• 文献检索
  • 文档翻译
  • 深度研究
  • 学术资讯
  • Suppr Zotero 插件Zotero 插件
  • 邀请有礼
  • 套餐&价格
  • 历史记录
应用&插件
Suppr Zotero 插件Zotero 插件浏览器插件Mac 客户端Windows 客户端微信小程序
定价
高级版会员购买积分包购买API积分包
服务
文献检索文档翻译深度研究API 文档MCP 服务
关于我们
关于 Suppr公司介绍联系我们用户协议隐私条款
关注我们

Suppr 超能文献

核心技术专利:CN118964589B侵权必究
粤ICP备2023148730 号-1Suppr @ 2026

文献检索

告别复杂PubMed语法,用中文像聊天一样搜索,搜遍4000万医学文献。AI智能推荐,让科研检索更轻松。

立即免费搜索

文件翻译

保留排版,准确专业,支持PDF/Word/PPT等文件格式,支持 12+语言互译。

免费翻译文档

深度研究

AI帮你快速写综述,25分钟生成高质量综述,智能提取关键信息,辅助科研写作。

立即免费体验

对居住在墨西哥城的8000名男性和女性老年人的认知障碍:一项前瞻性研究的横断面分析。

Cognitive impairment at older ages among 8000 men and women living in Mexico City: a cross-sectional analyses of a prospective study.

作者信息

González-Carballo Carlos, Kuri-Morales Pablo, Chiquete Erwin, Rojas-Russell Mario, Santacruz-Benitez Rogelio, Ramirez-Reyes Raúl, Garcilazo-Ávila Adrián, Berumen Jaime, Trichia Eirini, Friedrichs Louisa Gnatiuc, Orellana Paulina, Ochoa-Rosales Carolina, O'Donovan Gary, Emberson Jonathan R, Tapia-Conyer Roberto, Aguilar-Ramirez Diego, Alegre-Díaz Jesus

机构信息

Experimental Research Unit, Faculty of Medicine, National Autonomous University of Mexico, Dr. Balmis 148. Col. Doctores, Alcaldía Cuauhtémoc. CP 06720, Mexico City, Mexico.

Instituto Tecnológico y de Estudios Superiores de Monterrey, Av. Eugenio Garza Sada 2501 Sur, Tecnológico, Monterrey, 64849, N.L, México.

出版信息

BMC Public Health. 2024 Dec 31;24(1):3620. doi: 10.1186/s12889-024-21093-5.

DOI:10.1186/s12889-024-21093-5
PMID:39741255
原文链接:https://pmc.ncbi.nlm.nih.gov/articles/PMC11687187/
Abstract

BACKGROUND

There is limited population-based evidence on the prevalence of cognitive impairment in Mexico, a country with a rapidly aging population and where key risk factors, such as diabetes and obesity, are common. This study describes the distribution of cognitive impairment in adults from Mexico City.

METHODS

This cross-sectional population-based study included participants from the Mexico City Prospective Study which recruited 150,000 adults aged ≥ 35 years in 1998-2004. In 2015-2019 about 10,000 survivors were resurveyed with identical information from the original survey and additional assessments including a cognitive assessment. The main analyses included those aged 50-89 years with complete cognitive assessment and covariate data at resurvey. Cognitive impairment was defined by a score ≤ 24 on the Mini Mental State Examination (MMSE). The distribution of MMSE scores and cognitive impairment by age, sex, and major disease risk factors (diabetes, hypertension, and adiposity) was analyzed among those with complete MMSE data and some degree of self-reported formal education.

RESULTS

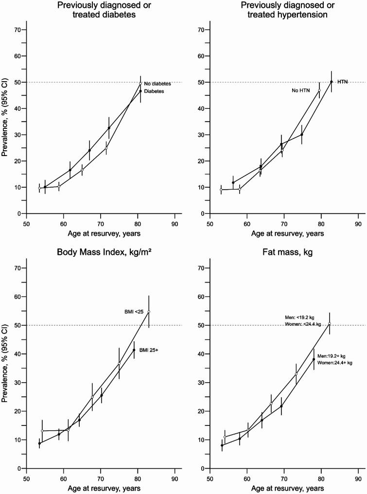
Of the 9,288 participants aged 50-89 years at the 2015-2019 resurvey with complete data, 8,197 reported having at least some years of formal education. Among these (mean age 66 years; 31% men), their mean MMSE score was 26.2 (SD 3.6) points, 1,941 (24%) had cognitive impairment, their mean body-mass index (BMI) was 28.6 (SD 5.5) kg/m, 3,008 (37%) had hypertension and 2,467 (30%) had diabetes. The sex- and district-standardised prevalence of cognitive impairment increased strongly with age, from 10% in those 50-59 years to 55% in those aged 80-89. At any given age, the prevalence of cognitive impairment was higher in women than in men. After accounting for the effects of age, sex, and district there was little difference in the prevalence of cognitive impairment between participants with or without diabetes, hypertension, overweight or obesity (BMI ≥ 25 km/m), or high levels of fat mass.

CONCLUSIONS

In this population of adults aged 50-89 years from Mexico City, the prevalence of cognitive impairment was high, particularly among women. The extent to which cognitive impairment relates to health outcomes in this population needs to be investigated.

摘要

背景

在墨西哥,关于认知障碍患病率的基于人群的证据有限。墨西哥是一个人口快速老龄化的国家,糖尿病和肥胖等关键风险因素很常见。本研究描述了墨西哥城成年人认知障碍的分布情况。

方法

这项基于人群的横断面研究纳入了来自墨西哥城前瞻性研究的参与者,该研究在1998 - 2004年招募了150,000名年龄≥35岁的成年人。在2015 - 2019年,对约10,000名幸存者进行了重新调查,调查内容包括与原始调查相同的信息以及额外评估,其中包括认知评估。主要分析包括在重新调查时年龄在50 - 89岁且有完整认知评估和协变量数据的人群。认知障碍由简易精神状态检查表(MMSE)得分≤24分定义。在有完整MMSE数据和一定程度自我报告正规教育的人群中,分析了MMSE得分以及按年龄、性别和主要疾病风险因素(糖尿病、高血压和肥胖)划分的认知障碍分布情况。

结果

在2015 - 2019年重新调查时有完整数据的9,288名50 - 89岁参与者中,8,197人报告至少接受过一些正规教育。在这些人中(平均年龄66岁;男性占31%),他们的平均MMSE得分为26.2(标准差3.6)分,1,941人(24%)有认知障碍,他们的平均体重指数(BMI)为28.6(标准差5.5)kg/m²,3,008人(37%)患有高血压,2,467人(30%)患有糖尿病。按性别和地区标准化的认知障碍患病率随年龄大幅上升,从50 - 59岁人群中的10%升至80 - 89岁人群中的55%。在任何给定年龄,女性的认知障碍患病率均高于男性。在考虑年龄、性别和地区的影响后,患有或未患有糖尿病、高血压、超重或肥胖(BMI≥25kg/m²)或高体脂水平的参与者之间,认知障碍患病率几乎没有差异。

结论

在墨西哥城这群50 - 89岁的成年人中,认知障碍患病率很高,尤其是在女性中。该人群中认知障碍与健康结果之间的关联程度有待研究。

https://cdn.ncbi.nlm.nih.gov/pmc/blobs/3049/11687187/5f91b6f6a39f/12889_2024_21093_Fig2_HTML.jpg
https://cdn.ncbi.nlm.nih.gov/pmc/blobs/3049/11687187/835cde782d18/12889_2024_21093_Fig1_HTML.jpg
https://cdn.ncbi.nlm.nih.gov/pmc/blobs/3049/11687187/5f91b6f6a39f/12889_2024_21093_Fig2_HTML.jpg
https://cdn.ncbi.nlm.nih.gov/pmc/blobs/3049/11687187/835cde782d18/12889_2024_21093_Fig1_HTML.jpg
https://cdn.ncbi.nlm.nih.gov/pmc/blobs/3049/11687187/5f91b6f6a39f/12889_2024_21093_Fig2_HTML.jpg

相似文献

1
Cognitive impairment at older ages among 8000 men and women living in Mexico City: a cross-sectional analyses of a prospective study.对居住在墨西哥城的8000名男性和女性老年人的认知障碍:一项前瞻性研究的横断面分析。
BMC Public Health. 2024 Dec 31;24(1):3620. doi: 10.1186/s12889-024-21093-5.
2
Factors Influencing Poststroke Cognitive Dysfunction: Cross-Sectional Analysis.影响脑卒中后认知功能障碍的因素:横断面分析。
JMIR Form Res. 2024 Nov 19;8:e59572. doi: 10.2196/59572.
3
The prevalence of chronic diseases and major disease risk factors at different ages among 150,000 men and women living in Mexico City: cross-sectional analyses of a prospective study.对居住在墨西哥城的15万名男性和女性不同年龄段慢性病及主要疾病风险因素的患病率:一项前瞻性研究的横断面分析
BMC Public Health. 2009 Jan 9;9:9. doi: 10.1186/1471-2458-9-9.
4
Association between adiposity levels and cognitive impairment in the Chilean older adult population.智利老年人群体中肥胖水平与认知障碍之间的关联。
J Nutr Sci. 2019 Oct 9;8:e33. doi: 10.1017/jns.2019.24. eCollection 2019.
5
The assessment of cognitive impairment suspected of dementia in Polish elderly people: results of the population-based PolSenior Study.波兰老年人疑似痴呆的认知障碍评估:基于人群的PolSenior研究结果
Exp Gerontol. 2014 Sep;57:233-42. doi: 10.1016/j.exger.2014.06.003. Epub 2014 Jun 14.
6
[Association between cumulative body mass index exposure and cognitive function among elderly people aged 60 years and older in China].[中国60岁及以上老年人累积体重指数暴露与认知功能之间的关联]
Zhonghua Yi Xue Za Zhi. 2024 Dec 10;104(46):4229-4239. doi: 10.3760/cma.j.cn112137-20240626-01423.
7
Associations between body composition and cognitive function in an elderly Korean population: A cohort-based cross-sectional study.在韩国老年人群体中,身体成分与认知功能之间的关联:一项基于队列的横断面研究。
Medicine (Baltimore). 2021 Mar 5;100(9):e25027. doi: 10.1097/MD.0000000000025027.
8
Relationship between obesity-related anthropometric indicators and cognitive function in Chinese suburb-dwelling older adults.中国城区老年人群肥胖相关人体测量指标与认知功能的关系。
PLoS One. 2021 Oct 27;16(10):e0258922. doi: 10.1371/journal.pone.0258922. eCollection 2021.
9
Vascular cognitive disorders and depression after first-ever stroke: the Fogarty-Mexico Stroke Cohort.首次卒中后的血管性认知障碍和抑郁:福格蒂-墨西哥卒中队列研究
Cerebrovasc Dis. 2014;38(4):284-9. doi: 10.1159/000366471. Epub 2014 Nov 20.
10
Folic acid supplementation and malaria susceptibility and severity among people taking antifolate antimalarial drugs in endemic areas.在流行地区,服用抗叶酸抗疟药物的人群中,叶酸补充剂与疟疾易感性和严重程度的关系。
Cochrane Database Syst Rev. 2022 Feb 1;2(2022):CD014217. doi: 10.1002/14651858.CD014217.

引用本文的文献

1
Role of Micronutrient Supplementation in Promoting Cognitive Healthy Aging in Latin America: Evidence-Based Consensus Statement.微量营养素补充在促进拉丁美洲认知健康老龄化中的作用:基于证据的共识声明。
Nutrients. 2025 Aug 2;17(15):2545. doi: 10.3390/nu17152545.

本文引用的文献

1
The rising burden of non-communicable diseases in the Americas and the impact of population aging: a secondary analysis of available data.美洲非传染性疾病负担的上升及人口老龄化的影响:现有数据的二次分析
Lancet Reg Health Am. 2023 Mar 31;21:100483. doi: 10.1016/j.lana.2023.100483. eCollection 2023 May.
2
Effects of diabetes and obesity on cognitive impairment and mortality in older mexicans.糖尿病和肥胖对老年墨西哥人认知障碍和死亡率的影响。
Arch Gerontol Geriatr. 2022 Mar-Apr;99:104581. doi: 10.1016/j.archger.2021.104581. Epub 2021 Nov 17.
3
Midlife Vascular Factors and Prevalence of Mild Cognitive Impairment in Late-Life in Mexico.
中年血管因素与墨西哥晚年轻度认知障碍的患病率。
J Int Neuropsychol Soc. 2022 Apr;28(4):351-361. doi: 10.1017/S1355617721000539. Epub 2021 Aug 11.
4
Effect of Demographic and Health Dynamics on Cognitive Status in Mexico between 2001 and 2015: Evidence from the Mexican Health and Aging Study.2001年至2015年墨西哥人口与健康动态对认知状况的影响:来自墨西哥健康与老龄化研究的证据
Geriatrics (Basel). 2021 Jun 25;6(3):63. doi: 10.3390/geriatrics6030063.
5
Which Occupation is Highly Associated with Cognitive Impairment? A Gender-Specific Longitudinal Study of Paid and Unpaid Occupations in South Korea.哪些职业与认知障碍高度相关?韩国有偿和无偿职业的性别特异性纵向研究。
Int J Environ Res Public Health. 2020 Oct 23;17(21):7749. doi: 10.3390/ijerph17217749.
6
Association of Blood Pressure With Cause-Specific Mortality in Mexican Adults.血压与墨西哥成年人特定病因死亡率的关联。
JAMA Netw Open. 2020 Sep 1;3(9):e2018141. doi: 10.1001/jamanetworkopen.2020.18141.
7
Dementia prevention, intervention, and care: 2020 report of the Lancet Commission.《痴呆症的预防、干预与照护:柳叶刀委员会2020年报告》
Lancet. 2020 Aug 8;396(10248):413-446. doi: 10.1016/S0140-6736(20)30367-6. Epub 2020 Jul 30.
8
Screening for Cognitive Impairment in Older Adults: Updated Evidence Report and Systematic Review for the US Preventive Services Task Force.老年人认知障碍筛查:美国预防服务工作组的更新证据报告和系统评价。
JAMA. 2020 Feb 25;323(8):764-785. doi: 10.1001/jama.2019.22258.
9
Gender inequality and gender-based poverty in Mexico.墨西哥的性别不平等与基于性别的贫困问题。
Heliyon. 2020 Jan 31;6(1):e03322. doi: 10.1016/j.heliyon.2020.e03322. eCollection 2020 Jan.
10
Body mass index and risk of dementia: Analysis of individual-level data from 1.3 million individuals.体重指数与痴呆风险:来自 130 万人的个体水平数据分析。
Alzheimers Dement. 2018 May;14(5):601-609. doi: 10.1016/j.jalz.2017.09.016. Epub 2017 Nov 21.