• 文献检索
  • 文档翻译
  • 深度研究
  • 学术资讯
  • Suppr Zotero 插件Zotero 插件
  • 邀请有礼
  • 套餐&价格
  • 历史记录
应用&插件
Suppr Zotero 插件Zotero 插件浏览器插件Mac 客户端Windows 客户端微信小程序
定价
高级版会员购买积分包购买API积分包
服务
文献检索文档翻译深度研究API 文档MCP 服务
关于我们
关于 Suppr公司介绍联系我们用户协议隐私条款
关注我们

Suppr 超能文献

核心技术专利:CN118964589B侵权必究
粤ICP备2023148730 号-1Suppr @ 2026

文献检索

告别复杂PubMed语法,用中文像聊天一样搜索,搜遍4000万医学文献。AI智能推荐,让科研检索更轻松。

立即免费搜索

文件翻译

保留排版,准确专业,支持PDF/Word/PPT等文件格式,支持 12+语言互译。

免费翻译文档

深度研究

AI帮你快速写综述,25分钟生成高质量综述,智能提取关键信息,辅助科研写作。

立即免费体验

口腔健康与睡眠障碍:一项系统评价与荟萃分析。

Oral health and sleep disorders: A systematic review and meta-analysis.

作者信息

Lei Fei, Hu Xiaotao

机构信息

Department of Stomatology, Second Affiliated Hospital of Xi'an Medical University, Xi'an, Shaanxi 710000, P.R. China.

Department of Stomatology, Shaanxi Province Second People's Hospital (Shaanxi Province Geriatric Hospital), Xi'an, Shaanxi 710000, P.R. China.

出版信息

Biomed Rep. 2024 Dec 20;22(3):37. doi: 10.3892/br.2024.1915. eCollection 2025 Mar.

DOI:10.3892/br.2024.1915
PMID:39781044
原文链接:https://pmc.ncbi.nlm.nih.gov/articles/PMC11704870/
Abstract

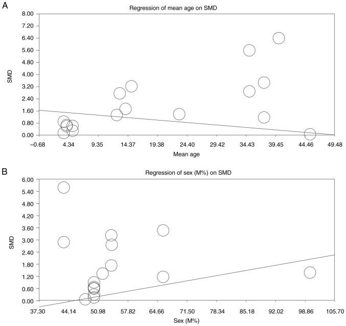
Oral health and sleep quality are critical components of overall health, but their relationship remains poorly understood. The present meta-analysis therefore investigates the association between oral health and sleep quality, synthesizing evidence from diverse populations. To this aim, a comprehensive search strategy identified 311 articles, from which 8 studies encompassing 18 comparisons met the inclusion criteria. These studies, conducted between 2015 and 2023, included 36,559 participants across various countries. Oral health was assessed using indices such as the Decayed, Missing, and Filled Teeth Index and gingival indices. At the same time, sleep quality was measured using tools such as the Pittsburgh Sleep Quality Index and Epworth Sleepiness Scale. The results of the meta-analysis revealed a significant association between poorer oral health and poorer sleep quality, with a standardized mean difference of 2.166 [95% confidence interval (95% CI), 0.677-3.655; P=0.004]. Sensitivity analyses confirmed the robustness of the findings, and publication bias assessments indicated no significant bias. Precision interval analysis showed a mean effect size of 2.17 with a 95% CI of -4.83 to 9.16, suggesting variability in the strength of the association across populations. In conclusion, the results of the present meta-analysis provide strong evidence for a significant link between oral health and sleep quality, highlighting the importance of considering oral health in the management of sleep disorders. Future research should focus on longitudinal studies and standardized measurement tools to further elucidate this relationship and inform public health strategies aimed at improving both oral health and sleep quality.

摘要

口腔健康和睡眠质量是整体健康的关键组成部分,但它们之间的关系仍未得到充分理解。因此,本荟萃分析旨在研究口腔健康与睡眠质量之间的关联,综合来自不同人群的证据。为此,采用全面的检索策略共识别出311篇文章,其中8项研究包含18组比较符合纳入标准。这些研究在2015年至2023年期间进行,涵盖了不同国家的36,559名参与者。使用诸如龋失补牙指数和牙龈指数等指标评估口腔健康。同时,使用匹兹堡睡眠质量指数和爱泼华嗜睡量表等工具测量睡眠质量。荟萃分析结果显示,口腔健康较差与睡眠质量较差之间存在显著关联,标准化平均差为2.166[95%置信区间(95%CI),0.677 - 3.655;P = 0.004]。敏感性分析证实了研究结果的稳健性,发表偏倚评估表明无显著偏倚。精确区间分析显示平均效应大小为2.17,95%CI为 - 4.83至9.16,表明不同人群之间关联强度存在差异。总之,本荟萃分析结果为口腔健康与睡眠质量之间的显著联系提供了有力证据,突出了在睡眠障碍管理中考虑口腔健康的重要性。未来的研究应侧重于纵向研究和标准化测量工具,以进一步阐明这种关系,并为旨在改善口腔健康和睡眠质量的公共卫生策略提供依据。

https://cdn.ncbi.nlm.nih.gov/pmc/blobs/5e54/11704870/61d6c4aeedf1/br-22-03-01915-g05.jpg
https://cdn.ncbi.nlm.nih.gov/pmc/blobs/5e54/11704870/07241a561c31/br-22-03-01915-g00.jpg
https://cdn.ncbi.nlm.nih.gov/pmc/blobs/5e54/11704870/152fa586b9e9/br-22-03-01915-g01.jpg
https://cdn.ncbi.nlm.nih.gov/pmc/blobs/5e54/11704870/c67160a899e8/br-22-03-01915-g02.jpg
https://cdn.ncbi.nlm.nih.gov/pmc/blobs/5e54/11704870/108531aa7004/br-22-03-01915-g03.jpg
https://cdn.ncbi.nlm.nih.gov/pmc/blobs/5e54/11704870/48f00d89c534/br-22-03-01915-g04.jpg
https://cdn.ncbi.nlm.nih.gov/pmc/blobs/5e54/11704870/61d6c4aeedf1/br-22-03-01915-g05.jpg
https://cdn.ncbi.nlm.nih.gov/pmc/blobs/5e54/11704870/07241a561c31/br-22-03-01915-g00.jpg
https://cdn.ncbi.nlm.nih.gov/pmc/blobs/5e54/11704870/152fa586b9e9/br-22-03-01915-g01.jpg
https://cdn.ncbi.nlm.nih.gov/pmc/blobs/5e54/11704870/c67160a899e8/br-22-03-01915-g02.jpg
https://cdn.ncbi.nlm.nih.gov/pmc/blobs/5e54/11704870/108531aa7004/br-22-03-01915-g03.jpg
https://cdn.ncbi.nlm.nih.gov/pmc/blobs/5e54/11704870/48f00d89c534/br-22-03-01915-g04.jpg
https://cdn.ncbi.nlm.nih.gov/pmc/blobs/5e54/11704870/61d6c4aeedf1/br-22-03-01915-g05.jpg

相似文献

1
Oral health and sleep disorders: A systematic review and meta-analysis.口腔健康与睡眠障碍:一项系统评价与荟萃分析。
Biomed Rep. 2024 Dec 20;22(3):37. doi: 10.3892/br.2024.1915. eCollection 2025 Mar.
2
Folic acid supplementation and malaria susceptibility and severity among people taking antifolate antimalarial drugs in endemic areas.在流行地区,服用抗叶酸抗疟药物的人群中,叶酸补充剂与疟疾易感性和严重程度的关系。
Cochrane Database Syst Rev. 2022 Feb 1;2(2022):CD014217. doi: 10.1002/14651858.CD014217.
3
Effectiveness of Intranasal Corticosteroids for Sleep Disturbances in Patients with Allergic Rhinitis: A Systematic Review and Meta-Analysis.鼻内皮质类固醇对变应性鼻炎患者睡眠障碍的疗效:一项系统评价和荟萃分析。
Int Arch Allergy Immunol. 2025;186(4):330-344. doi: 10.1159/000541389. Epub 2024 Oct 29.
4
Deployment of personnel to military operations: impact on mental health and social functioning.人员部署到军事行动中:对心理健康和社会功能的影响。
Campbell Syst Rev. 2018 Jun 1;14(1):1-127. doi: 10.4073/csr.2018.6. eCollection 2018.
5
WITHDRAWN: Community-based population-level interventions for promoting child oral health.撤回:基于社区的促进儿童口腔健康的人群水平干预措施。
Cochrane Database Syst Rev. 2016 Dec 22;12(12):CD009837. doi: 10.1002/14651858.CD009837.pub3.
6
Community-based population-level interventions for promoting child oral health.基于社区的促进儿童口腔健康的人群层面干预措施。
Cochrane Database Syst Rev. 2016 Sep 15;9(9):CD009837. doi: 10.1002/14651858.CD009837.pub2.
7
Recovery schools for improving behavioral and academic outcomes among students in recovery from substance use disorders: a systematic review.改善物质使用障碍康复期学生行为和学业成果的康复学校:一项系统综述
Campbell Syst Rev. 2018 Oct 4;14(1):1-86. doi: 10.4073/csr.2018.9. eCollection 2018.
8
Taichi exercise for self-rated sleep quality in older people: a systematic review and meta-analysis.太极拳锻炼对老年人自评睡眠质量的影响:系统评价和荟萃分析。
Int J Nurs Stud. 2015 Jan;52(1):368-79. doi: 10.1016/j.ijnurstu.2014.05.009. Epub 2014 May 28.
9
Oral appliance therapy for the management of obstructive sleep apnea in adults: an umbrella review.成人阻塞性睡眠呼吸暂停管理的口腔矫治器治疗:一项伞状综述
JBI Evid Synth. 2025 May 1;23(5):876-919. doi: 10.11124/JBIES-23-00539. Epub 2025 Mar 31.
10
Effects of traditional Chinese exercises and general aerobic exercises on older adults with sleep disorders: A systematic review and meta-analysis.传统中医运动和一般性有氧运动对老年睡眠障碍患者的影响:系统评价和荟萃分析。
J Integr Med. 2021 Nov;19(6):493-502. doi: 10.1016/j.joim.2021.09.007. Epub 2021 Oct 1.

引用本文的文献

1
Exploring the Role of Oral Microbiota in the Pathophysiology and Treatment of Bruxism.探索口腔微生物群在磨牙症病理生理学及治疗中的作用。
FASEB J. 2025 Sep 15;39(17):e71017. doi: 10.1096/fj.202502015R.

本文引用的文献

1
Poor Self-Rated Sleep Quality and Quantity Associated with Poor Oral Health-Related Quality of Life among Indigenous Australian Adults.澳大利亚原住民成年人中,自评睡眠质量和数量较差与口腔健康相关生活质量较差有关。
Int J Environ Res Public Health. 2024 Apr 8;21(4):453. doi: 10.3390/ijerph21040453.
2
Investigating oral health among US adults with sleep disorder: a cross-sectional study.调查美国患有睡眠障碍的成年人的口腔健康状况:一项横断面研究。
BMC Oral Health. 2023 Dec 13;23(1):996. doi: 10.1186/s12903-023-03686-5.
3
The relationship between oral health and sleep quality in community-dwelling older adults.
社区老年人的口腔健康与睡眠质量之间的关系。
Niger J Clin Pract. 2023 Oct;26(10):1449-1455. doi: 10.4103/njcp.njcp_756_22.
4
Association between sleep duration and dental caries in a nationally representative U.S. population.睡眠时间与美国代表性人群龋齿的关系。
BMC Oral Health. 2023 Jul 18;23(1):497. doi: 10.1186/s12903-023-03147-z.
5
Early Childhood Caries and Sleep Disorders.幼儿龋齿与睡眠障碍。
J Clin Med. 2023 Feb 9;12(4):1378. doi: 10.3390/jcm12041378.
6
Possible association between oral health and sleep duration: A cross-sectional study based on the Korean National Health and Nutrition Examination Surveys from 2010 to 2015.口腔健康与睡眠时间的可能关联:基于 2010 至 2015 年韩国国家健康和营养检查调查的横断面研究。
Medicine (Baltimore). 2021 Dec 3;100(48):e28035. doi: 10.1097/MD.0000000000028035.
7
The PRISMA 2020 statement: an updated guideline for reporting systematic reviews.PRISMA 2020 声明:系统评价报告的更新指南。
BMJ. 2021 Mar 29;372:n71. doi: 10.1136/bmj.n71.
8
Study on the association between sleep disorders versus oral health related variables.睡眠障碍与口腔健康相关变量的关联研究。
Med Oral Patol Oral Cir Bucal. 2021 Mar 1;26(2):e164-e171. doi: 10.4317/medoral.24096.
9
Periodontal disease, sleep duration, and white blood cell markers in the 2009 to 2014 National Health and Nutrition Examination Surveys.2009年至2014年美国国家健康与营养检查调查中的牙周疾病、睡眠时间和白细胞标志物
J Periodontol. 2020 May;91(5):582-595. doi: 10.1002/JPER.19-0055. Epub 2019 Nov 14.
10
Investigation of the relationship between sleep disorders and xerostomia.调查睡眠障碍与口干症之间的关系。
Clin Oral Investig. 2020 May;24(5):1709-1716. doi: 10.1007/s00784-019-03029-1. Epub 2019 Aug 2.