively selected sites are located in the dimerization, oligomerization, and DNA-binding interfaces, many of which contribute to R6K repression activity-indicating that adaptive evolution drove the functional divergence of Sfx. We additionally show that Sfx can physically interact with various chromosomally encoded proteins, including H-NS, StpA, and Hha. Hha enhances the ability of Sfx to regulate R6K conjugation, suggesting that Sfx retained functionally important interactions with chromosomal silencing proteins. Surprisingly, the loss of Sfx does not negatively affect the stability or dissemination of R6K in laboratory conditions, reflecting the complexity of selective pressures favoring conjugation repression. Overall, our study sheds light on the functional and evolutionary divergence of a plasmid-borne H-NS-like protein, highlighting how these loosely specific DNA-binding proteins evolved to specifically regulate different plasmid functions.IMPORTANCEConjugative plasmids play a crucial role in spreading antimicrobial resistance and virulence genes. Most natural conjugative plasmids conjugate only under specific conditions. Therefore, studying the molecular mechanisms underlying conjugation regulation is essential for understanding antimicrobial resistance and pathogen evolution. In this study, we characterized the conjugation regulation of the model IncX plasmid R6K. We discovered that Sfx, a H-NS homolog carried by the plasmid, represses conjugation. Molecular evolutionary analyses combined with gain-of-function experiments indicate that positive selection underlies the conjugation repression activity of Sfx. Additionally, we demonstrate that the loss of Sfx does not adversely affect R6K maintenance under laboratory conditions, suggesting additional selective forces favoring Sfx carriage. Overall, this work underscores the impact of protein diversification on plasmid biology, enhancing our understanding of how molecular evolution affects broader plasmid ecology.

摘要

接合质粒在原核生物中广泛存在,凸显了它们在进化上的成功。大多数天然质粒上的接合系统默认处于抑制状态。F 质粒接合的负调控部分由染色体类核结构蛋白(H-NS)介导。最近的生物信息学分析表明,质粒编码的 H-NS 同源物广泛存在且表现出高度的序列多样性。然而,这些同源物中的大多数的功能作用以及驱动其系统发育多样化的选择力仍不清楚。在本研究中,我们对由典型的 IncX2 质粒 R6K 编码的 H-NS 同源物 Sfx 的功能和进化进行了表征。我们证明 Sfx 而非染色体 H-NS 能够抑制 R6K 的接合。值得注意的是,我们发现有证据表明正向选择作用于祖先 Sfx 谱系。正向选择位点位于二聚化、寡聚化和 DNA 结合界面,其中许多位点有助于 R6K 的抑制活性——表明适应性进化推动了 Sfx 的功能分化。我们还表明 Sfx 能够与多种染色体编码的蛋白质发生物理相互作用,包括 H-NS、StpA 和 Hha。Hha 增强了 Sfx 调节 R6K 接合的能力,这表明 Sfx 保留了与染色体沉默蛋白在功能上重要的相互作用。令人惊讶的是,在实验室条件下 Sfx 的缺失并不会对 R6K 的稳定性或传播产生负面影响,这反映了有利于接合抑制的选择压力的复杂性。总体而言,我们的研究揭示了一种质粒携带的类 H-NS 蛋白的功能和进化分歧,突出了这些特异性不强的 DNA 结合蛋白是如何进化以特异性调节不同的质粒功能的。

重要性

接合质粒在传播抗微生物抗性和毒力基因方面起着关键作用。大多数天然接合质粒仅在特定条件下进行接合。因此,研究接合调控的分子机制对于理解抗微生物抗性和病原体进化至关重要。在本研究中,我们对典型的 IncX 质粒 R6K 的接合调控进行了表征。我们发现质粒携带的 H-NS 同源物 Sfx 抑制接合。分子进化分析与功能获得实验表明,正向选择是 Sfx 接合抑制活性的基础。此外,我们证明在实验室条件下 Sfx 的缺失不会对 R6K 的维持产生不利影响,这表明存在有利于携带 Sfx 的其他选择力。总体而言,这项工作强调了蛋白质多样化对质粒生物学的影响,增进了我们对分子进化如何影响更广泛的质粒生态学的理解。

https://cdn.ncbi.nlm.nih.gov/pmc/blobs/499c/11796372/fea876d69e54/mbio.02089-24.f001.jpg

文献检索

告别复杂PubMed语法,用中文像聊天一样搜索,搜遍4000万医学文献。AI智能推荐,让科研检索更轻松。

立即免费搜索

文件翻译

保留排版,准确专业,支持PDF/Word/PPT等文件格式,支持 12+语言互译。

免费翻译文档

深度研究

AI帮你快速写综述,25分钟生成高质量综述,智能提取关键信息,辅助科研写作。

立即免费体验