• 文献检索
  • 文档翻译
  • 深度研究
  • 学术资讯
  • Suppr Zotero 插件Zotero 插件
  • 邀请有礼
  • 套餐&价格
  • 历史记录
应用&插件
Suppr Zotero 插件Zotero 插件浏览器插件Mac 客户端Windows 客户端微信小程序
定价
高级版会员购买积分包购买API积分包
服务
文献检索文档翻译深度研究API 文档MCP 服务
关于我们
关于 Suppr公司介绍联系我们用户协议隐私条款
关注我们

Suppr 超能文献

核心技术专利:CN118964589B侵权必究
粤ICP备2023148730 号-1Suppr @ 2026

文献检索

告别复杂PubMed语法,用中文像聊天一样搜索,搜遍4000万医学文献。AI智能推荐,让科研检索更轻松。

立即免费搜索

文件翻译

保留排版,准确专业,支持PDF/Word/PPT等文件格式,支持 12+语言互译。

免费翻译文档

深度研究

AI帮你快速写综述,25分钟生成高质量综述,智能提取关键信息,辅助科研写作。

立即免费体验

射频溅射法制备的TiO Magneli相薄膜具有高光热转换效率及其与光吸收能力的线性相关性。

High photothermal conversion efficiency of RF sputtered TiO Magneli phase thin films and its linear correlation with light absorption capacity.

作者信息

Pichon L, Rekik H, Arab H, Drogui P, El Khakani M A

机构信息

Centre Énergie, Matériaux Télécommunications, Institut National de la Recherche Scientifique, 1650, Blvd, Lionel-Boulet, Varennes, QC, J3X-1P7, Canada.

Centre-Eau Terre Environnement, Institut National de la Recherche Scientifique, 490, Rue de la Couronne, Quebec, G1K 9A9, Canada.

出版信息

Sci Rep. 2024 Dec 28;14(1):30981. doi: 10.1038/s41598-024-82091-6.

DOI:10.1038/s41598-024-82091-6
PMID:39730757
原文链接:https://pmc.ncbi.nlm.nih.gov/articles/PMC11680942/
Abstract

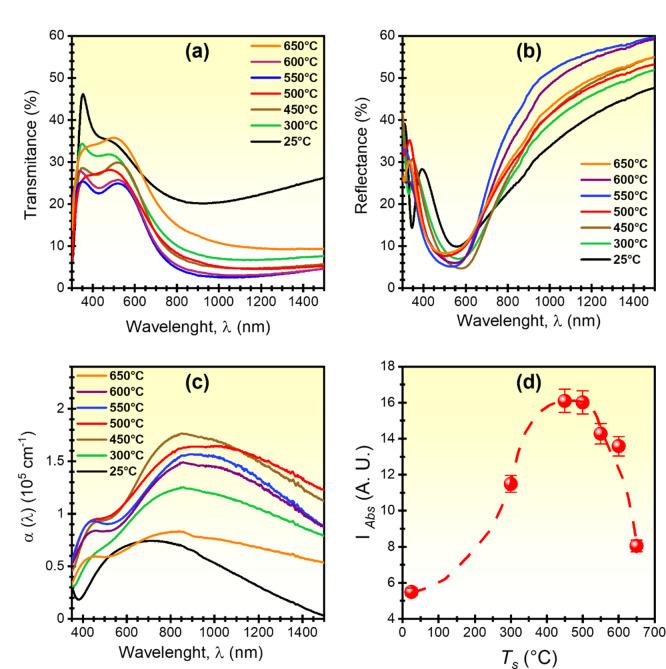
RF-sputtering is used to deposit TiO-Magneli-phase films onto various substrates at deposition temperatures (T) ranging from 25 to 650 °C. Not only the structural, but also electrical conductivity, optical absorbance and photothermal properties of the TiO films are shown to change significantly with T. A T of 500 °C is pointed out as the optimal temperature that yields highly-crystalized pure-TiO-Magneli phase with a densely-packed morphology and a conductivity as high as 740 S/cm. The TiO films deposited at T = 450-500 °C also exhibited the highest optical absorption over all the broad (200-1500) nm range. The absorbed sunlight (AM1.5) was efficiently converted into heat by raising the temperature of the TiO films up to ~ 54 °C. Thus, the external photothermal efficiency (η) of the TiO films, was found to be as high as ~ 74%. This is the highest η reported so far for sputtered-TiO coatings (just ~ 450 nm-thick), highlighting their significant potential for photothermal applications such as desalination, deicing and/or smart windows. Finally, the η of the TiO coatings is demonstrated, for the first time, to be linearly correlated to their integrated light absorption coefficient. This fundamental relationship paves the way towards the design and optimization of highly efficient solar-thermal conversion devices.

摘要

射频溅射用于在25至650°C的沉积温度(T)下,将TiO - 马涅利相薄膜沉积到各种衬底上。结果表明,TiO薄膜的结构、电导率、光吸收率和光热性能不仅会随着温度发生显著变化。500°C被指出是产生具有密集堆积形态和高达740 S/cm电导率的高度结晶纯TiO - 马涅利相的最佳温度。在450 - 500°C沉积的TiO薄膜在整个宽(200 - 1500)nm范围内也表现出最高的光吸收。通过将TiO薄膜的温度升高到约54°C,吸收的太阳光(AM1.5)被有效地转化为热量。因此,发现TiO薄膜的外部光热效率(η)高达约74%。这是迄今为止报道的溅射TiO涂层(仅约450 nm厚)的最高η值,突出了它们在诸如海水淡化、除冰和/或智能窗户等光热应用中的巨大潜力。最后,首次证明了TiO涂层的η与其积分光吸收系数呈线性相关。这种基本关系为高效太阳能 - 热转换装置的设计和优化铺平了道路。

https://cdn.ncbi.nlm.nih.gov/pmc/blobs/4213/11680942/fe3a6b74ec14/41598_2024_82091_Fig7_HTML.jpg
https://cdn.ncbi.nlm.nih.gov/pmc/blobs/4213/11680942/c70d41be8d59/41598_2024_82091_Fig1_HTML.jpg
https://cdn.ncbi.nlm.nih.gov/pmc/blobs/4213/11680942/41cb569105ad/41598_2024_82091_Fig2_HTML.jpg
https://cdn.ncbi.nlm.nih.gov/pmc/blobs/4213/11680942/17dbc7ec2d18/41598_2024_82091_Fig3_HTML.jpg
https://cdn.ncbi.nlm.nih.gov/pmc/blobs/4213/11680942/305a3667ff57/41598_2024_82091_Fig4_HTML.jpg
https://cdn.ncbi.nlm.nih.gov/pmc/blobs/4213/11680942/f2a59f537896/41598_2024_82091_Fig5_HTML.jpg
https://cdn.ncbi.nlm.nih.gov/pmc/blobs/4213/11680942/3ca1d24faf58/41598_2024_82091_Fig6_HTML.jpg
https://cdn.ncbi.nlm.nih.gov/pmc/blobs/4213/11680942/fe3a6b74ec14/41598_2024_82091_Fig7_HTML.jpg
https://cdn.ncbi.nlm.nih.gov/pmc/blobs/4213/11680942/c70d41be8d59/41598_2024_82091_Fig1_HTML.jpg
https://cdn.ncbi.nlm.nih.gov/pmc/blobs/4213/11680942/41cb569105ad/41598_2024_82091_Fig2_HTML.jpg
https://cdn.ncbi.nlm.nih.gov/pmc/blobs/4213/11680942/17dbc7ec2d18/41598_2024_82091_Fig3_HTML.jpg
https://cdn.ncbi.nlm.nih.gov/pmc/blobs/4213/11680942/305a3667ff57/41598_2024_82091_Fig4_HTML.jpg
https://cdn.ncbi.nlm.nih.gov/pmc/blobs/4213/11680942/f2a59f537896/41598_2024_82091_Fig5_HTML.jpg
https://cdn.ncbi.nlm.nih.gov/pmc/blobs/4213/11680942/3ca1d24faf58/41598_2024_82091_Fig6_HTML.jpg
https://cdn.ncbi.nlm.nih.gov/pmc/blobs/4213/11680942/fe3a6b74ec14/41598_2024_82091_Fig7_HTML.jpg

相似文献

1
High photothermal conversion efficiency of RF sputtered TiO Magneli phase thin films and its linear correlation with light absorption capacity.射频溅射法制备的TiO Magneli相薄膜具有高光热转换效率及其与光吸收能力的线性相关性。
Sci Rep. 2024 Dec 28;14(1):30981. doi: 10.1038/s41598-024-82091-6.
2
Efficient electro-oxidation-based degradation of per- and polyfluoroalkyl (PFAS) persistent pollutants by using plasma torch synthesized pure-Magnéli phase-TiO anodes.采用等离子炬合成纯 Magnéli 相 TiO 阳极,实现基于电氧化的全氟和多氟烷基物质(PFAS)持久性污染物的高效降解。
J Environ Manage. 2024 Nov;370:122929. doi: 10.1016/j.jenvman.2024.122929. Epub 2024 Oct 19.
3
Conductive Nanosized Magnéli-Phase TiO with a Core@Shell Structure.具有核壳结构的导电纳米尺寸马格涅利相TiO
Inorg Chem. 2019 May 20;58(10):7062-7068. doi: 10.1021/acs.inorgchem.9b00707. Epub 2019 May 9.
4
Effect of Substrate Temperature on the Structural, Optical and Electrical Properties of DC Magnetron Sputtered VO Thin Films.衬底温度对直流磁控溅射VO薄膜结构、光学及电学性能的影响
Materials (Basel). 2022 Nov 7;15(21):7849. doi: 10.3390/ma15217849.
5
Variations in the Physical Properties of RF-Sputtered CdS Thin Films Observed at Substrate Temperatures Ranging from 25 °C to 500 °C.在25℃至500℃的衬底温度范围内观察到的射频溅射硫化镉薄膜物理性质的变化。
Nanomaterials (Basel). 2022 May 10;12(10):1618. doi: 10.3390/nano12101618.
6
Effect of Deposition Working Power on Physical Properties of RF-Sputtered CdTe Thin Films for Photovoltaic Applications.沉积工作功率对用于光伏应用的射频溅射碲化镉薄膜物理性能的影响。
Nanomaterials (Basel). 2024 Mar 18;14(6):535. doi: 10.3390/nano14060535.
7
Investigation of Antireflection Nb₂O₅ Thin Films by the Sputtering Method under Different Deposition Parameters.不同沉积参数下溅射法制备减反射Nb₂O₅薄膜的研究
Micromachines (Basel). 2016 Sep 1;7(9):151. doi: 10.3390/mi7090151.
8
Influence of Oxygen Concentration on the Performance of Ultra-Thin RF Magnetron Sputter Deposited Indium Tin Oxide Films as a Top Electrode for Photovoltaic Devices.氧浓度对作为光伏器件顶电极的超薄射频磁控溅射沉积氧化铟锡薄膜性能的影响。
Materials (Basel). 2016 Jan 20;9(1):63. doi: 10.3390/ma9010063.
9
Magnéli-Phase TiO-Doped Laser-Induced Graphene Surfaces and Filters for Pollutant Degradation and Microorganism Removal.马格内利相 TiO 掺杂激光诱导石墨烯表面和过滤器用于污染物降解和微生物去除。
ACS Appl Mater Interfaces. 2022 Nov 23;14(46):52448-52458. doi: 10.1021/acsami.2c10348. Epub 2022 Nov 9.
10
N -implantation-induced tailoring of structural, morphological, optical, and electrical characteristics of sputtered molybdenum thin films.氮注入诱导的溅射钼薄膜结构、形态、光学和电学特性的剪裁
Beilstein J Nanotechnol. 2025 Apr 1;16:495-509. doi: 10.3762/bjnano.16.38. eCollection 2025.

本文引用的文献

1
Interface Engineering of a TiO Nanofibrous Membrane for Efficient Solar-Driven Evaporation.用于高效太阳能驱动蒸发的TiO纳米纤维膜的界面工程
ACS Appl Mater Interfaces. 2022 Dec 14;14(49):54855-54866. doi: 10.1021/acsami.2c15997. Epub 2022 Nov 30.
2
Black TiO Films with Photothermal-Assisted Photocatalytic Activity Prepared by Reactive Sputtering.通过反应溅射制备的具有光热辅助光催化活性的黑色TiO薄膜。
Materials (Basel). 2021 May 12;14(10):2508. doi: 10.3390/ma14102508.
3
Low-Cost Bipolar Plates of TiO-Coated Ti for Water Electrolysis with Polymer Electrolyte Membranes.
用于聚合物电解质膜水电解的TiO涂层Ti低成本双极板
ACS Omega. 2021 Feb 1;6(6):4161-4166. doi: 10.1021/acsomega.0c04786. eCollection 2021 Feb 16.
4
Chlorinated Byproduct Formation during the Electrochemical Advanced Oxidation Process at Magnéli Phase TiO Electrodes.在 Magnéli 相 TiO 电极电化学高级氧化过程中形成氯化副产物。
Environ Sci Technol. 2020 Oct 6;54(19):12673-12683. doi: 10.1021/acs.est.0c03916. Epub 2020 Sep 17.
5
Electrochemical oxidation of methyl orange by a Magnéli phase TiO anode.尖晶石相 TiO2 阳极电化学氧化甲基橙。
Chemosphere. 2020 Feb;241:125084. doi: 10.1016/j.chemosphere.2019.125084. Epub 2019 Oct 9.
6
Conductive Nanosized Magnéli-Phase TiO with a Core@Shell Structure.具有核壳结构的导电纳米尺寸马格涅利相TiO
Inorg Chem. 2019 May 20;58(10):7062-7068. doi: 10.1021/acs.inorgchem.9b00707. Epub 2019 May 9.
7
Highly conductive nano-sized Magnéli phases titanium oxide (TiO).高导电性纳米级 Magnéli 相氧化钛 (TiO)。
Sci Rep. 2017 Jun 16;7(1):3646. doi: 10.1038/s41598-017-03509-y.
8
High-Performance Photothermal Conversion of Narrow-Bandgap Ti O Nanoparticles.窄带隙 TiO2 纳米粒子的高光热转换性能。
Adv Mater. 2017 Jan;29(3). doi: 10.1002/adma.201603730. Epub 2016 Nov 11.
9
Constructing Black Titania with Unique Nanocage Structure for Solar Desalination.构建具有独特纳米笼结构的黑钛酸钠用于太阳能海水淡化。
ACS Appl Mater Interfaces. 2016 Nov 23;8(46):31716-31721. doi: 10.1021/acsami.6b11466. Epub 2016 Nov 10.
10
Black titanium dioxide (TiO2) nanomaterials.黑色二氧化钛(TiO2)纳米材料。
Chem Soc Rev. 2015 Apr 7;44(7):1861-85. doi: 10.1039/c4cs00330f. Epub 2015 Jan 15.