• 文献检索
  • 文档翻译
  • 深度研究
  • 学术资讯
  • Suppr Zotero 插件Zotero 插件
  • 邀请有礼
  • 套餐&价格
  • 历史记录
应用&插件
Suppr Zotero 插件Zotero 插件浏览器插件Mac 客户端Windows 客户端微信小程序
定价
高级版会员购买积分包购买API积分包
服务
文献检索文档翻译深度研究API 文档MCP 服务
关于我们
关于 Suppr公司介绍联系我们用户协议隐私条款
关注我们

Suppr 超能文献

核心技术专利:CN118964589B侵权必究
粤ICP备2023148730 号-1Suppr @ 2026

文献检索

告别复杂PubMed语法,用中文像聊天一样搜索,搜遍4000万医学文献。AI智能推荐,让科研检索更轻松。

立即免费搜索

文件翻译

保留排版,准确专业,支持PDF/Word/PPT等文件格式,支持 12+语言互译。

免费翻译文档

深度研究

AI帮你快速写综述,25分钟生成高质量综述,智能提取关键信息,辅助科研写作。

立即免费体验

与防御相关的酶活性和代谢组学分析揭示了水稻纹枯病抗性中差异积累的代谢物和响应途径。

Defense-Related Enzyme Activities and Metabolomic Analysis Reveal Differentially Accumulated Metabolites and Response Pathways for Sheath Blight Resistance in Rice.

作者信息

Yang Xiurong, Yan Shuangyong, Li Yuejiao, Li Guangsheng, Zhao Yujiao, Sun Shuqin, Su Jingping, Cui Zhongqiu, Huo Jianfei, Sun Yue, Yi Heng, Li Zhibin, Wang Shengjun

机构信息

Institute of Plant Protection, Tianjin Academy of Agricultural Sciences, Tianjin 300381, China.

Tianjin Key Laboratory of Crop Genetics and Breeding, Institute of Crop Research, Tianjin Academy of Agricultural Sciences, Tianjin 300381, China.

出版信息

Plants (Basel). 2024 Dec 19;13(24):3554. doi: 10.3390/plants13243554.

DOI:10.3390/plants13243554
PMID:39771252
原文链接:https://pmc.ncbi.nlm.nih.gov/articles/PMC11677778/
Abstract

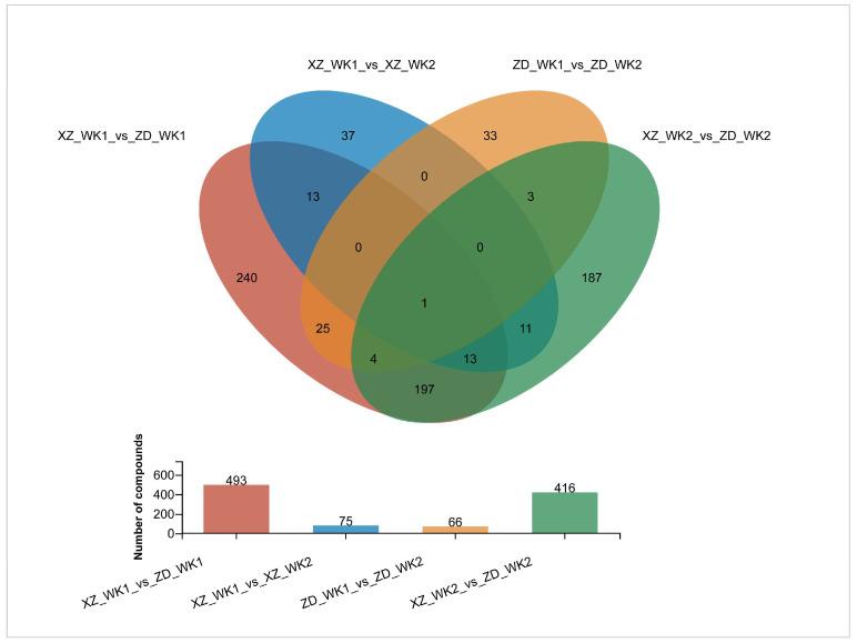
Rice sheath blight (RSB), caused by the pathogenic fungus , poses a significant threat to global food security. The defense mechanisms employed by rice against RSB are not well understood. In our study, we analyzed the interactions between rice and by comparing the phenotypic changes, ROS content, and metabolite variations in both tolerant and susceptible rice varieties during the early stages of fungal infection. Notably, there were distinct phenotypic differences in the response to between the tolerant cultivar Zhengdao22 (ZD) and the susceptible cultivar Xinzhi No.1 (XZ). We observed that the activities of five defense-related enzymes in both tolerant and susceptible cultivars changed dynamically from 0 to 72 h post-infection with . In particular, the activities of superoxide dismutase and peroxidase were closely associated with resistance to RSB. Metabolomic analysis revealed 825 differentially accumulated metabolites (DAMs) between the tolerant and susceptible varieties, with 493 DAMs responding to infection. Among these, lipids and lipid-like molecules, organic oxygen compounds, phenylpropanoids and polyketides, organoheterocyclic compounds, and organic acids and their derivatives were the most significantly enriched. One DAM, P-coumaraldehyde, which responded to infection, was found to effectively inhibit the growth of , , and . Additionally, multiple metabolic pathways, including amino acid metabolism, carbohydrate metabolism, metabolism of cofactors and vitamins, and metabolism of terpenoids and polyketides, are likely involved in RSB resistance. Our research provides valuable insights into the molecular mechanisms underlying the interaction between rice and .

摘要

由致病真菌引起的水稻纹枯病对全球粮食安全构成重大威胁。水稻针对纹枯病所采用的防御机制尚未得到充分了解。在我们的研究中,通过比较抗病和感病水稻品种在真菌感染早期的表型变化、活性氧含量和代谢物变化,分析了水稻与(致病真菌)之间的相互作用。值得注意的是,抗病品种正道22(ZD)和感病品种新质1号(XZ)在对(致病真菌)的反应上存在明显的表型差异。我们观察到,抗病和感病品种中五种防御相关酶的活性在感染(致病真菌)后0至72小时内动态变化。特别是,超氧化物歧化酶和过氧化物酶的活性与对纹枯病的抗性密切相关。代谢组学分析揭示了抗病和感病品种之间有825种差异积累代谢物(DAMs),其中493种DAMs对(致病真菌)感染有反应。其中,脂质和类脂质分子、有机氧化合物、苯丙烷类和聚酮类、有机杂环化合物以及有机酸及其衍生物的富集最为显著。一种对(致病真菌)感染有反应的DAM,对香豆醛,被发现能有效抑制(致病真菌)、(其他两种病菌,原文未提及具体名称)和(另一种未提及名称的病菌)的生长。此外,包括氨基酸代谢、碳水化合物代谢、辅因子和维生素代谢以及萜类和聚酮类代谢在内的多种代谢途径可能参与了对纹枯病的抗性。我们的研究为水稻与(致病真菌)之间相互作用的分子机制提供了有价值的见解。

https://cdn.ncbi.nlm.nih.gov/pmc/blobs/d7cc/11677778/5fff5e38ee6d/plants-13-03554-g010.jpg
https://cdn.ncbi.nlm.nih.gov/pmc/blobs/d7cc/11677778/7ae9ad615cc9/plants-13-03554-g001.jpg
https://cdn.ncbi.nlm.nih.gov/pmc/blobs/d7cc/11677778/76385047fdc0/plants-13-03554-g002.jpg
https://cdn.ncbi.nlm.nih.gov/pmc/blobs/d7cc/11677778/9b0cf02ad572/plants-13-03554-g003.jpg
https://cdn.ncbi.nlm.nih.gov/pmc/blobs/d7cc/11677778/f530f57a6460/plants-13-03554-g004.jpg
https://cdn.ncbi.nlm.nih.gov/pmc/blobs/d7cc/11677778/9ee178cfa3ad/plants-13-03554-g005.jpg
https://cdn.ncbi.nlm.nih.gov/pmc/blobs/d7cc/11677778/f0edf24e5abc/plants-13-03554-g006.jpg
https://cdn.ncbi.nlm.nih.gov/pmc/blobs/d7cc/11677778/9b69c063843a/plants-13-03554-g007.jpg
https://cdn.ncbi.nlm.nih.gov/pmc/blobs/d7cc/11677778/ebc7c0ff557d/plants-13-03554-g008.jpg
https://cdn.ncbi.nlm.nih.gov/pmc/blobs/d7cc/11677778/b4dac8930d98/plants-13-03554-g009.jpg
https://cdn.ncbi.nlm.nih.gov/pmc/blobs/d7cc/11677778/5fff5e38ee6d/plants-13-03554-g010.jpg
https://cdn.ncbi.nlm.nih.gov/pmc/blobs/d7cc/11677778/7ae9ad615cc9/plants-13-03554-g001.jpg
https://cdn.ncbi.nlm.nih.gov/pmc/blobs/d7cc/11677778/76385047fdc0/plants-13-03554-g002.jpg
https://cdn.ncbi.nlm.nih.gov/pmc/blobs/d7cc/11677778/9b0cf02ad572/plants-13-03554-g003.jpg
https://cdn.ncbi.nlm.nih.gov/pmc/blobs/d7cc/11677778/f530f57a6460/plants-13-03554-g004.jpg
https://cdn.ncbi.nlm.nih.gov/pmc/blobs/d7cc/11677778/9ee178cfa3ad/plants-13-03554-g005.jpg
https://cdn.ncbi.nlm.nih.gov/pmc/blobs/d7cc/11677778/f0edf24e5abc/plants-13-03554-g006.jpg
https://cdn.ncbi.nlm.nih.gov/pmc/blobs/d7cc/11677778/9b69c063843a/plants-13-03554-g007.jpg
https://cdn.ncbi.nlm.nih.gov/pmc/blobs/d7cc/11677778/ebc7c0ff557d/plants-13-03554-g008.jpg
https://cdn.ncbi.nlm.nih.gov/pmc/blobs/d7cc/11677778/b4dac8930d98/plants-13-03554-g009.jpg
https://cdn.ncbi.nlm.nih.gov/pmc/blobs/d7cc/11677778/5fff5e38ee6d/plants-13-03554-g010.jpg

相似文献

1
Defense-Related Enzyme Activities and Metabolomic Analysis Reveal Differentially Accumulated Metabolites and Response Pathways for Sheath Blight Resistance in Rice.与防御相关的酶活性和代谢组学分析揭示了水稻纹枯病抗性中差异积累的代谢物和响应途径。
Plants (Basel). 2024 Dec 19;13(24):3554. doi: 10.3390/plants13243554.
2
Gene expression analysis of resistant and susceptible rice cultivars to sheath blight after inoculation with Rhizoctonia solani.接种立枯丝核菌后抗纹枯病和感纹枯病水稻品种的基因表达分析
BMC Genomics. 2022 Apr 7;23(1):278. doi: 10.1186/s12864-022-08524-6.
3
Rice-Magnaporthe oryzae interactions in resistant and susceptible rice cultivars under panicle blast infection based on defense-related enzyme activities and metabolomics.基于防御相关酶活性和代谢组学的抗穗瘟和感病水稻品种中稻瘟病菌与水稻互作。
PLoS One. 2024 Mar 7;19(3):e0299999. doi: 10.1371/journal.pone.0299999. eCollection 2024.
4
Comparison of Transcriptome between Tolerant and Susceptible Rice Cultivar Reveals Positive and Negative Regulators of Response to in Rice.耐受和易感水稻品种间转录组比较揭示了水稻对 响应的正、负调控因子。
Int J Mol Sci. 2023 Sep 20;24(18):14310. doi: 10.3390/ijms241814310.
5
Metabolomic analysis of sheath blight disease of rice (Oryza sativa L.) induced by Rhizoctonia solani phytotoxin.立枯丝核菌植物毒素诱导的水稻纹枯病的代谢组学分析
J Appl Microbiol. 2022 Nov;133(5):3215-3227. doi: 10.1111/jam.15776. Epub 2022 Aug 23.
6
Strategies to Manage Rice Sheath Blight: Lessons from Interactions between Rice and Rhizoctonia solani.防治水稻纹枯病的策略:水稻与立枯丝核菌相互作用的启示
Rice (N Y). 2021 Feb 25;14(1):21. doi: 10.1186/s12284-021-00466-z.
7
Revisiting the emerging pathosystem of rice sheath blight: deciphering the virulence, host range, and rice genotype-based resistance.重新审视水稻纹枯病新出现的病理系统:解读其毒力、寄主范围及基于水稻基因型的抗性
Front Plant Sci. 2024 Dec 19;15:1499785. doi: 10.3389/fpls.2024.1499785. eCollection 2024.
8
Induced resistance to rice sheath blight (Rhizoctonia solani Kühn) by β-amino-butyric acid conjugate of phenazine-1-carboxylic acid.苯甲酰基胍乙酸-β-氨基丁酸轭合物诱导水稻纹枯病抗性。
Pestic Biochem Physiol. 2023 Aug;194:105502. doi: 10.1016/j.pestbp.2023.105502. Epub 2023 Jun 16.
9
Salicylic acid-dependent immunity contributes to resistance against Rhizoctonia solani, a necrotrophic fungal agent of sheath blight, in rice and Brachypodium distachyon.水杨酸依赖的免疫有助于水稻和短柄草抵抗丝核菌,丝核菌是一种引起叶鞘枯病的坏死性真菌病原体。
New Phytol. 2018 Jan;217(2):771-783. doi: 10.1111/nph.14849. Epub 2017 Oct 19.
10
Pectin induced transcriptome of a Rhizoctonia solani strain causing sheath blight disease in rice reveals insights on key genes and RNAi machinery for development of pathogen derived resistance.果胶诱导引起水稻纹枯病的立枯丝核菌菌株的转录组研究揭示了关键基因和 RNAi 机制,为病原菌衍生抗性的发展提供了思路。
Plant Mol Biol. 2019 May;100(1-2):59-71. doi: 10.1007/s11103-019-00843-9. Epub 2019 Feb 22.

引用本文的文献

1
Metabolome integrated with transcriptome, and genome analysis revealed higher accumulations of phytoalexins enhance resistance against Magnaporthe oryzae in new Zhefang rice variety diantun 506.代谢组与转录组和基因组分析相结合表明,新的浙粳稻品种滇屯506中植保素的更高积累增强了对稻瘟病菌的抗性。
BMC Plant Biol. 2025 Jul 2;25(1):836. doi: 10.1186/s12870-025-06856-5.

本文引用的文献

1
The link between changing in host carbon allocation and resistance to : a possible tactic for mitigating the rice blast fungus.寄主碳分配变化与对稻瘟病菌抗性之间的联系:一种减轻稻瘟病菌危害的可能策略
Plant Signal Behav. 2024 Dec 31;19(1):2326870. doi: 10.1080/15592324.2024.2326870. Epub 2024 Mar 11.
2
Rice-Magnaporthe oryzae interactions in resistant and susceptible rice cultivars under panicle blast infection based on defense-related enzyme activities and metabolomics.基于防御相关酶活性和代谢组学的抗穗瘟和感病水稻品种中稻瘟病菌与水稻互作。
PLoS One. 2024 Mar 7;19(3):e0299999. doi: 10.1371/journal.pone.0299999. eCollection 2024.
3
Extractives from with Anti-Bacterial and Anti-Fungal Properties.
具有抗菌和抗真菌特性的提取物。 不过你提供的原文“Extractives from with Anti-Bacterial and Anti-Fungal Properties.”似乎不完整,“from”后面缺少具体内容。
Plants (Basel). 2023 Sep 25;12(19):3369. doi: 10.3390/plants12193369.
4
Comparison of Transcriptome between Tolerant and Susceptible Rice Cultivar Reveals Positive and Negative Regulators of Response to in Rice.耐受和易感水稻品种间转录组比较揭示了水稻对 响应的正、负调控因子。
Int J Mol Sci. 2023 Sep 20;24(18):14310. doi: 10.3390/ijms241814310.
5
Comparative metabolomic profiling reveals molecular mechanisms underlying growth promotion and disease resistance in wheat conferred by in the field.田间施用 促进小麦生长和增强抗病性的比较代谢组学分析揭示其作用机制。
Plant Signal Behav. 2023 Dec 31;18(1):2213934. doi: 10.1080/15592324.2023.2213934.
6
Progress in rice sheath blight resistance research.水稻抗纹枯病研究进展
Front Plant Sci. 2023 Mar 24;14:1141697. doi: 10.3389/fpls.2023.1141697. eCollection 2023.
7
Functional Role of Long-Chain Acyl-CoA Synthetases in Plant Development and Stress Responses.长链脂酰辅酶A合成酶在植物发育和胁迫响应中的功能作用
Front Plant Sci. 2021 Mar 22;12:640996. doi: 10.3389/fpls.2021.640996. eCollection 2021.
8
Strategies to Manage Rice Sheath Blight: Lessons from Interactions between Rice and Rhizoctonia solani.防治水稻纹枯病的策略:水稻与立枯丝核菌相互作用的启示
Rice (N Y). 2021 Feb 25;14(1):21. doi: 10.1186/s12284-021-00466-z.
9
Identification of rice (Oryza sativa L.) genes involved in sheath blight resistance via a genome-wide association study.通过全基因组关联研究鉴定与稻叶鞘枯病抗性相关的水稻(Oryza sativa L.)基因。
Plant Biotechnol J. 2021 Aug;19(8):1553-1566. doi: 10.1111/pbi.13569. Epub 2021 Mar 18.
10
The copper economy response is partially conserved in rice (Oryza sativa L.).铜经济响应在水稻(Oryza sativa L.)中部分得到保守。
Plant Physiol Biochem. 2021 Jan;158:113-124. doi: 10.1016/j.plaphy.2020.11.051. Epub 2020 Nov 30.