• 文献检索
  • 文档翻译
  • 深度研究
  • 学术资讯
  • Suppr Zotero 插件Zotero 插件
  • 邀请有礼
  • 套餐&价格
  • 历史记录
应用&插件
Suppr Zotero 插件Zotero 插件浏览器插件Mac 客户端Windows 客户端微信小程序
定价
高级版会员购买积分包购买API积分包
服务
文献检索文档翻译深度研究API 文档MCP 服务
关于我们
关于 Suppr公司介绍联系我们用户协议隐私条款
关注我们

Suppr 超能文献

核心技术专利:CN118964589B侵权必究
粤ICP备2023148730 号-1Suppr @ 2026

文献检索

告别复杂PubMed语法,用中文像聊天一样搜索,搜遍4000万医学文献。AI智能推荐,让科研检索更轻松。

立即免费搜索

文件翻译

保留排版,准确专业,支持PDF/Word/PPT等文件格式,支持 12+语言互译。

免费翻译文档

深度研究

AI帮你快速写综述,25分钟生成高质量综述,智能提取关键信息,辅助科研写作。

立即免费体验

镍矿开采产生的生物质碳排放对气候行动具有重大影响。

Biomass carbon emissions from nickel mining have significant implications for climate action.

作者信息

Mervine Evelyn M, Valenta Rick K, Paterson James S, Mudd Gavin M, Werner Tim T, Nursamsi Ilyas, Sonter Laura J

机构信息

School of GeoSciences, The University of Edinburgh, Edinburgh, United Kingdom.

School of the Environment, The University of Queensland, St. Lucia, QLD, Australia.

出版信息

Nat Commun. 2025 Jan 8;16(1):481. doi: 10.1038/s41467-024-55703-y.

DOI:10.1038/s41467-024-55703-y
PMID:39779706
原文链接:https://pmc.ncbi.nlm.nih.gov/articles/PMC11711624/
Abstract

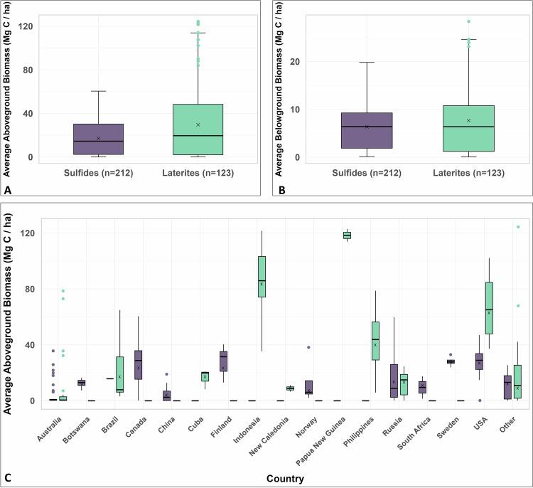
Global nickel demand is projected to double by 2050 to support low-carbon technologies and renewable energy production. However, biomass carbon emissions from clearing vegetation for nickel mining are rarely included in corporate sustainability reports or considered in mineral sourcing decisions. Here, we compiled data for 481 nickel mines and undeveloped deposits to show that the footprint of nickel mining could be 4 to 500 times greater than previously reported (depending on the mine site), and thus the environmental impacts of nickel products, including batteries, have been underestimated to date. We found large variation in biomass losses among mines, and, in many cases, these unaccounted carbon emissions were significant relative to other Scope 1 and Scope 2 emissions from nickel extraction and processing. Reporting emissions from biomass losses from mining is key for strategic decision making on where to source nickel needed for effective climate action.

摘要

预计到2050年,全球镍需求将翻倍,以支持低碳技术和可再生能源生产。然而,为镍矿开采而砍伐植被所产生的生物质碳排放在企业可持续发展报告中很少被纳入,在矿产采购决策中也很少被考虑。在此,我们汇总了481个镍矿和未开发矿床的数据,结果表明镍矿开采的足迹可能比之前报告的大4至500倍(取决于矿址),因此,包括电池在内的镍产品对环境的影响迄今一直被低估。我们发现各矿山之间的生物质损失差异很大,而且在许多情况下,这些未计入的碳排放相对于镍提取和加工产生的其他第一类和第二类排放而言颇为可观。报告采矿造成的生物质损失所产生的排放对于有效应对气候变化所需镍的采购地点的战略决策至关重要。

https://cdn.ncbi.nlm.nih.gov/pmc/blobs/9642/11711624/e2f0a4625313/41467_2024_55703_Fig4_HTML.jpg
https://cdn.ncbi.nlm.nih.gov/pmc/blobs/9642/11711624/923328a54940/41467_2024_55703_Fig1_HTML.jpg
https://cdn.ncbi.nlm.nih.gov/pmc/blobs/9642/11711624/92d7a4456085/41467_2024_55703_Fig2_HTML.jpg
https://cdn.ncbi.nlm.nih.gov/pmc/blobs/9642/11711624/bd6c8da69037/41467_2024_55703_Fig3_HTML.jpg
https://cdn.ncbi.nlm.nih.gov/pmc/blobs/9642/11711624/e2f0a4625313/41467_2024_55703_Fig4_HTML.jpg
https://cdn.ncbi.nlm.nih.gov/pmc/blobs/9642/11711624/923328a54940/41467_2024_55703_Fig1_HTML.jpg
https://cdn.ncbi.nlm.nih.gov/pmc/blobs/9642/11711624/92d7a4456085/41467_2024_55703_Fig2_HTML.jpg
https://cdn.ncbi.nlm.nih.gov/pmc/blobs/9642/11711624/bd6c8da69037/41467_2024_55703_Fig3_HTML.jpg
https://cdn.ncbi.nlm.nih.gov/pmc/blobs/9642/11711624/e2f0a4625313/41467_2024_55703_Fig4_HTML.jpg

相似文献

1
Biomass carbon emissions from nickel mining have significant implications for climate action.镍矿开采产生的生物质碳排放对气候行动具有重大影响。
Nat Commun. 2025 Jan 8;16(1):481. doi: 10.1038/s41467-024-55703-y.
2
Assessment of global carbon dynamics due to mining-induced forest cover loss during 2000-2019 using satellite datasets.利用卫星数据集评估 2000-2019 年采矿导致的森林覆盖损失对全球碳动态的影响。
J Environ Manage. 2024 Dec;371:123271. doi: 10.1016/j.jenvman.2024.123271. Epub 2024 Nov 8.
3
The 2023 Latin America report of the Countdown on health and climate change: the imperative for health-centred climate-resilient development.《2023年健康与气候变化倒计时拉丁美洲报告:以健康为中心的气候适应型发展的必要性》
Lancet Reg Health Am. 2024 Apr 23;33:100746. doi: 10.1016/j.lana.2024.100746. eCollection 2024 May.
4
Environmental impact of mining-associated carbon emissions and analysis of cleaner production strategies in China.采矿相关碳排放的环境影响及中国清洁生产策略分析。
Environ Sci Pollut Res Int. 2021 Mar;28(11):13649-13659. doi: 10.1007/s11356-020-11551-z. Epub 2020 Nov 14.
5
Impact on global metal flows arising from the use of portable rechargeable batteries.便携式可充电电池的使用对全球金属流动的影响。
Sci Total Environ. 2003 Jan 20;302(1-3):167-84. doi: 10.1016/s0048-9697(02)00293-0.
6
How climate change may shift power demand in Japan: Insights from data-driven analysis.气候变化可能如何改变日本的电力需求:来自数据驱动分析的见解。
J Environ Manage. 2023 Nov 1;345:118799. doi: 10.1016/j.jenvman.2023.118799. Epub 2023 Sep 9.
7
Exploring the nexus: Climate change concerns, renewable energy, and carbon emissions.探索关联:气候变化问题、可再生能源与碳排放
J Environ Manage. 2025 Mar;376:124413. doi: 10.1016/j.jenvman.2025.124413. Epub 2025 Feb 10.
8
Publisher Correction: Biomass carbon emissions from nickel mining have significant implications for climate action.出版商更正:镍矿开采产生的生物质碳排放对气候行动具有重大影响。
Nat Commun. 2025 Jan 29;16(1):1151. doi: 10.1038/s41467-025-56465-x.
9
Renewable energy production will exacerbate mining threats to biodiversity.可再生能源生产将加剧采矿对生物多样性的威胁。
Nat Commun. 2020 Sep 1;11(1):4174. doi: 10.1038/s41467-020-17928-5.
10
Renewable carbon feedstock for polymers: environmental benefits from synergistic use of biomass and CO.聚合物可再生碳原料:生物质和 CO 协同利用的环境效益
Faraday Discuss. 2021 Jul 1;230:227-246. doi: 10.1039/d0fd00134a. Epub 2021 Apr 23.

引用本文的文献

1
Mines for a clean-energy metal have a surprise climate effect.开采一种清洁能源金属的矿场竟产生了出人意料的气候影响。
Nature. 2025 Jan;637(8047):767. doi: 10.1038/d41586-025-00042-1.

本文引用的文献

1
Impacts for half of the world's mining areas are undocumented.世界上一半矿区的影响没有记录在案。
Nature. 2024 Jan;625(7993):26-29. doi: 10.1038/d41586-023-04090-3.
2
A global-scale data set of mining areas.一个全球性的矿区数据集。
Sci Data. 2020 Sep 8;7(1):289. doi: 10.1038/s41597-020-00624-w.
3
Harmonized global maps of above and belowground biomass carbon density in the year 2010.2010 年地上和地下生物量碳密度的全球协调图。
Sci Data. 2020 Apr 6;7(1):112. doi: 10.1038/s41597-020-0444-4.
4
Mining and biodiversity: key issues and research needs in conservation science.矿业与生物多样性:保护科学中的关键问题与研究需求。
Proc Biol Sci. 2018 Dec 5;285(1892):20181926. doi: 10.1098/rspb.2018.1926.
5
Mining drives extensive deforestation in the Brazilian Amazon.采矿导致巴西亚马逊地区大面积森林砍伐。
Nat Commun. 2017 Oct 18;8(1):1013. doi: 10.1038/s41467-017-00557-w.
6
Global land-use change hidden behind nickel consumption.镍消费背后隐藏着全球土地利用变化。
Sci Total Environ. 2017 May 15;586:730-737. doi: 10.1016/j.scitotenv.2017.02.049. Epub 2017 Feb 21.
7
Mining in New Caledonia: environmental stakes and restoration opportunities.新喀里多尼亚的采矿:环境风险与恢复机遇
Environ Sci Pollut Res Int. 2015 Apr;22(8):5592-607. doi: 10.1007/s11356-014-3358-x. Epub 2014 Jul 29.
8
Anthropogenic nickel cycle: insights into use, trade, and recycling.人为镍循环:对使用、贸易和回收利用的洞察
Environ Sci Technol. 2008 May 1;42(9):3394-400. doi: 10.1021/es072108l.