Suppr超能文献

基于相干检测的偏振无关远程分布式声学传感实时测量云计算系统的设计与评估

Design and Evaluation of a Cloud Computing System for Real-Time Measurements in Polarization-Independent Long-Range DAS Based on Coherent Detection.

作者信息

Nur Abdusomad, Demise Almaz, Muanenda Yonas

机构信息

Addis Ababa Institute of Technology, Addis Ababa University, King George VI St, Addis Ababa 1000, Ethiopia.

Institute of Mechanical Intelligence, Scuola Superiore Sant'Anna, Via G. Moruzzi 1, 56124 Pisa, Italy.

出版信息

Sensors (Basel). 2024 Dec 22;24(24):8194. doi: 10.3390/s24248194.

Abstract

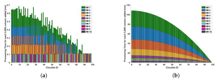
CloudSim is a versatile simulation framework for modeling cloud infrastructure components that supports customizable and extensible application provisioning strategies, allowing for the simulation of cloud services. On the other hand, Distributed Acoustic Sensing (DAS) is a ubiquitous technique used for measuring vibrations over an extended region. Data handling in DAS remains an open issue, as many applications need continuous monitoring of a volume of samples whose storage and processing in real time require high-capacity memory and computing resources. We employ the CloudSim tool to design and evaluate a cloud computing scheme for long-range, polarization-independent DAS using coherent detection of Rayleigh backscattering signals and uncover valuable insights on the evolution of the processing times for a diverse range of Virtual Machine (VM) capacities as well as sizes of blocks of processed data. Our analysis demonstrates that the choice of VM significantly impacts computational times in real-time measurements in long-range DAS and that achieving polarization independence introduces minimal processing overheads in the system. Additionally, the increase in the block size of processed samples per cycle results in diminishing increments in overall processing times per batch of new samples added, demonstrating the scalability of cloud computing schemes in long-range DAS and its capability to manage larger datasets efficiently.

摘要

CloudSim是一个通用的模拟框架,用于对云基础设施组件进行建模,支持可定制和可扩展的应用程序供应策略,从而能够模拟云服务。另一方面,分布式声学传感(DAS)是一种广泛应用于在扩展区域测量振动的技术。DAS中的数据处理仍然是一个悬而未决的问题,因为许多应用需要对大量样本进行连续监测,而实时存储和处理这些样本需要高容量内存和计算资源。我们使用CloudSim工具来设计和评估一种用于远程、偏振无关DAS的云计算方案,该方案利用瑞利背向散射信号的相干检测,并揭示了关于各种虚拟机(VM)容量以及处理数据块大小的处理时间演变的宝贵见解。我们的分析表明,VM的选择对远程DAS实时测量中的计算时间有显著影响,并且实现偏振无关在系统中引入的处理开销最小。此外,每个周期处理样本块大小的增加导致每批新添加样本的总体处理时间增量逐渐减少,这表明云计算方案在远程DAS中的可扩展性及其有效管理更大数据集的能力。

https://cdn.ncbi.nlm.nih.gov/pmc/blobs/b254/11679394/8ab66d1f231b/sensors-24-08194-g001.jpg

文献检索

告别复杂PubMed语法,用中文像聊天一样搜索,搜遍4000万医学文献。AI智能推荐,让科研检索更轻松。

立即免费搜索

文件翻译

保留排版,准确专业,支持PDF/Word/PPT等文件格式,支持 12+语言互译。

免费翻译文档

深度研究

AI帮你快速写综述,25分钟生成高质量综述,智能提取关键信息,辅助科研写作。

立即免费体验