Suppr超能文献

新冠疫情动态分数阶模型中疫苗加强针的作用:泰国的一个案例研究

The role of a vaccine booster for a fractional order model of the dynamic of COVID-19: a case study in Thailand.

作者信息

Pongsumpun Puntipa, Pongsumpun Puntani, Tang I-Ming, Lamwong Jiraporn

机构信息

Department of Mathematics, School of Science, King Mongkut's Institute of Technology Ladkrabang, Bangkok, 10520, Thailand.

Department of Physics, Faculty of Science, Mahidol University, Bangkok, 10400, Thailand.

出版信息

Sci Rep. 2025 Jan 7;15(1):1162. doi: 10.1038/s41598-024-80390-6.

Abstract

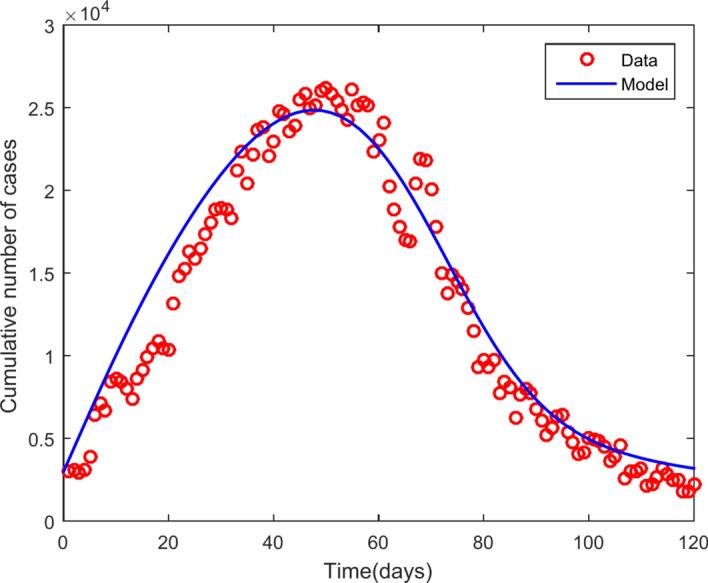
This article addresses the critical need for understanding the dynamics of COVID-19 transmission and the role of booster vaccinations in managing the pandemic. Despite widespread vaccination efforts, the emergence of new variants and the waning of immunity over time necessitate more effective strategies. A fractional-order mathematical model using Caputo-Fabrizio derivatives was developed to analyze the impact of booster doses, symptomatic and asymptomatic infections, and quarantine measures. The model incorporates real epidemic data from Thailand and includes a sensitivity analysis of parameters influencing disease spread. Numerical results indicate that booster vaccinations significantly reduce transmission rates, and the model's predictions align well with the observed data. The basic reproduction number was determined to evaluate disease control, showing that a sustained vaccination campaign, including booster doses, is essential to maintaining immunity and controlling future outbreaks. The findings underscore the importance of ongoing vaccination efforts and provide a robust framework for policymakers to design effective strategies for pandemic control.

摘要

本文论述了了解新冠病毒传播动态以及加强针疫苗接种在控制疫情中所起作用的迫切需求。尽管进行了广泛的疫苗接种工作,但新变种的出现以及免疫力随时间的减弱使得需要更有效的策略。开发了一个使用卡普托 - 法布里齐奥导数的分数阶数学模型,以分析加强针剂量、有症状和无症状感染以及隔离措施的影响。该模型纳入了来自泰国的实际疫情数据,并对影响疾病传播的参数进行了敏感性分析。数值结果表明,加强针疫苗接种显著降低了传播率,并且该模型的预测与观测数据吻合良好。通过确定基本再生数来评估疾病控制情况,结果表明持续的疫苗接种运动,包括加强针接种,对于维持免疫力和控制未来疫情爆发至关重要。研究结果强调了持续疫苗接种工作的重要性,并为政策制定者设计有效的疫情控制策略提供了一个有力的框架。

https://cdn.ncbi.nlm.nih.gov/pmc/blobs/da46/11707013/803fbfe12dea/41598_2024_80390_Fig1_HTML.jpg

文献检索

告别复杂PubMed语法,用中文像聊天一样搜索,搜遍4000万医学文献。AI智能推荐,让科研检索更轻松。

立即免费搜索

文件翻译

保留排版,准确专业,支持PDF/Word/PPT等文件格式,支持 12+语言互译。

免费翻译文档

深度研究

AI帮你快速写综述,25分钟生成高质量综述,智能提取关键信息,辅助科研写作。

立即免费体验