Suppr超能文献

低载脂蛋白A1和高载脂蛋白B水平表明初治早期银屑病关节炎存在特定的脂质变化。

Low apolipoprotein A1 and high apolipoprotein B levels indicate specific lipid changes in treatment naïve early psoriatic arthritis.

作者信息

Ishchenko Alla, Van Mechelen M, Storms Lies, de Vlam Kurt, Pazmino Sofia, Neerinckx Barbara, Verschueren P, Lories Rik

机构信息

Department of Rheumatology, UZ Leuven, Leuven, Belgium.

Department of Rheumatology, Ziekenhuis aan de Stroom, Antwerpen, Belgium.

出版信息

RMD Open. 2025 Jan 8;11(1):e005174. doi: 10.1136/rmdopen-2024-005174.

Abstract

OBJECTIVES

To investigate serum lipid profile in early, treatment-naïve psoriatic arthritis (PsA) and to determine whether changes in classical lipids or apolipoproteins are specific to PsA.

METHODS

Total cholesterol, non-high-density lipoprotein cholesterol (non-HDL-c), low-density lipoprotein cholesterol (LDL-c), HDL-c, triglycerides, apolipoprotein B (ApoB) and apolipoprotein A1 (ApoA1) were compared in newly diagnosed untreated PsA patients (n=75) to sex- and age-matched controls (healthy control (HC)) (n=61) and early untreated rheumatoid arthritis (RA) patients (n=50).

RESULTS

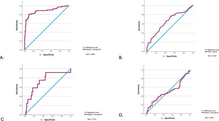
Among classical lipid measurements, HDL-c levels were lower in PsA than in HC and RA (df 2, χ10, p=0.006, PsA vs HC p=0.013). Significant differences in ApoA1 and ApoB levels were observed between PsA, RA and controls. ApoB was higher in PsA than in RA patients but lower than in controls (df2, χ43.8; p<0.001). ApoA1 was markedly lower in PsA patients compared with both RA and controls (df2, χ118.9; p<0.001). In regression models, the levels of ApoA1, adjusted for additional factors, were predictive of PsA diagnosis with 90.6% accuracy. In receiver operating characteristic analysis, ApoA1 was predictive of the diagnosis of PsA with a specificity of 82.4% and a sensitivity of 83.8% at an optimal cut-off value of 1403 µg/mL (area under the curve (95% CI), 0.886 (0.83 to 0.941)).

CONCLUSION

Early, treatment-naïve PsA patients exhibit a distinct pro-atherogenic lipid profile, characterised by decreased ApoA1 and increased ApoB levels, distinguishing them from early RA patients and healthy controls. These findings highlight the potential of apolipoprotein measurements to serve as more accurate indicators of lipid disturbances in PsA than traditional serum lipids and as aid to diagnosis of patients presenting with early arthritis.

摘要

目的

研究初治银屑病关节炎(PsA)患者的血脂谱,并确定经典脂质或载脂蛋白的变化是否为PsA所特有。

方法

比较新诊断的未治疗PsA患者(n = 75)与性别和年龄匹配的对照组(健康对照(HC))(n = 61)以及早期未治疗的类风湿关节炎(RA)患者(n = 50)的总胆固醇、非高密度脂蛋白胆固醇(non-HDL-c)、低密度脂蛋白胆固醇(LDL-c)、高密度脂蛋白胆固醇(HDL-c)、甘油三酯、载脂蛋白B(ApoB)和载脂蛋白A1(ApoA1)。

结果

在经典脂质测量中,PsA患者的HDL-c水平低于HC和RA患者(自由度2,χ² = 10,p = 0.006,PsA与HC比较p = 0.013)。在PsA、RA和对照组之间观察到ApoA1和ApoB水平存在显著差异。PsA患者的ApoB高于RA患者,但低于对照组(自由度2,χ² = 43.8;p < 0.001)。与RA患者和对照组相比,PsA患者的ApoA1明显更低(自由度2,χ² = 118.9;p < 0.001)。在回归模型中,经其他因素校正后的ApoA1水平对PsA诊断的预测准确率为90.6%。在受试者工作特征分析中,ApoA1对PsA诊断具有预测性,在最佳截断值为1403µg/mL时,特异性为82.4%,敏感性为83.8%(曲线下面积(95%CI),0.886(0.83至0.941))。

结论

初治的早期PsA患者表现出独特的促动脉粥样硬化血脂谱,其特征是ApoA1降低和ApoB水平升高,这使其有别于早期RA患者和健康对照。这些发现突出了载脂蛋白测量作为比传统血清脂质更准确的PsA脂质紊乱指标以及辅助早期关节炎患者诊断的潜力。

https://cdn.ncbi.nlm.nih.gov/pmc/blobs/62eb/11748773/d0be45992b90/rmdopen-11-1-g001.jpg

文献检索

告别复杂PubMed语法,用中文像聊天一样搜索,搜遍4000万医学文献。AI智能推荐,让科研检索更轻松。

立即免费搜索

文件翻译

保留排版,准确专业,支持PDF/Word/PPT等文件格式,支持 12+语言互译。

免费翻译文档

深度研究

AI帮你快速写综述,25分钟生成高质量综述,智能提取关键信息,辅助科研写作。

立即免费体验