Suppr超能文献

通过双关节内诊断性阻滞确诊的慢性腰椎关节突关节疼痛患者中,比较关节内注射富血小板血浆(PRP)与皮质类固醇(CS)的疗效:一项为期6个月随访的三盲随机多中心对照试验。

Comparing the efficacy of intra-articular injection of Platelet Rich Plasma (PRP) with corticosteroids (CS) in patients with chronic zygapophyseal joint low back pain confirmed by double intra-articular diagnostic blocks: A triple-blinded randomized multicentric controlled trial with a 6-month follow-up.

作者信息

Cauchon Anne-Marie, Mares Christopher, Fan Xin Yi, Bois Marie-Claude, Hagemeister Nicola, Noiseux Nicolas, Roy André

机构信息

Department of Physical Medicine and Rehabilitation, Université Laval, Québec, Québec, Qc, Canada.

Physiatry Department, Université de Montréal, Montréal, Québec, Qc, Canada.

出版信息

Interv Pain Med. 2024 Dec 3;3(4):100525. doi: 10.1016/j.inpm.2024.100525. eCollection 2024 Dec.

Abstract

OBJECTIVE

To compare the safety and effectiveness in improving function and reducing pain of autologous PRP to corticosteroid (CS) zygapophyseal (Z-joint) intra-articular (IA) injections at six months for patients with chronic osteoarthritis Z-joint mediated low back pain (LBP).

DESIGN

Prospective triple-blinded multicentric randomized controlled trial.

METHODS

Fifty participants with radiological signs of Z-joint OA and chronic Z-joint mediated LBP confirmed by a ≥80 % pain improvement after two IA local anesthetic injections were randomized into PRP and CS groups, using a 1:1 ratio. Participants completed questionnaires at baseline, and at 1-, 3- and 6-month post-treatment, with adverse effect data collected at 1 month. Function (Oswestry disability index (ODI)), pain (Numeric Rating Scale (NRS)), treatment satisfaction (modified MacNab criteria), and quality of life (Short Form survey 36 (SF-36)) were assessed at each follow-up. The primary outcome was the percentage of participants improving their function (ODI score) above the minimal clinically important difference (MCID) of 17 points. The secondary outcomes were the percentage of participants with a >50 % NRS improvement, satisfaction to treatment and mean score improvement. Proportions were compared between groups using a chi-square test. Mean scores were compared using a two-way ANOVA or the nonparametric Brunner & Langer test.

RESULTS

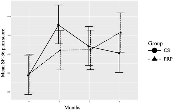
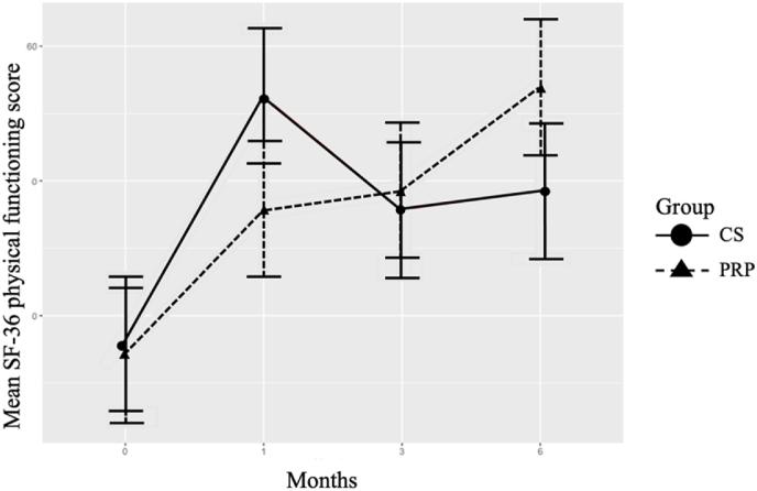
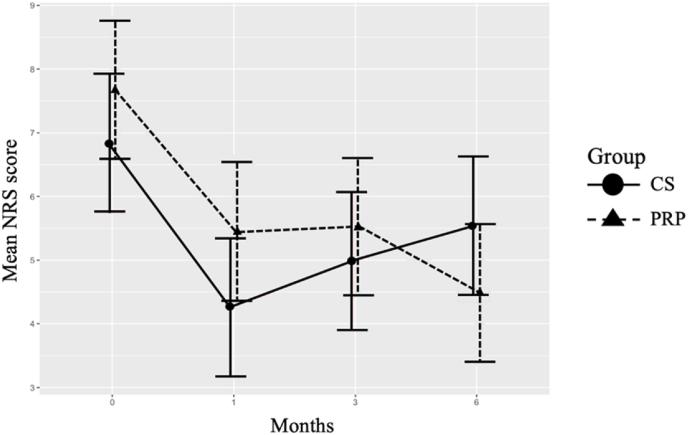
Both groups were similar at baseline, no major adverse effects occurred, and no participants were lost at follow-up. The proportion of participants improving their ODI scores above the MCID, the proportion of participants with a >50 % NRS improvement, and mean ODI scores were significantly different between groups in favor of PRP at 6 months. Modified MacNab satisfaction scale, NRS and SF36 mean scores were not statistically different between groups, but all followed the same pattern: the CS groups had a greater improvement a one month, both groups were equivalent at three months and the PRP group had a greater improvement at six months.

CONCLUSION

This first triple-blinded multicentric RCT demonstrates the safety of PRP IA Z-joint injections and its superiority in improving pain and function at six months post-treatment compared to CS for patients with chronic OA Z-joint mediated LBP. To perform a blinded control study, two intra-articular treatments were compared. However, knowing that radiofrequency neurotomy (RFN) of the medial branch diagnosed by branch blocks has been standard of care for pain originating from Z-joints, further studies comparing PRP to RFN are still needed.

CLINICALTRIALS GOV REGISTRY NUMBER

NCT05188820.

摘要

目的

比较自体富血小板血浆(PRP)与皮质类固醇(CS)关节突关节(Z关节)关节内(IA)注射对慢性骨关节炎Z关节介导的下腰痛(LBP)患者在改善功能和减轻疼痛方面的安全性和有效性,随访时间为6个月。

设计

前瞻性三盲多中心随机对照试验。

方法

50名有Z关节骨关节炎放射学征象且经两次IA局部麻醉注射后疼痛改善≥80%确诊为慢性Z关节介导的LBP的参与者,按1:1比例随机分为PRP组和CS组。参与者在基线时以及治疗后1个月、3个月和6个月完成问卷调查,在1个月时收集不良反应数据。每次随访时评估功能(Oswestry功能障碍指数(ODI))、疼痛(数字评分量表(NRS))、治疗满意度(改良MacNab标准)和生活质量(简短形式调查36(SF-36))。主要结局是功能改善(ODI评分)超过最小临床重要差异(MCID)17分的参与者百分比。次要结局是NRS改善>50%的参与者百分比、治疗满意度和平均评分改善情况。组间比例比较采用卡方检验。平均评分比较采用双向方差分析或非参数Brunner & Langer检验。

结果

两组在基线时相似,未发生重大不良反应,随访期间无参与者失访。在6个月时,两组间功能改善超过MCID的参与者比例、NRS改善>50%的参与者比例以及平均ODI评分存在显著差异,PRP组更具优势。改良MacNab满意度量表、NRS和SF36平均评分在组间无统计学差异,但均呈现相同模式:CS组在1个月时改善更大,两组在3个月时相当,PRP组在6个月时改善更大。

结论

这项首个三盲多中心随机对照试验证明了PRP关节突关节IA注射的安全性,以及与CS相比,其在治疗慢性骨关节炎Z关节介导的LBP患者6个月后改善疼痛和功能方面的优越性。为进行盲法对照研究,比较了两种关节内治疗方法。然而,鉴于经分支阻滞诊断的内侧支射频神经切断术(RFN)一直是Z关节源性疼痛的治疗标准,仍需要进一步研究比较PRP与RFN。

临床试验注册编号

NCT05188820。

https://cdn.ncbi.nlm.nih.gov/pmc/blobs/d1a3/11665351/d0034fde8511/gr1.jpg

文献检索

告别复杂PubMed语法,用中文像聊天一样搜索,搜遍4000万医学文献。AI智能推荐,让科研检索更轻松。

立即免费搜索

文件翻译

保留排版,准确专业,支持PDF/Word/PPT等文件格式,支持 12+语言互译。

免费翻译文档

深度研究

AI帮你快速写综述,25分钟生成高质量综述,智能提取关键信息,辅助科研写作。

立即免费体验