• 文献检索
  • 文档翻译
  • 深度研究
  • 学术资讯
  • Suppr Zotero 插件Zotero 插件
  • 邀请有礼
  • 套餐&价格
  • 历史记录
应用&插件
Suppr Zotero 插件Zotero 插件浏览器插件Mac 客户端Windows 客户端微信小程序
定价
高级版会员购买积分包购买API积分包
服务
文献检索文档翻译深度研究API 文档MCP 服务
关于我们
关于 Suppr公司介绍联系我们用户协议隐私条款
关注我们

Suppr 超能文献

核心技术专利:CN118964589B侵权必究
粤ICP备2023148730 号-1Suppr @ 2026

文献检索

告别复杂PubMed语法,用中文像聊天一样搜索,搜遍4000万医学文献。AI智能推荐,让科研检索更轻松。

立即免费搜索

文件翻译

保留排版,准确专业,支持PDF/Word/PPT等文件格式,支持 12+语言互译。

免费翻译文档

深度研究

AI帮你快速写综述,25分钟生成高质量综述,智能提取关键信息,辅助科研写作。

立即免费体验

基于脑电图的情感识别:使用多尺度动态卷积神经网络和门控变换器

EEG-based emotion recognition using multi-scale dynamic CNN and gated transformer.

作者信息

Cheng Zhuoling, Bu Xuekui, Wang Qingnan, Yang Tao, Tu Jihui

机构信息

School of Electronic Information and Electrical Engineering, Yangtze University, Jingzhou, 434100, Hubei, China.

School of Physics, Electronics and Intelligent Manufacturing, Huaihua University, Hunan, 418000, China.

出版信息

Sci Rep. 2024 Dec 28;14(1):31319. doi: 10.1038/s41598-024-82705-z.

DOI:10.1038/s41598-024-82705-z
PMID:39733023
原文链接:https://pmc.ncbi.nlm.nih.gov/articles/PMC11682401/
Abstract

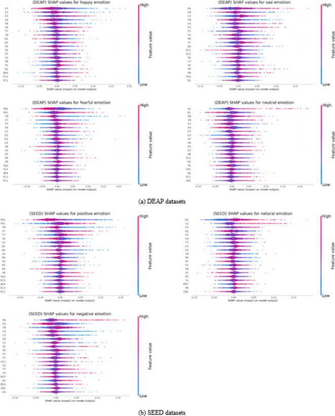
Emotions play a crucial role in human thoughts, cognitive processes, and decision-making. EEG has become a widely utilized tool in emotion recognition due to its high temporal resolution, real-time monitoring capabilities, portability, and cost-effectiveness. In this paper, we propose a novel end-to-end emotion recognition method from EEG signals, called MSDCGTNet, which is based on the Multi-Scale Dynamic 1D CNN and the Gated Transformer. First, the Multi-Scale Dynamic CNN is used to extract complex spatial and spectral features from raw EEG signals, which not only avoids information loss but also reduces computational costs associated with the time-frequency conversion of signals. Then, the Gated Transformer Encoder is utilized to capture global dependencies of EEG signals. This encoder focuses on specific regions of the input sequence while reducing computational resources through parallel processing with the improved multi-head self-attention mechanisms. Third, the Temporal Convolution Network is used to extract temporal features from the EEG signals. Finally, the extracted abstract features are fed into a classification module for emotion recognition. The proposed method was evaluated on three publicly available datasets: DEAP, SEED, and SEED_IV. Experimental results demonstrate the high accuracy and efficiency of the proposed method for emotion recognition. This approach proves to be robust and suitable for various practical applications. By addressing challenges posed by existing methods, the proposed method provides a valuable and effective solution for the field of Brain-Computer Interface (BCI).

摘要

情绪在人类思维、认知过程和决策中起着至关重要的作用。脑电图(EEG)因其高时间分辨率、实时监测能力、便携性和成本效益,已成为情绪识别中广泛使用的工具。在本文中,我们提出了一种基于多尺度动态一维卷积神经网络(Multi-Scale Dynamic 1D CNN)和门控变换器(Gated Transformer)的从脑电信号中进行端到端情绪识别的新方法,称为MSDCGTNet。首先,多尺度动态卷积神经网络用于从原始脑电信号中提取复杂的空间和频谱特征,这不仅避免了信息丢失,还降低了与信号时频转换相关的计算成本。然后,使用门控变换器编码器来捕捉脑电信号的全局依赖性。该编码器专注于输入序列的特定区域,同时通过改进的多头自注意力机制进行并行处理来减少计算资源。第三,时间卷积网络用于从脑电信号中提取时间特征。最后,将提取的抽象特征输入到分类模块进行情绪识别。该方法在三个公开可用的数据集上进行了评估:DEAP、SEED和SEED_IV。实验结果证明了该方法在情绪识别方面的高精度和高效率。这种方法被证明是稳健的,适用于各种实际应用。通过应对现有方法带来的挑战,该方法为脑机接口(BCI)领域提供了一种有价值且有效的解决方案。

https://cdn.ncbi.nlm.nih.gov/pmc/blobs/b451/11682401/11412456dbc5/41598_2024_82705_Fig10a_HTML.jpg
https://cdn.ncbi.nlm.nih.gov/pmc/blobs/b451/11682401/505c50c9e987/41598_2024_82705_Fig1_HTML.jpg
https://cdn.ncbi.nlm.nih.gov/pmc/blobs/b451/11682401/4a9e0248d562/41598_2024_82705_Fig2_HTML.jpg
https://cdn.ncbi.nlm.nih.gov/pmc/blobs/b451/11682401/ec212abc2b14/41598_2024_82705_Fig3_HTML.jpg
https://cdn.ncbi.nlm.nih.gov/pmc/blobs/b451/11682401/51823b0a1fa5/41598_2024_82705_Fig4_HTML.jpg
https://cdn.ncbi.nlm.nih.gov/pmc/blobs/b451/11682401/7dc7cb9a2167/41598_2024_82705_Fig5_HTML.jpg
https://cdn.ncbi.nlm.nih.gov/pmc/blobs/b451/11682401/3ac3b04d1bb0/41598_2024_82705_Fig6_HTML.jpg
https://cdn.ncbi.nlm.nih.gov/pmc/blobs/b451/11682401/30b38ef75346/41598_2024_82705_Fig7_HTML.jpg
https://cdn.ncbi.nlm.nih.gov/pmc/blobs/b451/11682401/9be3f2973c6e/41598_2024_82705_Fig8_HTML.jpg
https://cdn.ncbi.nlm.nih.gov/pmc/blobs/b451/11682401/39a9ff0d3d56/41598_2024_82705_Fig9_HTML.jpg
https://cdn.ncbi.nlm.nih.gov/pmc/blobs/b451/11682401/11412456dbc5/41598_2024_82705_Fig10a_HTML.jpg
https://cdn.ncbi.nlm.nih.gov/pmc/blobs/b451/11682401/505c50c9e987/41598_2024_82705_Fig1_HTML.jpg
https://cdn.ncbi.nlm.nih.gov/pmc/blobs/b451/11682401/4a9e0248d562/41598_2024_82705_Fig2_HTML.jpg
https://cdn.ncbi.nlm.nih.gov/pmc/blobs/b451/11682401/ec212abc2b14/41598_2024_82705_Fig3_HTML.jpg
https://cdn.ncbi.nlm.nih.gov/pmc/blobs/b451/11682401/51823b0a1fa5/41598_2024_82705_Fig4_HTML.jpg
https://cdn.ncbi.nlm.nih.gov/pmc/blobs/b451/11682401/7dc7cb9a2167/41598_2024_82705_Fig5_HTML.jpg
https://cdn.ncbi.nlm.nih.gov/pmc/blobs/b451/11682401/3ac3b04d1bb0/41598_2024_82705_Fig6_HTML.jpg
https://cdn.ncbi.nlm.nih.gov/pmc/blobs/b451/11682401/30b38ef75346/41598_2024_82705_Fig7_HTML.jpg
https://cdn.ncbi.nlm.nih.gov/pmc/blobs/b451/11682401/9be3f2973c6e/41598_2024_82705_Fig8_HTML.jpg
https://cdn.ncbi.nlm.nih.gov/pmc/blobs/b451/11682401/39a9ff0d3d56/41598_2024_82705_Fig9_HTML.jpg
https://cdn.ncbi.nlm.nih.gov/pmc/blobs/b451/11682401/11412456dbc5/41598_2024_82705_Fig10a_HTML.jpg

相似文献

1
EEG-based emotion recognition using multi-scale dynamic CNN and gated transformer.基于脑电图的情感识别:使用多尺度动态卷积神经网络和门控变换器
Sci Rep. 2024 Dec 28;14(1):31319. doi: 10.1038/s41598-024-82705-z.
2
Emotion recognition using hierarchical spatial-temporal learning transformer from regional to global brain.基于从局部到全局脑的层次时空学习转换器的情绪识别。
Neural Netw. 2024 Nov;179:106624. doi: 10.1016/j.neunet.2024.106624. Epub 2024 Aug 13.
3
Temporal aware Mixed Attention-based Convolution and Transformer Network for cross-subject EEG emotion recognition.基于时间感知混合注意力卷积和 Transformer 网络的跨被试 EEG 情绪识别
Comput Biol Med. 2024 Oct;181:108973. doi: 10.1016/j.compbiomed.2024.108973. Epub 2024 Aug 30.
4
An Attention-Based Multi-Domain Bi-Hemisphere Discrepancy Feature Fusion Model for EEG Emotion Recognition.基于注意力的多域双半球差异特征融合模型在 EEG 情绪识别中的应用。
IEEE J Biomed Health Inform. 2024 Oct;28(10):5890-5903. doi: 10.1109/JBHI.2024.3418010. Epub 2024 Oct 3.
5
Attention-based convolutional neural network with multi-modal temporal information fusion for motor imagery EEG decoding.基于注意力的卷积神经网络与多模态时间信息融合在运动想象 EEG 解码中的应用。
Comput Biol Med. 2024 Jun;175:108504. doi: 10.1016/j.compbiomed.2024.108504. Epub 2024 Apr 24.
6
Multi-scale convolutional transformer network for motor imagery brain-computer interface.用于运动想象脑机接口的多尺度卷积变压器网络
Sci Rep. 2025 Apr 15;15(1):12935. doi: 10.1038/s41598-025-96611-5.
7
Multi-scale 3D-CRU for EEG emotion recognition.基于多尺度 3D-CRU 的脑电情感识别。
Biomed Phys Eng Express. 2024 May 14;10(4). doi: 10.1088/2057-1976/ad43f1.
8
Hybrid Network Using Dynamic Graph Convolution and Temporal Self-Attention for EEG-Based Emotion Recognition.基于脑电图的情感识别中使用动态图卷积和时间自注意力的混合网络
IEEE Trans Neural Netw Learn Syst. 2024 Dec;35(12):18565-18575. doi: 10.1109/TNNLS.2023.3319315. Epub 2024 Dec 2.
9
Automated accurate emotion recognition system using rhythm-specific deep convolutional neural network technique with multi-channel EEG signals.基于多通道 EEG 信号的节律特定深度卷积神经网络技术的自动化精确情绪识别系统。
Comput Biol Med. 2021 Jul;134:104428. doi: 10.1016/j.compbiomed.2021.104428. Epub 2021 May 6.
10
Attention-Based DSC-ConvLSTM for Multiclass Motor Imagery Classification.基于注意力机制的 DSC-ConvLSTM 多类运动想象分类
Comput Intell Neurosci. 2022 May 5;2022:8187009. doi: 10.1155/2022/8187009. eCollection 2022.

引用本文的文献

1
A Comprehensive Review of Multimodal Emotion Recognition: Techniques, Challenges, and Future Directions.多模态情感识别综述:技术、挑战与未来方向
Biomimetics (Basel). 2025 Jun 27;10(7):418. doi: 10.3390/biomimetics10070418.
2
Emotion recognition framework based on adaptive window selection and CA-KAN.基于自适应窗口选择和CA-KAN的情感识别框架
Cogn Neurodyn. 2025 Dec;19(1):100. doi: 10.1007/s11571-025-10283-5. Epub 2025 Jun 24.
3
Transformers in EEG Analysis: A Review of Architectures and Applications in Motor Imagery, Seizure, and Emotion Classification.

本文引用的文献

1
Insights from EEG analysis of evoked memory recalls using deep learning for emotion charting.使用深度学习进行情绪图表的诱发记忆回忆的 EEG 分析见解。
Sci Rep. 2024 Jul 24;14(1):17080. doi: 10.1038/s41598-024-61832-7.
2
The role of prefrontal cortex and temporoparietal junction in interpersonal comfort and emotional approach.前额皮质和颞顶联合区在人际舒适感和情绪趋近中的作用。
Sci Rep. 2023 Dec 7;13(1):21636. doi: 10.1038/s41598-023-48099-0.
3
Improved EEG-based emotion recognition through information enhancement in connectivity feature map.
脑电图分析中的变压器:运动想象、癫痫发作及情绪分类的架构与应用综述
Sensors (Basel). 2025 Feb 20;25(5):1293. doi: 10.3390/s25051293.
通过连接特征图中的信息增强提高基于 EEG 的情绪识别。
Sci Rep. 2023 Aug 23;13(1):13804. doi: 10.1038/s41598-023-40786-2.
4
Neural Circuits for Emotion.情绪的神经回路
Annu Rev Neurosci. 2023 Jul 10;46:211-231. doi: 10.1146/annurev-neuro-111020-103314. Epub 2023 Mar 14.
5
CNN-XGBoost fusion-based affective state recognition using EEG spectrogram image analysis.基于 CNN-XGBoost 融合的脑电频谱图图像分析情感状态识别。
Sci Rep. 2022 Aug 19;12(1):14122. doi: 10.1038/s41598-022-18257-x.
6
A Transformer-Based Approach Combining Deep Learning Network and Spatial-Temporal Information for Raw EEG Classification.基于深度学习网络和时空信息的Transformer 结合方法用于原始 EEG 分类。
IEEE Trans Neural Syst Rehabil Eng. 2022;30:2126-2136. doi: 10.1109/TNSRE.2022.3194600. Epub 2022 Aug 4.
7
Accurate emotion recognition using Bayesian model based EEG sources as dynamic graph convolutional neural network nodes.基于贝叶斯模型的脑电源作为动态图卷积神经网络节点的精确情绪识别。
Sci Rep. 2022 Jun 18;12(1):10282. doi: 10.1038/s41598-022-14217-7.
8
IENet: a robust convolutional neural network for EEG based brain-computer interfaces.IENet:一种基于 EEG 的脑机接口的鲁棒卷积神经网络。
J Neural Eng. 2022 Jun 7;19(3). doi: 10.1088/1741-2552/ac7257.
9
Smart-Data-Driven System for Alzheimer Disease Detection through Electroencephalographic Signals.通过脑电图信号进行阿尔茨海默病检测的智能数据驱动系统
Bioengineering (Basel). 2022 Mar 28;9(4):141. doi: 10.3390/bioengineering9040141.
10
Deep Learning Application to Clinical Decision Support System in Sleep Stage Classification.深度学习在睡眠阶段分类临床决策支持系统中的应用。
J Pers Med. 2022 Jan 20;12(2):136. doi: 10.3390/jpm12020136.