Iliopoulou Amalia, Iatridi Zacharoula, Tsitsilianis Constantinos
Department of Chemical Engineering, University of Patras, 26500 Patras, Greece.
Polymers (Basel). 2024 Mar 24;16(7):886. doi: 10.3390/polym16070886.
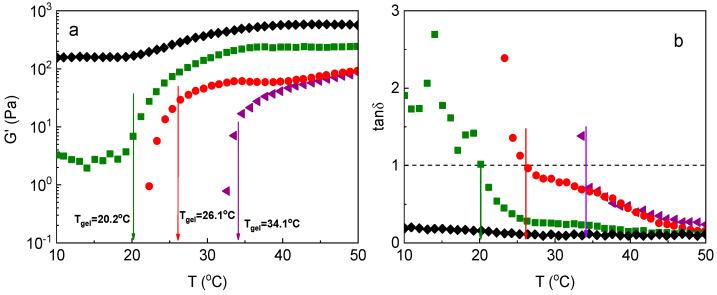
A heterograft copolymer with an alginate backbone, hetero-grafted by polymer pendant chains displaying different lower critical solution temperatures (LCSTs), combined with a pH-responsive poly(2-vinyl pyridine)--poly(ethylene oxide) (P2VP--PEO) diblock copolymer forming micellar nanoparticles, was investigated in aqueous media at various pHs. Due to its thermo-responsive side chains, the copolymer forms hydrogels with a thermo-induced sol-gel transition, above a critical temperature, T (thermo-thickening). However, by lowering the pH of the medium in an acidic regime, a remarkable increase in the elasticity of the formulation was observed. This effect was more pronounced in low temperatures (below T), suggesting secondary physical crosslinking, which induces significant changes in the hydrogel thermo-responsiveness, transforming the sol-gel transition to soft gel-strong gel. Moreover, the onset of thermo-thickening shifted to lower temperatures followed by the broadening of the transition zone, implying intermolecular interactions between the uncharged alginate backbone with the PNIPAM side chains, likely through H-bonding. The shear-thinning behavior of the soft gel in low temperatures provides injectability, which allows potential applications for 3D printing. Furthermore, the heterograft copolymer/nanoparticles composite hydrogel, encapsulating a model hydrophobic drug in the hydrophobic cores of the nanoparticles, was evaluated as a pH-responsive drug delivery system. The presented tunable drug delivery system might be useful for biomedical potential applications.
一种具有藻酸盐主链的异种接枝共聚物,通过显示不同低临界溶液温度(LCST)的聚合物侧链进行异种接枝,并与形成胶束纳米颗粒的pH响应性聚(2-乙烯基吡啶)-聚(环氧乙烷)(P2VP-PEO)二嵌段共聚物相结合,在不同pH值的水性介质中进行了研究。由于其热响应性侧链,该共聚物在高于临界温度T(热增稠)时形成具有热诱导溶胶-凝胶转变的水凝胶。然而,通过在酸性范围内降低介质的pH值,观察到制剂弹性有显著增加。这种效应在低温(低于T)下更为明显,表明存在二次物理交联,这会引起水凝胶热响应性的显著变化,将溶胶-凝胶转变转变为软凝胶-强凝胶。此外,热增稠的起始温度移至较低温度,随后转变区变宽,这意味着不带电的藻酸盐主链与PNIPAM侧链之间可能通过氢键发生分子间相互作用。软凝胶在低温下的剪切变稀行为提供了可注射性,这使得其在3D打印中有潜在应用。此外,将包裹模型疏水药物于纳米颗粒疏水核中的异种接枝共聚物/纳米颗粒复合水凝胶评估为pH响应性药物递送系统。所提出的可调谐药物递送系统可能对生物医学潜在应用有用。