• 文献检索
  • 文档翻译
  • 深度研究
  • 学术资讯
  • Suppr Zotero 插件Zotero 插件
  • 邀请有礼
  • 套餐&价格
  • 历史记录
应用&插件
Suppr Zotero 插件Zotero 插件浏览器插件Mac 客户端Windows 客户端微信小程序
定价
高级版会员购买积分包购买API积分包
服务
文献检索文档翻译深度研究API 文档MCP 服务
关于我们
关于 Suppr公司介绍联系我们用户协议隐私条款
关注我们

Suppr 超能文献

核心技术专利:CN118964589B侵权必究
粤ICP备2023148730 号-1Suppr @ 2026

文献检索

告别复杂PubMed语法,用中文像聊天一样搜索,搜遍4000万医学文献。AI智能推荐,让科研检索更轻松。

立即免费搜索

文件翻译

保留排版,准确专业,支持PDF/Word/PPT等文件格式,支持 12+语言互译。

免费翻译文档

深度研究

AI帮你快速写综述,25分钟生成高质量综述,智能提取关键信息,辅助科研写作。

立即免费体验

独一无二的SNARC效应?空间-数字关联并非完全灵活,而是取决于相对和绝对数字大小。

One and only SNARC? Spatial-Numerical Associations are not fully flexible and depend on both relative and absolute number magnitude.

作者信息

Roth Lilly, Caffier John, Reips Ulf-Dietrich, Nuerk Hans-Christoph, Overlander Annika Tave, Cipora Krzysztof

机构信息

Department of Psychology, University of Tübingen, Tübingen, Germany.

Department of Psychology, University of Konstanz, Konstanz, Germany.

出版信息

R Soc Open Sci. 2025 Jan 8;12(1):241585. doi: 10.1098/rsos.241585. eCollection 2025 Jan.

DOI:10.1098/rsos.241585
PMID:39780972
原文链接:https://pmc.ncbi.nlm.nih.gov/articles/PMC11709453/
Abstract

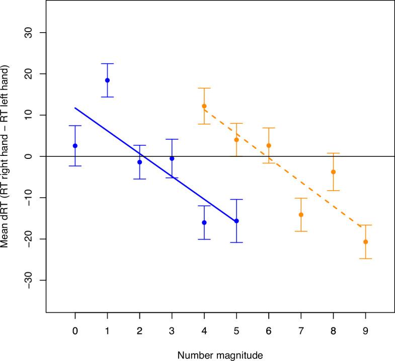
Numbers are associated with space, but it is unclear how flexible these associations are. We investigated whether the SNARC effect (Spatial-Numerical Association of Response Codes; Dehaene . 1993 . , 371-396. (doi:10.1037/0096-3445.122.3.371); i.e. faster responses to small/large number magnitude with the left/right hand, respectively) is fully flexible (depending only on relative magnitude within a stimulus set) or not (depending on absolute magnitude as well). Evidence for relative-magnitude dependency came from studies observing that numbers 4 and 5 were associated with the right in a 0-5 range but with the left in a 4-9 range (Dehaene . 1993; Fias . 1996 . , 95-110 (doi:10.1080/135467996387552). Within this Registered Report, we conducted two online experiments running Bayesian analyses with optional recruitment stopping at moderate evidence (BF above 3 or below 1/3). Experiment 1 ( = 200) replicated relative-magnitude dependency using the original stimuli. However, Experiment 2 ( = 300) additionally demonstrated absolute-magnitude dependency, while considering recent advances in SNARC research using 1-5 excluding 3 and 4-8 excluding 6. In contrast to the frequently perpetuated notion of fully flexible Spatial-Numerical Associations, some fixed relation to absolute magnitude prevails. These findings have important consequences for understanding how Spatial-Numerical Associations might support numerical processing.

摘要

数字与空间相关联,但尚不清楚这些关联的灵活性如何。我们研究了SNARC效应(反应编码的空间-数字关联;德阿纳,1993年,第371 - 396页。(doi:10.1037/0096 - 3445.122.3.371);即分别用左手/右手对小/大数值做出更快反应)是否完全灵活(仅取决于刺激集内的相对大小),或者并非如此(还取决于绝对大小)。相对大小依赖性的证据来自一些研究,这些研究观察到在0 - 5范围内数字4和5与右侧相关联,但在4 - 9范围内与左侧相关联(德阿纳,1993年;菲亚斯,1996年,第95 - 110页(doi:10.1080/135467996387552))。在本预注册报告中,我们进行了两项在线实验,运行贝叶斯分析,并在有适度证据(贝叶斯因子大于3或小于1/3)时选择停止招募。实验1(n = 200)使用原始刺激重复了相对大小依赖性。然而,实验2(n = 300)在考虑SNARC研究的最新进展时,使用排除3的1 - 5和排除6的4 - 8,额外证明了绝对大小依赖性。与经常被延续的完全灵活的空间-数字关联概念相反,与绝对大小存在某种固定关系。这些发现对于理解空间-数字关联如何支持数字处理具有重要意义。

https://cdn.ncbi.nlm.nih.gov/pmc/blobs/d01c/11709453/11e213100506/rsos.241585.f005.jpg
https://cdn.ncbi.nlm.nih.gov/pmc/blobs/d01c/11709453/549e65a117a0/rsos.241585.f001.jpg
https://cdn.ncbi.nlm.nih.gov/pmc/blobs/d01c/11709453/dc796cdb4cec/rsos.241585.f002.jpg
https://cdn.ncbi.nlm.nih.gov/pmc/blobs/d01c/11709453/f1e6a8c5f3e2/rsos.241585.f003.jpg
https://cdn.ncbi.nlm.nih.gov/pmc/blobs/d01c/11709453/ea71751b9127/rsos.241585.f004.jpg
https://cdn.ncbi.nlm.nih.gov/pmc/blobs/d01c/11709453/11e213100506/rsos.241585.f005.jpg
https://cdn.ncbi.nlm.nih.gov/pmc/blobs/d01c/11709453/549e65a117a0/rsos.241585.f001.jpg
https://cdn.ncbi.nlm.nih.gov/pmc/blobs/d01c/11709453/dc796cdb4cec/rsos.241585.f002.jpg
https://cdn.ncbi.nlm.nih.gov/pmc/blobs/d01c/11709453/f1e6a8c5f3e2/rsos.241585.f003.jpg
https://cdn.ncbi.nlm.nih.gov/pmc/blobs/d01c/11709453/ea71751b9127/rsos.241585.f004.jpg
https://cdn.ncbi.nlm.nih.gov/pmc/blobs/d01c/11709453/11e213100506/rsos.241585.f005.jpg

相似文献

1
One and only SNARC? Spatial-Numerical Associations are not fully flexible and depend on both relative and absolute number magnitude.独一无二的SNARC效应?空间-数字关联并非完全灵活,而是取决于相对和绝对数字大小。
R Soc Open Sci. 2025 Jan 8;12(1):241585. doi: 10.1098/rsos.241585. eCollection 2025 Jan.
2
Crossed hands and the SNARC effect: a failure to replicate Dehaene, Bossini and Giraux (1993).交叉双手与SNARC效应:未能重复德阿纳、博西尼和吉罗(1993年)的研究结果
Cortex. 2006 Nov;42(8):1069-79; discussion 1119-23. doi: 10.1016/s0010-9452(08)70219-3.
3
On the instability and constraints of the interaction between number representation and spatial attention in healthy humans: A concise review of the literature and new experimental evidence.关于健康人类数字表征与空间注意力交互作用的不稳定性和制约因素:文献综述及新实验证据简述
Prog Brain Res. 2016;227:223-56. doi: 10.1016/bs.pbr.2016.04.023. Epub 2016 Jun 8.
4
Bad-good constraints on a polarity correspondence account for the spatial-numerical association of response codes (SNARC) and markedness association of response codes (MARC) effects.极性对应上的好坏约束解释了反应编码的空间-数字关联效应(SNARC)和反应编码的标记性关联效应(MARC)。
Q J Exp Psychol (Hove). 2016;69(3):482-94. doi: 10.1080/17470218.2015.1055283. Epub 2015 Jul 25.
5
Does the spatial-numerical association of response codes effect depend on digits' relative or absolute magnitude? Evidence from a perceptual orientation judgment task.反应编码的空间-数字关联效应是否取决于数字的相对大小或绝对大小?来自知觉方向判断任务的证据。
J Gen Psychol. 2018 Oct-Dec;145(4):415-430. doi: 10.1080/00221309.2018.1532391. Epub 2018 Nov 20.
6
Spatial Presentations, but Not Response Formats Influence Spatial-Numerical Associations in Adults.空间呈现方式而非反应格式影响成年人的空间-数字关联。
Front Psychol. 2018 Dec 18;9:2608. doi: 10.3389/fpsyg.2018.02608. eCollection 2018.
7
Spatial-numerical associations of manual response codes are strongly asymmetrical.手动反应代码的空间-数字关联具有强烈的不对称性。
Cognition. 2023 Sep;238:105538. doi: 10.1016/j.cognition.2023.105538. Epub 2023 Jul 4.
8
Contrasting left/right codes for response selection must not be necessarily associated with contrasting numerical features to get the SNARC.用于反应选择的左右编码对比不一定必须与数字特征对比相关联才能产生SNARC效应。
Acta Psychol (Amst). 2019 Jul;198:102887. doi: 10.1016/j.actpsy.2019.102887. Epub 2019 Jul 24.
9
The SNARC effect in two dimensions: Evidence for a frontoparallel mental number plane.二维空间中的SNARC效应:前额平行心理数字平面的证据。
Vision Res. 2017 Jan;130:85-96. doi: 10.1016/j.visres.2016.10.007. Epub 2016 Dec 18.
10
Mechanism of the SNARC Effect in Numerical Magnitude, Time Sequence, and Spatial Sequence Tasks: Involvement of LTM and WM.数字大小、时间顺序和空间顺序任务中SNARC效应的机制:长时记忆和工作记忆的参与
Front Psychol. 2018 Aug 21;9:1558. doi: 10.3389/fpsyg.2018.01558. eCollection 2018.

引用本文的文献

1
Through Another's Eyes: Implicit SNARC-like Attention Bias Reveals Allocentric Mapping of Numerical Magnitude.透过他人之眼:类内隐SNARC注意偏差揭示数字大小的自我中心映射
Behav Sci (Basel). 2025 Aug 17;15(8):1114. doi: 10.3390/bs15081114.
2
One direction? Cultural aspects of the mental number line beyond reading direction.一个方向?心理数字线的文化方面超越了阅读方向。
Psychol Res. 2024 Dec 23;89(1):37. doi: 10.1007/s00426-024-02038-4.

本文引用的文献

1
Don't SNARC me now! Intraindividual variability of cognitive phenomena - Insights from the Ironman paradigm.别现在就对我 SNARC!认知现象的个体内变异性——来自 Ironman 范式的启示。
Cognition. 2024 Jul;248:105781. doi: 10.1016/j.cognition.2024.105781. Epub 2024 Apr 24.
2
Power to Detect What? Considerations for Planning and Evaluating Sample Size.检测什么的能力?规划和评估样本量的考虑因素。
Pers Soc Psychol Rev. 2024 Aug;28(3):276-301. doi: 10.1177/10888683241228328. Epub 2024 Feb 12.
3
An insect brain organizes numbers on a left-to-right mental number line.
昆虫的大脑在从左到右的心理数字线上组织数字。
Proc Natl Acad Sci U S A. 2022 Nov;119(44):e2203584119. doi: 10.1073/pnas.2203584119. Epub 2022 Oct 17.
4
Relative, not absolute, stimulus size is responsible for a correspondence effect between physical stimulus size and left/right responses.相对刺激大小而非绝对刺激大小,是物理刺激大小与左右反应之间产生对应效应的原因。
Atten Percept Psychophys. 2022 May;84(4):1342-1358. doi: 10.3758/s13414-022-02490-7. Epub 2022 Apr 22.
5
The spatial-numerical association of response codes effect and math skills: why related?反应代码效应的空间-数字关联与数学技能:为什么相关?
Ann N Y Acad Sci. 2020 Oct;1477(1):5-19. doi: 10.1111/nyas.14355. Epub 2020 Apr 29.
6
The SNARC and MARC effects measured online: Large-scale assessment methods in flexible cognitive effects.在线测量的 SNARC 和 MARC 效应:灵活认知效应的大规模评估方法。
Behav Res Methods. 2019 Aug;51(4):1676-1692. doi: 10.3758/s13428-019-01213-5.
7
A mental number line in human newborns.人类新生儿的心理数字线。
Dev Sci. 2019 Nov;22(6):e12801. doi: 10.1111/desc.12801. Epub 2019 Mar 5.
8
Attention allows the SNARC effect to operate on multiple number lines.注意使 SNARC 效应能够在多条数量线上运作。
Sci Rep. 2018 Sep 13;8(1):13778. doi: 10.1038/s41598-018-32174-y.
9
Sequential Effects in SNARC.序列位置效应与大小 N 关系效应。
Sci Rep. 2018 Jul 20;8(1):10996. doi: 10.1038/s41598-018-29337-2.
10
Automaticity of access to numerical magnitude and its spatial associations: The role of task and number representation.获取数字大小及其空间关联的自动性:任务与数字表征的作用。
J Exp Psychol Learn Mem Cogn. 2019 Feb;45(2):333-348. doi: 10.1037/xlm0000590. Epub 2018 Apr 30.