Suppr超能文献

由聚丙烯酸接枝聚(叔丁氧羰基-L-赖氨酸)增强的海藻酸盐异质接枝共聚物热致水凝胶:对水凝胶热响应性的影响

Alginate Heterografted Copolymer Thermo-Induced Hydrogel Reinforced by PAA-g-P(boc-L-Lysine): Effects on Hydrogel Thermoresponsiveness.

作者信息

Moschidi Aikaterini-Ariadni, Tsitsilianis Constantinos

机构信息

Department of Chemical Engineering, University of Patras, 26500 Patras, Greece.

出版信息

Polymers (Basel). 2024 Dec 20;16(24):3555. doi: 10.3390/polym16243555.

Abstract

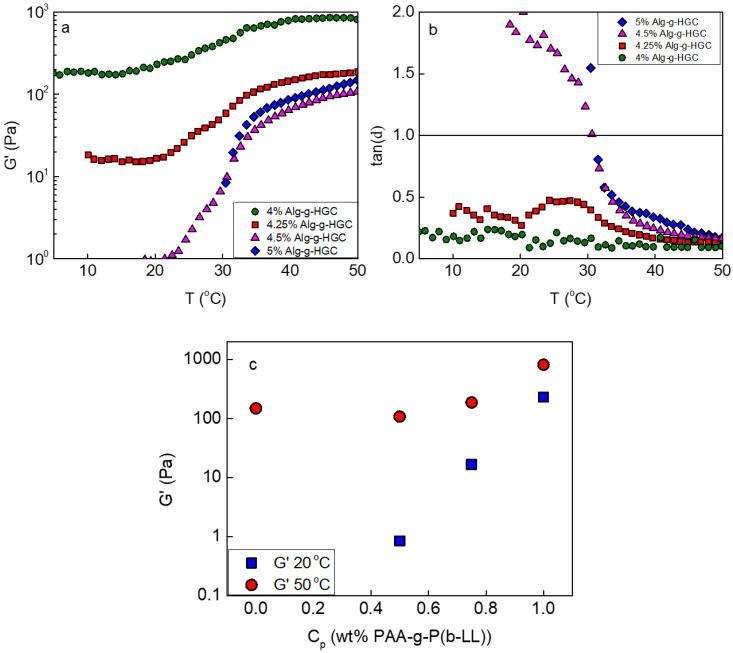
In this article, we report on the alginate heterografted by Poly(N-isopropyl acrylamide-co-N-tert-butyl acrylamide) and Poly(N-isopropyl acrylamide) (ALG-g-P(NIPAM86-co-NtBAM14)-g-PNIPAM) copolymer thermoresponsive hydrogel, reinforced by substituting part of the 5 wt% aqueous formulation by small amounts of Poly(acrylic acid)-g-P(boc-L-Lysine) (PAA-g-P(b-LL)) graft copolymer (up to 1 wt%). The resulting complex hydrogels were explored by oscillatory and steady-state shear rheology. The thermoresponsive profile of the formulations were affected remarkably by increasing the PAA-g-P(b-LL) component of the polymer blend. Especially, the sol-gel behavior altered to soft gel-strong gel behavior due to the formation of a semi-interpenetrating network based on the hydrophobic self-organization of the PAA-g-P(b-LL). In addition, the critical characteristics, namely T (temperature above which the viscosity increases steeply) and ΔT (transition temperature window), shifted and broadened to lower temperatures, respectively, due to the influence of the hydrophobic side chains P(b-LL) on the LCST of the PNIPAM-based grafted chains of the alginate. The effect of ionic strength was also examined, showing that this is another important factor affecting the thermoresponsiveness of the hydrogel. Again, the thermoresponsive profile of the hydrogel was changed significantly by the presence of salt. All the formulations showed self-healing capability and tolerance injectability, suitable for potential bioapplications in living bodies.

摘要

在本文中,我们报道了由聚(N-异丙基丙烯酰胺-co-N-叔丁基丙烯酰胺)和聚(N-异丙基丙烯酰胺)(ALG-g-P(NIPAM86-co-NtBAM14)-g-PNIPAM)共聚物热响应水凝胶接枝的藻酸盐,通过用少量聚(丙烯酸)-g-聚(boc-L-赖氨酸)(PAA-g-P(b-LL))接枝共聚物(最高1 wt%)替代5 wt%的水性配方的一部分来增强。通过振荡和稳态剪切流变学对所得复合水凝胶进行了研究。聚合物共混物中PAA-g-P(b-LL)组分的增加显著影响了配方的热响应特性。特别是,由于基于PAA-g-P(b-LL)的疏水自组装形成了半互穿网络,溶胶-凝胶行为转变为软凝胶-强凝胶行为。此外,由于疏水侧链P(b-LL)对藻酸盐基接枝链的PNIPAM的最低临界溶液温度的影响,临界特性,即T(粘度急剧增加的温度)和ΔT(转变温度窗口)分别向较低温度移动并变宽。还研究了离子强度的影响,结果表明这是影响水凝胶热响应性的另一个重要因素。同样,盐的存在显著改变了水凝胶的热响应特性。所有配方均表现出自愈能力和可注射耐受性,适用于活体中的潜在生物应用。

https://cdn.ncbi.nlm.nih.gov/pmc/blobs/e34f/11679975/ae4130a4bc99/polymers-16-03555-sch001.jpg

文献检索

告别复杂PubMed语法,用中文像聊天一样搜索,搜遍4000万医学文献。AI智能推荐,让科研检索更轻松。

立即免费搜索

文件翻译

保留排版,准确专业,支持PDF/Word/PPT等文件格式,支持 12+语言互译。

免费翻译文档

深度研究

AI帮你快速写综述,25分钟生成高质量综述,智能提取关键信息,辅助科研写作。

立即免费体验