• 文献检索
  • 文档翻译
  • 深度研究
  • 学术资讯
  • Suppr Zotero 插件Zotero 插件
  • 邀请有礼
  • 套餐&价格
  • 历史记录
应用&插件
Suppr Zotero 插件Zotero 插件浏览器插件Mac 客户端Windows 客户端微信小程序
定价
高级版会员购买积分包购买API积分包
服务
文献检索文档翻译深度研究API 文档MCP 服务
关于我们
关于 Suppr公司介绍联系我们用户协议隐私条款
关注我们

Suppr 超能文献

核心技术专利:CN118964589B侵权必究
粤ICP备2023148730 号-1Suppr @ 2026

文献检索

告别复杂PubMed语法,用中文像聊天一样搜索,搜遍4000万医学文献。AI智能推荐,让科研检索更轻松。

立即免费搜索

文件翻译

保留排版,准确专业,支持PDF/Word/PPT等文件格式,支持 12+语言互译。

免费翻译文档

深度研究

AI帮你快速写综述,25分钟生成高质量综述,智能提取关键信息,辅助科研写作。

立即免费体验

使用混合苦味酰胺硝酸酯炸药理解含能材料中的触发键合动力学。

Understanding Trigger Linkage Dynamics in Energetic Materials Using Mixed Picramide Nitrate Ester Explosives.

作者信息

Lease Nicholas, Cawkwell M J, Spielvogel Kyle D, Manner Virginia W

机构信息

High Explosives Science and Technology, Los Alamos National Laboratory, Los Alamos, New Mexico 87545, United States.

Theoretical Division, Los Alamos National Laboratory, Los Alamos, New Mexico 87545, United States.

出版信息

J Phys Chem Lett. 2025 Jan 16;16(2):579-586. doi: 10.1021/acs.jpclett.4c03306. Epub 2025 Jan 7.

DOI:10.1021/acs.jpclett.4c03306
PMID:39772598
原文链接:https://pmc.ncbi.nlm.nih.gov/articles/PMC11744797/
Abstract

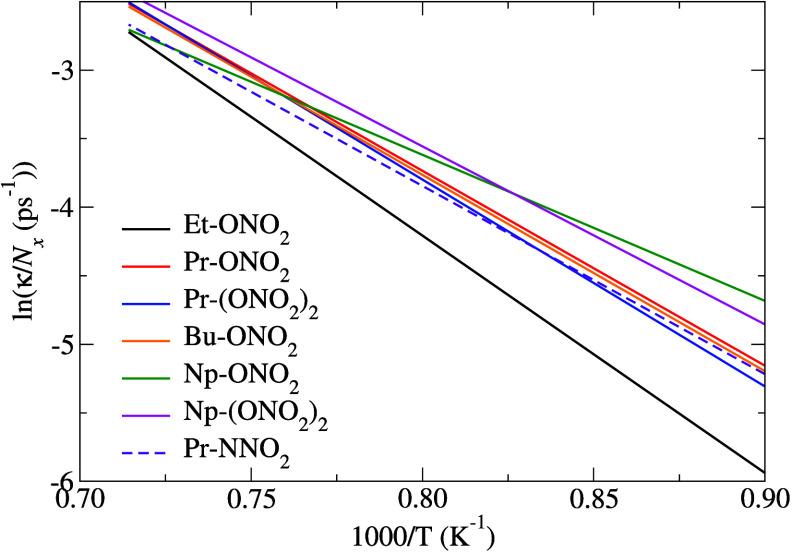
The ability to predict the handling sensitivity of new organic energetic materials has been a longstanding goal. We report the synthesis and characterization of six new nitropicramide energetic materials with mixed functional groups that mimic known explosives such as nitroglycerin, erythritol tetranitrate (ETN), and pentaerythritol tetranitrate (PETN). The molecules have been studied theoretically using quantum molecular dynamics (QMD) simulations and density functional theory (DFT) calculations to identify the weakest bond in the reactants - the trigger-linkages - which control handling sensitivity, and to quantify their specific enthalpies of explosion. In good accord with the drop weight impact sensitivity data, our calculations predict that the sensitivities of the molecules are very similar owing to the small variations of the energy output and rates of trigger linkage rupture. In addition, both the QMD and DFT calculations point to the nitropicramide N-NO bonds as the trigger linkages rather than the more typical O-NO bonds. We propose that the switch of the trigger linkage from the nitrate esters to the nitramine groups arises from the strongly electron withdrawing character of the adjacent trinitrobenzene groups.

摘要

预测新型有机含能材料的操作灵敏度一直是一个长期目标。我们报告了六种具有混合官能团的新型硝呋酰胺含能材料的合成与表征,这些材料模拟了已知炸药,如硝化甘油、四硝酸赤藓醇(ETN)和季戊四醇四硝酸酯(PETN)。已使用量子分子动力学(QMD)模拟和密度泛函理论(DFT)计算对这些分子进行了理论研究,以确定反应物中最弱的键——触发键——它控制着操作灵敏度,并量化它们的比爆炸焓。与落锤冲击灵敏度数据高度一致,我们的计算预测,由于能量输出和触发键断裂速率的微小变化,这些分子的灵敏度非常相似。此外,QMD和DFT计算均表明硝呋酰胺的N-NO键是触发键,而非更典型的O-NO键。我们认为,触发键从硝酸酯基团转变为硝胺基团是由于相邻三硝基苯基团的强吸电子特性。

https://cdn.ncbi.nlm.nih.gov/pmc/blobs/e399/11744797/d7c52bb86fe9/jz4c03306_0003.jpg
https://cdn.ncbi.nlm.nih.gov/pmc/blobs/e399/11744797/165fa9bc30b9/jz4c03306_0004.jpg
https://cdn.ncbi.nlm.nih.gov/pmc/blobs/e399/11744797/e9ec76598955/jz4c03306_0005.jpg
https://cdn.ncbi.nlm.nih.gov/pmc/blobs/e399/11744797/71bde1aae914/jz4c03306_0006.jpg
https://cdn.ncbi.nlm.nih.gov/pmc/blobs/e399/11744797/0cb57179b7a6/jz4c03306_0001.jpg
https://cdn.ncbi.nlm.nih.gov/pmc/blobs/e399/11744797/938c07b4144e/jz4c03306_0002.jpg
https://cdn.ncbi.nlm.nih.gov/pmc/blobs/e399/11744797/d7c52bb86fe9/jz4c03306_0003.jpg
https://cdn.ncbi.nlm.nih.gov/pmc/blobs/e399/11744797/165fa9bc30b9/jz4c03306_0004.jpg
https://cdn.ncbi.nlm.nih.gov/pmc/blobs/e399/11744797/e9ec76598955/jz4c03306_0005.jpg
https://cdn.ncbi.nlm.nih.gov/pmc/blobs/e399/11744797/71bde1aae914/jz4c03306_0006.jpg
https://cdn.ncbi.nlm.nih.gov/pmc/blobs/e399/11744797/0cb57179b7a6/jz4c03306_0001.jpg
https://cdn.ncbi.nlm.nih.gov/pmc/blobs/e399/11744797/938c07b4144e/jz4c03306_0002.jpg
https://cdn.ncbi.nlm.nih.gov/pmc/blobs/e399/11744797/d7c52bb86fe9/jz4c03306_0003.jpg

相似文献

1
Understanding Trigger Linkage Dynamics in Energetic Materials Using Mixed Picramide Nitrate Ester Explosives.使用混合苦味酰胺硝酸酯炸药理解含能材料中的触发键合动力学。
J Phys Chem Lett. 2025 Jan 16;16(2):579-586. doi: 10.1021/acs.jpclett.4c03306. Epub 2025 Jan 7.
2
Identifying the Molecular Properties that Drive Explosive Sensitivity in a Series of Nitrate Esters.鉴定一系列硝酸酯中导致爆炸敏感性的分子特性。
J Phys Chem Lett. 2022 Oct 13;13(40):9422-9428. doi: 10.1021/acs.jpclett.2c02701. Epub 2022 Oct 3.
3
Ranking the Drop-Weight Impact Sensitivity of Common Explosives Using Arrhenius Chemical Rates Computed from Quantum Molecular Dynamics Simulations.利用量子分子动力学模拟计算的 Arrhenius 化学速率对常见爆炸物的落锤冲击感度进行排序。
J Phys Chem A. 2020 Jan 9;124(1):74-81. doi: 10.1021/acs.jpca.9b10808. Epub 2019 Dec 30.
4
Halogenated PETN derivatives: interplay between physical and chemical factors in explosive sensitivity.卤代季戊四醇四硝酸酯衍生物:炸药敏感性中物理因素与化学因素的相互作用
Chem Sci. 2023 May 3;14(25):7044-7056. doi: 10.1039/d3sc01627g. eCollection 2023 Jun 28.
5
Nature of the Trigger Linkage in Explosive Materials Is a Charge-Shift Bond.爆炸材料中触发键的本质是电荷转移键。
J Org Chem. 2021 Nov 5;86(21):15588-15596. doi: 10.1021/acs.joc.1c02066. Epub 2021 Oct 6.
6
Synthesis of Erythritol Tetranitrate Derivatives: Functional Group Tuning of Explosive Sensitivity.赤藓醇四硝酸酯衍生物的合成:炸药敏感度的官能团调控
J Org Chem. 2020 Apr 3;85(7):4619-4626. doi: 10.1021/acs.joc.9b03344. Epub 2020 Mar 18.
7
Increased handling sensitivity of molten erythritol tetranitrate (ETN).提高熔融赤藓糖醇四硝酸酯(ETN)的处理灵敏度。
J Hazard Mater. 2019 Apr 5;367:546-549. doi: 10.1016/j.jhazmat.2018.12.110. Epub 2018 Dec 28.
8
Quantifying bond strengths via a Coulombic force model: application to the impact sensitivity of nitrobenzene, nitrogen-rich nitroazole, and non-aromatic nitramine molecules.通过库仑力模型量化键强度:应用于硝基苯、富氮硝基唑和非芳香族硝胺分子的撞击感度
J Mol Model. 2021 Feb 4;27(3):69. doi: 10.1007/s00894-021-04669-5.
9
Examining the chemical and structural properties that influence the sensitivity of energetic nitrate esters.研究影响含能硝酸酯敏感性的化学和结构性质。
Chem Sci. 2018 Mar 9;9(15):3649-3663. doi: 10.1039/c8sc00903a. eCollection 2018 Apr 21.
10
Predicting Trigger Bonds in Explosive Materials through Wiberg Bond Index Analysis.通过维伯格键指数分析预测爆炸材料中的触发键
Chemphyschem. 2015 Dec 21;16(18):3886-92. doi: 10.1002/cphc.201500773. Epub 2015 Nov 6.

本文引用的文献

1
Halogenated PETN derivatives: interplay between physical and chemical factors in explosive sensitivity.卤代季戊四醇四硝酸酯衍生物:炸药敏感性中物理因素与化学因素的相互作用
Chem Sci. 2023 May 3;14(25):7044-7056. doi: 10.1039/d3sc01627g. eCollection 2023 Jun 28.
2
Understanding Explosive Sensitivity with Effective Trigger Linkage Kinetics.通过有效的触发连锁动力学理解爆炸敏感性。
ACS Phys Chem Au. 2022 Jun 24;2(5):448-458. doi: 10.1021/acsphyschemau.2c00022. eCollection 2022 Sep 28.
3
Melt Castable Derivatives of Pentaerythritol Tetranitrate.
季戊四醇四硝酸酯的熔铸型衍生物
Chemistry. 2023 Apr 18;29(22):e202204013. doi: 10.1002/chem.202204013. Epub 2023 Mar 10.
4
Identifying the Molecular Properties that Drive Explosive Sensitivity in a Series of Nitrate Esters.鉴定一系列硝酸酯中导致爆炸敏感性的分子特性。
J Phys Chem Lett. 2022 Oct 13;13(40):9422-9428. doi: 10.1021/acs.jpclett.2c02701. Epub 2022 Oct 3.
5
Nature of the Trigger Linkage in Explosive Materials Is a Charge-Shift Bond.爆炸材料中触发键的本质是电荷转移键。
J Org Chem. 2021 Nov 5;86(21):15588-15596. doi: 10.1021/acs.joc.1c02066. Epub 2021 Oct 6.
6
Atom Equivalent Energies for the Rapid Estimation of the Heat of Formation of Explosive Molecules from Density Functional Tight Binding Theory.基于密度泛函紧束缚理论快速估算爆炸分子生成热的原子等效能量
J Chem Inf Model. 2021 Jul 26;61(7):3337-3347. doi: 10.1021/acs.jcim.1c00312. Epub 2021 Jul 12.
7
Review of the molecular and crystal correlations on sensitivities of energetic materials.含能材料敏感性的分子与晶体相关性综述。
J Hazard Mater. 2020 Nov 5;398:122910. doi: 10.1016/j.jhazmat.2020.122910. Epub 2020 May 14.
8
Tight-Binding Modeling of Uranium in an Aqueous Environment.水相环境中铀的紧束缚建模。
J Chem Theory Comput. 2020 May 12;16(5):3073-3083. doi: 10.1021/acs.jctc.0c00089. Epub 2020 Apr 27.
9
Synthesis of Erythritol Tetranitrate Derivatives: Functional Group Tuning of Explosive Sensitivity.赤藓醇四硝酸酯衍生物的合成:炸药敏感度的官能团调控
J Org Chem. 2020 Apr 3;85(7):4619-4626. doi: 10.1021/acs.joc.9b03344. Epub 2020 Mar 18.
10
Ranking the Drop-Weight Impact Sensitivity of Common Explosives Using Arrhenius Chemical Rates Computed from Quantum Molecular Dynamics Simulations.利用量子分子动力学模拟计算的 Arrhenius 化学速率对常见爆炸物的落锤冲击感度进行排序。
J Phys Chem A. 2020 Jan 9;124(1):74-81. doi: 10.1021/acs.jpca.9b10808. Epub 2019 Dec 30.