• 文献检索
  • 文档翻译
  • 深度研究
  • 学术资讯
  • Suppr Zotero 插件Zotero 插件
  • 邀请有礼
  • 套餐&价格
  • 历史记录
应用&插件
Suppr Zotero 插件Zotero 插件浏览器插件Mac 客户端Windows 客户端微信小程序
定价
高级版会员购买积分包购买API积分包
服务
文献检索文档翻译深度研究API 文档MCP 服务
关于我们
关于 Suppr公司介绍联系我们用户协议隐私条款
关注我们

Suppr 超能文献

核心技术专利:CN118964589B侵权必究
粤ICP备2023148730 号-1Suppr @ 2026

文献检索

告别复杂PubMed语法,用中文像聊天一样搜索,搜遍4000万医学文献。AI智能推荐,让科研检索更轻松。

立即免费搜索

文件翻译

保留排版,准确专业,支持PDF/Word/PPT等文件格式,支持 12+语言互译。

免费翻译文档

深度研究

AI帮你快速写综述,25分钟生成高质量综述,智能提取关键信息,辅助科研写作。

立即免费体验

种子水引发对缺水条件下萌发过程中胚芽和胚根伸长及酶活性变化的影响

Effect of Seed Hydropriming on the Elongation of Plumule and Radicle During the Germination Process and Changes in Enzyme Activity Under Water-Deficient Conditions.

作者信息

Choi Ju-Young, Ju Young-Hwan, Nakamichi Ayaka, Cho Seong-Woo, Woo Sun-Hee, Sakagami Jun-Ichi

机构信息

The United Graduate School of Agricultural Sciences, Kagoshima University, Kagoshima 890-0065, Japan.

Graduate School of Agriculture, Forestry and Fisheries, Kagoshima University, Kagoshima 890-0065, Japan.

出版信息

Plants (Basel). 2024 Dec 18;13(24):3537. doi: 10.3390/plants13243537.

DOI:10.3390/plants13243537
PMID:39771234
原文链接:https://pmc.ncbi.nlm.nih.gov/articles/PMC11679898/
Abstract

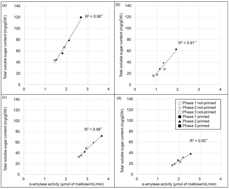
Hydropriming rice seeds effectively improve the germination percentage, shortens the germination period, and promotes seedling growth. The impact of seed hydropriming is to speed up growth under dry soil conditions, thereby avoiding drought damage. This study analyzes the effect of hydropriming on morpho-physiological changes in the water uptake of rice seeds using "Kasalath" and "Nipponbare" under water-deficit conditions. Upon exposure to osmotic stress, both varieties showed delays in the time to reach germination. In addition, all germination phases exhibited reductions in the activity of alpha-amylase and total soluble sugar by osmotic stress; however, in all germination phases of the hydroprimed seeds, the activity and contents of those were significantly increased, resulting in increased size of the coleoptile, plumule, and radicle. In hydroprimed seeds, "Kasalath" was superior to "Nipponbare" in the ratio of the water-deficit-to-well-watered conditions for all traits related to germination, which may have been attributable to hydropriming having a greater effect on "Kasalath". Interestingly, Primed "Kasalath" had a lower level of α-amylase, despite the having a higher content of total soluble sugars than primed "Nipponbare".

摘要

水引发水稻种子可有效提高发芽率,缩短发芽期,并促进幼苗生长。种子水引发的作用是在干旱土壤条件下加速生长,从而避免干旱损害。本研究分析了在水分亏缺条件下,水引发对 “Kasalath” 和 “日本晴” 水稻种子水分吸收的形态生理变化的影响。在渗透胁迫下,两个品种达到发芽的时间均出现延迟。此外,在渗透胁迫下,所有发芽阶段的α-淀粉酶活性和总可溶性糖含量均降低;然而,在水引发种子的所有发芽阶段,这些物质的活性和含量均显著增加,导致胚芽鞘、胚芽和胚根的尺寸增大。在水引发种子中,就与发芽相关的所有性状而言,“Kasalath” 在水分亏缺与充分浇水条件下的比率方面优于 “日本晴”,这可能归因于水引发对 “Kasalath” 的影响更大。有趣的是,引发的 “Kasalath” 的α-淀粉酶水平较低,尽管其总可溶性糖含量高于引发的 “日本晴”。

https://cdn.ncbi.nlm.nih.gov/pmc/blobs/a326/11679898/c7977b8813d6/plants-13-03537-g005.jpg
https://cdn.ncbi.nlm.nih.gov/pmc/blobs/a326/11679898/66100afa7e11/plants-13-03537-g001.jpg
https://cdn.ncbi.nlm.nih.gov/pmc/blobs/a326/11679898/11d38c0c2963/plants-13-03537-g002.jpg
https://cdn.ncbi.nlm.nih.gov/pmc/blobs/a326/11679898/7ddce3823d3d/plants-13-03537-g003.jpg
https://cdn.ncbi.nlm.nih.gov/pmc/blobs/a326/11679898/e0a828fed6b2/plants-13-03537-g004.jpg
https://cdn.ncbi.nlm.nih.gov/pmc/blobs/a326/11679898/c7977b8813d6/plants-13-03537-g005.jpg
https://cdn.ncbi.nlm.nih.gov/pmc/blobs/a326/11679898/66100afa7e11/plants-13-03537-g001.jpg
https://cdn.ncbi.nlm.nih.gov/pmc/blobs/a326/11679898/11d38c0c2963/plants-13-03537-g002.jpg
https://cdn.ncbi.nlm.nih.gov/pmc/blobs/a326/11679898/7ddce3823d3d/plants-13-03537-g003.jpg
https://cdn.ncbi.nlm.nih.gov/pmc/blobs/a326/11679898/e0a828fed6b2/plants-13-03537-g004.jpg
https://cdn.ncbi.nlm.nih.gov/pmc/blobs/a326/11679898/c7977b8813d6/plants-13-03537-g005.jpg

相似文献

1
Effect of Seed Hydropriming on the Elongation of Plumule and Radicle During the Germination Process and Changes in Enzyme Activity Under Water-Deficient Conditions.种子水引发对缺水条件下萌发过程中胚芽和胚根伸长及酶活性变化的影响
Plants (Basel). 2024 Dec 18;13(24):3537. doi: 10.3390/plants13243537.
2
Morpho-physiological profiling of rice (Oryza sativa) genotypes at germination stage with contrasting tolerance to salinity stress.盐胁迫耐性不同的水稻(Oryza sativa)基因型在萌发阶段的形态-生理特征分析。
J Plant Res. 2023 Nov;136(6):907-930. doi: 10.1007/s10265-023-01491-3. Epub 2023 Sep 13.
3
Priming methods affected deterioration speed of primed rice seeds by regulating reactive oxygen species accumulation, seed respiration and starch degradation.引发方法通过调节活性氧积累、种子呼吸作用和淀粉降解来影响引发水稻种子的劣变速度。
Front Plant Sci. 2023 Oct 4;14:1267103. doi: 10.3389/fpls.2023.1267103. eCollection 2023.
4
Nanopriming with phytosynthesized zinc oxide nanoparticles for promoting germination and starch metabolism in rice seeds.纳米引发用植物合成的氧化锌纳米粒子促进水稻种子的萌发和淀粉代谢。
J Biotechnol. 2021 Aug 10;336:64-75. doi: 10.1016/j.jbiotec.2021.06.014. Epub 2021 Jun 8.
5
Seed priming improves chilling tolerance in chickpea by modulating germination metabolism, trehalose accumulation and carbon assimilation.种子引发通过调节发芽代谢、海藻糖积累和碳同化作用提高鹰嘴豆的耐冷性。
Plant Physiol Biochem. 2017 Feb;111:274-283. doi: 10.1016/j.plaphy.2016.12.012. Epub 2016 Dec 9.
6
Hydropriming and Biopriming Improve Seed Germination and Upregulate DNA Repair and Antioxidant Genes.水引发和生物引发可提高种子发芽率,并上调 DNA 修复和抗氧化基因。
Genes (Basel). 2020 Feb 25;11(3):242. doi: 10.3390/genes11030242.
7
Seed osmopriming with polyethylene glycol (PEG) enhances seed germination and seedling physiological traits of Coronilla varia L. under water stress.聚乙二醇(PEG)对滨藜种子进行渗调处理可以增强种子的萌发能力,并改善其在水分胁迫下的幼苗生理特性。
PLoS One. 2024 May 10;19(5):e0303145. doi: 10.1371/journal.pone.0303145. eCollection 2024.
8
Mechanisms associated with tolerance to flooding during germination and early seedling growth in rice (Oryza sativa).水稻(Oryza sativa)种子萌发和幼苗早期生长过程中与耐淹性相关的机制。
Ann Bot. 2009 Jan;103(2):197-209. doi: 10.1093/aob/mcn211. Epub 2008 Nov 10.
9
Optimization of 'on farm' hydropriming conditions in wheat: Soaking time and water volume have interactive effects on seed performance.优化小麦‘田间’浸种条件:浸泡时间和用水量对种子性能有交互作用。
PLoS One. 2023 Jan 31;18(1):e0280962. doi: 10.1371/journal.pone.0280962. eCollection 2023.
10
Effects of seed priming on germination and seedling growth of desiccation-sensitive seeds from Mexican tropical rainforest.种子引发对墨西哥热带雨林中脱水敏感种子的萌发和幼苗生长的影响。
J Plant Res. 2020 Nov;133(6):855-872. doi: 10.1007/s10265-020-01220-0. Epub 2020 Aug 14.

本文引用的文献

1
Uncovering novel genes for drought stress in rice at germination stage using genome wide association study.利用全基因组关联研究揭示水稻萌发期干旱胁迫的新基因。
Front Plant Sci. 2024 Aug 1;15:1421267. doi: 10.3389/fpls.2024.1421267. eCollection 2024.
2
Halopriming in the submergence-tolerant rice variety improved the resilience to salinity and combined salinity-submergence at the seedling stage.耐淹没水稻品种的淹水预培养提高了幼苗期耐盐性和盐胁迫与淹水胁迫的综合抗性。
Plant Physiol Biochem. 2024 Mar;208:108494. doi: 10.1016/j.plaphy.2024.108494. Epub 2024 Mar 7.
3
A detailed study on genetic diversity, antioxidant machinery, and expression profile of drought-responsive genes in rice genotypes exposed to artificial osmotic stress.
对暴露于人工渗透胁迫的水稻基因型的遗传多样性、抗氧化机制和干旱响应基因表达谱进行详细研究。
Sci Rep. 2023 Oct 26;13(1):18388. doi: 10.1038/s41598-023-45661-8.
4
Priming methods affected deterioration speed of primed rice seeds by regulating reactive oxygen species accumulation, seed respiration and starch degradation.引发方法通过调节活性氧积累、种子呼吸作用和淀粉降解来影响引发水稻种子的劣变速度。
Front Plant Sci. 2023 Oct 4;14:1267103. doi: 10.3389/fpls.2023.1267103. eCollection 2023.
5
Integrated drought vulnerability and risk assessment for future scenarios: An indicator based analysis.未来情景下的综合干旱脆弱性与风险评估:基于指标的分析
Sci Total Environ. 2023 Nov 20;900:165591. doi: 10.1016/j.scitotenv.2023.165591. Epub 2023 Jul 19.
6
Stress memory and its regulation in plants experiencing recurrent drought conditions.植物在反复遭遇干旱条件下的应激记忆及其调控。
Theor Appl Genet. 2023 Feb 15;136(2):26. doi: 10.1007/s00122-023-04313-1.
7
Enhancement in Seed Priming-Induced Starch Degradation of Rice Seed Under Chilling Stress via GA-Mediated α-Amylase Expression.通过赤霉素介导的α-淀粉酶表达增强低温胁迫下水稻种子引发诱导的淀粉降解
Rice (N Y). 2022 Mar 27;15(1):19. doi: 10.1186/s12284-022-00567-3.
8
Analysis of gene expression in early seed germination of rice: landscape and genetic regulation.水稻早期种子萌发过程中的基因表达分析:全景与遗传调控。
BMC Plant Biol. 2022 Feb 17;22(1):70. doi: 10.1186/s12870-022-03458-3.
9
Drought Stress Impacts on Plants and Different Approaches to Alleviate Its Adverse Effects.干旱胁迫对植物的影响及减轻其不利影响的不同方法。
Plants (Basel). 2021 Jan 28;10(2):259. doi: 10.3390/plants10020259.
10
Seed Priming: A Feasible Strategy to Enhance Drought Tolerance in Crop Plants.种子引发:提高作物耐旱性的可行策略。
Int J Mol Sci. 2020 Nov 4;21(21):8258. doi: 10.3390/ijms21218258.