• 文献检索
  • 文档翻译
  • 深度研究
  • 学术资讯
  • Suppr Zotero 插件Zotero 插件
  • 邀请有礼
  • 套餐&价格
  • 历史记录
应用&插件
Suppr Zotero 插件Zotero 插件浏览器插件Mac 客户端Windows 客户端微信小程序
定价
高级版会员购买积分包购买API积分包
服务
文献检索文档翻译深度研究API 文档MCP 服务
关于我们
关于 Suppr公司介绍联系我们用户协议隐私条款
关注我们

Suppr 超能文献

核心技术专利:CN118964589B侵权必究
粤ICP备2023148730 号-1Suppr @ 2026

文献检索

告别复杂PubMed语法,用中文像聊天一样搜索,搜遍4000万医学文献。AI智能推荐,让科研检索更轻松。

立即免费搜索

文件翻译

保留排版,准确专业,支持PDF/Word/PPT等文件格式,支持 12+语言互译。

免费翻译文档

深度研究

AI帮你快速写综述,25分钟生成高质量综述,智能提取关键信息,辅助科研写作。

立即免费体验

美国退伍军人获得听力保健服务的情况及障碍:一项基于调查的研究。

Access to Hearing Healthcare and Barriers Among United States Veterans: A Survey-Based Study.

作者信息

Gallagher Tyler J, Hori Kaitlin, Choi Janet S

机构信息

Keck School of Medicine of the University of Southern California Los Angeles California USA.

Caruso Department of Otolaryngology-Head and Neck Surgery Keck School of Medicine of the University of Southern California Los Angeles California USA.

出版信息

OTO Open. 2025 Jan 9;9(1):e70055. doi: 10.1002/oto2.70055. eCollection 2025 Jan-Mar.

DOI:10.1002/oto2.70055
PMID:39791021
原文链接:https://pmc.ncbi.nlm.nih.gov/articles/PMC11714147/
Abstract

OBJECTIVE

We investigated use of hearing care among US veterans and explore motivations, barriers, and adherence to hearing healthcare.

STUDY DESIGN

Cross-sectional online survey.

SETTING

US Veterans.

METHODS

This cross-sectional, online survey-based study included 287 respondents who identified themselves as veterans on ResearchMatch (NIH-sponsored national registry of research volunteers). Questions regarding hearing loss, tinnitus, use of hearing care, and facilitators/barriers to hearing care were asked. Descriptive statistics were utilized for data analysis.

RESULTS

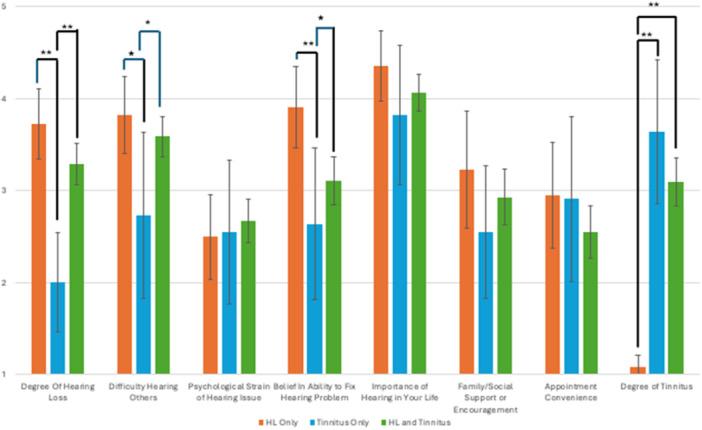
In this cohort, the rate of self-reported hearing loss and tinnitus were 61.0% and 74.2%, respectively. Among these, 66.9% of those with hearing loss and 36.2% of those with tinnitus reported seeking hearing care. Most important motivators of seeking hearing care (average on 1-5 Likert scale) included personal importance of hearing (4.0; SD = 1.1), difficulty hearing others (3.6; SD = 1.1), and degree of hearing loss (3.3; SD = 1.1). Most common barriers included uncertainty regarding who to reach out to for hearing care (42.9%), inability to get time off work (34.3%), and nervousness about seeing a provider (28.6%). Common reasons to decline hearing aids reporting that hearing was not bad enough for hearing aids (72.2%) and included inability to afford hearing aid (55.6%).

CONCLUSION

In this cohort, many US veterans sought care for hearing loss, though barriers still exist, including uncertainty regarding how to access appropriate care, being too far from a provider, and challenges with cost. Future studies should investigate methods to alleviate these internal and external barriers to hearing care and emphasize the importance of motivators for seeking care.

摘要

目的

我们调查了美国退伍军人听力保健的使用情况,并探讨了其动机、障碍以及对听力保健的依从性。

研究设计

横断面在线调查。

研究对象

美国退伍军人。

方法

这项基于在线调查的横断面研究纳入了287名在ResearchMatch(美国国立卫生研究院赞助的全国研究志愿者登记处)上自称退伍军人的受访者。询问了有关听力损失、耳鸣、听力保健的使用情况以及听力保健的促进因素/障碍等问题。采用描述性统计进行数据分析。

结果

在这个队列中,自我报告的听力损失率和耳鸣率分别为61.0%和74.2%。其中,66.9%的听力损失患者和36.2%的耳鸣患者报告寻求过听力保健。寻求听力保健的最重要动机(1-5李克特量表平均分)包括听力对个人的重要性(4.0;标准差=1.1)、听他人说话困难(3.6;标准差=1.1)以及听力损失程度(3.3;标准差=1.1)。最常见的障碍包括不确定该向谁寻求听力保健(42.9%)、无法请假(34.3%)以及看医生时紧张(28.6%)。拒绝使用助听器的常见原因包括认为听力还没差到需要使用助听器(72.2%)以及无力支付助听器费用(55.6%)。

结论

在这个队列中,许多美国退伍军人因听力损失寻求治疗,但障碍仍然存在,包括不确定如何获得适当的护理、距离医疗机构太远以及费用方面的挑战。未来的研究应调查减轻这些听力保健内部和外部障碍的方法,并强调寻求治疗的动机的重要性。

https://cdn.ncbi.nlm.nih.gov/pmc/blobs/64ce/11714147/fb4faaccdd9c/OTO2-9-e70055-g005.jpg
https://cdn.ncbi.nlm.nih.gov/pmc/blobs/64ce/11714147/c9e16f877f54/OTO2-9-e70055-g003.jpg
https://cdn.ncbi.nlm.nih.gov/pmc/blobs/64ce/11714147/32c416b049d8/OTO2-9-e70055-g001.jpg
https://cdn.ncbi.nlm.nih.gov/pmc/blobs/64ce/11714147/f6413cb2bf2b/OTO2-9-e70055-g002.jpg
https://cdn.ncbi.nlm.nih.gov/pmc/blobs/64ce/11714147/bb744f68823c/OTO2-9-e70055-g004.jpg
https://cdn.ncbi.nlm.nih.gov/pmc/blobs/64ce/11714147/fb4faaccdd9c/OTO2-9-e70055-g005.jpg
https://cdn.ncbi.nlm.nih.gov/pmc/blobs/64ce/11714147/c9e16f877f54/OTO2-9-e70055-g003.jpg
https://cdn.ncbi.nlm.nih.gov/pmc/blobs/64ce/11714147/32c416b049d8/OTO2-9-e70055-g001.jpg
https://cdn.ncbi.nlm.nih.gov/pmc/blobs/64ce/11714147/f6413cb2bf2b/OTO2-9-e70055-g002.jpg
https://cdn.ncbi.nlm.nih.gov/pmc/blobs/64ce/11714147/bb744f68823c/OTO2-9-e70055-g004.jpg
https://cdn.ncbi.nlm.nih.gov/pmc/blobs/64ce/11714147/fb4faaccdd9c/OTO2-9-e70055-g005.jpg

相似文献

1
Access to Hearing Healthcare and Barriers Among United States Veterans: A Survey-Based Study.美国退伍军人获得听力保健服务的情况及障碍:一项基于调查的研究。
OTO Open. 2025 Jan 9;9(1):e70055. doi: 10.1002/oto2.70055. eCollection 2025 Jan-Mar.
2
Applying U.S. national guidelines for ototoxicity monitoring in adult patients: perspectives on patient populations, service gaps, barriers and solutions.应用美国成人患者耳毒性监测国家指南:关于患者群体、服务差距、障碍及解决方案的观点
Int J Audiol. 2018 Sep;57(sup4):S3-S18. doi: 10.1080/14992027.2017.1398421. Epub 2017 Nov 20.
3
A survey on self-medication for the prevention or treatment of COVID-19 and distrust in healthcare of veterans in a primary care setting in the United States.美国基层医疗环境中退伍军人预防或治疗新冠病毒病的自我药疗及对医疗保健不信任情况的调查
Ther Adv Drug Saf. 2022 Dec 15;13:20420986221143265. doi: 10.1177/20420986221143265. eCollection 2022.
4
The future of Cochrane Neonatal.考克兰新生儿协作网的未来。
Early Hum Dev. 2020 Nov;150:105191. doi: 10.1016/j.earlhumdev.2020.105191. Epub 2020 Sep 12.
5
Associations between medical conditions and auditory dysfunction in US Veterans.美国退伍军人医疗状况与听觉功能障碍的相关性。
Int J Audiol. 2023 Jul;62(7):608-616. doi: 10.1080/14992027.2022.2068081. Epub 2022 May 9.
6
Pediatric Hearing Aid Management: Challenges among Hispanic Families.儿科助听器管理:西班牙裔家庭面临的挑战。
J Am Acad Audiol. 2017 Sep;28(8):718-730. doi: 10.3766/jaaa.16079.
7
A Large-Scale Examination of Veterans with Normal Pure-Tone Hearing Thresholds within the Department of Veterans Affairs.退伍军人事务部内对纯音听力阈值正常的退伍军人进行的大规模检查。
J Am Acad Audiol. 2018 Nov/Dec;29(10):928-935. doi: 10.3766/jaaa.17091.
8
Bilateral versus unilateral hearing aids for bilateral hearing impairment in adults.成人双侧听力障碍使用双侧助听器与单侧助听器的比较。
Cochrane Database Syst Rev. 2017 Dec 19;12(12):CD012665. doi: 10.1002/14651858.CD012665.pub2.
9
Smartphone-Connected Hearing Aids Enable and Empower Self-Management of Hearing Loss: A Qualitative Interview Study Underpinned by the Behavior Change Wheel.智能手机连接的助听器促进并增强听力损失的自我管理:一项基于行为改变轮的定性访谈研究
Ear Hear. 2022 May/Jun;43(3):921-932. doi: 10.1097/AUD.0000000000001143.
10
Provider Identified Access Barriers to Delivering Acupuncture to Persons with Traumatic Brain Injury and Chronic Pain: A Cross-Sectional Self-Report Survey.提供者确定的向创伤性脑损伤和慢性疼痛患者提供针灸治疗的障碍:一项横断面自我报告调查。
J Integr Complement Med. 2025 Feb;31(2):166-173. doi: 10.1089/jicm.2024.0486. Epub 2024 Nov 19.

引用本文的文献

1
Characteristics of Cannabis Use Among Head and Neck Cancer Survivors.头颈癌幸存者使用大麻的特征。
Laryngoscope Investig Otolaryngol. 2025 Aug 25;10(4):e70244. doi: 10.1002/lio2.70244. eCollection 2025 Aug.

本文引用的文献

1
A Qualitative Study of Veterans' Perspectives on Tinnitus: An Invisible Wound.一项关于退伍军人对耳鸣看法的定性研究:一种无形的创伤。
Am J Audiol. 2023 Nov 20:1-14. doi: 10.1044/2023_AJA-23-00040.
2
Cochlear Implants in Veterans: 10-Year Experience at a Single Referral Center. Veterans 中的人工耳蜗植入:单转诊中心 10 年经验。
Am J Audiol. 2022 Sep;31(3):698-706. doi: 10.1044/2022_AJA-22-00007. Epub 2022 Jun 30.
3
Normative Values of the Nasal Obstruction Symptom Evaluation Scale.鼻阻塞症状评估量表的标准值
Facial Plast Surg Aesthet Med. 2023 Jan-Feb;25(1):35-39. doi: 10.1089/fpsam.2021.0303. Epub 2022 May 20.
4
Development and Validation of a Novel At-home Smell Assessment.一种新型居家嗅觉评估方法的开发与验证
JAMA Otolaryngol Head Neck Surg. 2022 Mar 1;148(3):252-258. doi: 10.1001/jamaoto.2021.3994.
5
Characterizing Health Care Delays and Interruptions in the United States During the COVID-19 Pandemic: Internet-Based, Cross-sectional Survey Study.描述美国在 COVID-19 大流行期间的医疗延误和中断情况:基于互联网的横断面调查研究。
J Med Internet Res. 2021 May 19;23(5):e25446. doi: 10.2196/25446.
6
Mental Health Symptoms Among Veteran VA Users by Tinnitus Severity:A Population-based Survey.基于人群的调查:根据耳鸣严重程度,退伍军人 VA 用户的心理健康症状。
Mil Med. 2021 Jan 25;186(Suppl 1):167-175. doi: 10.1093/milmed/usaa288.
7
Health Literacy and Hearing Healthcare Use.健康素养与听力保健利用。
Laryngoscope. 2021 May;131(5):E1688-E1694. doi: 10.1002/lary.29313. Epub 2020 Dec 11.
8
Objective and Subjective Auditory Effects of Traumatic Brain Injury and Blast Exposure in Service Members and Veterans.创伤性脑损伤和爆炸暴露对现役军人和退伍军人的客观及主观听觉影响
Front Neurol. 2020 Jul 3;11:613. doi: 10.3389/fneur.2020.00613. eCollection 2020.
9
PET/MRI Radiomics in Patients With Brain Metastases.脑转移瘤患者的PET/MRI影像组学
Front Neurol. 2020 Feb 7;11:1. doi: 10.3389/fneur.2020.00001. eCollection 2020.
10
Incidence Rates of Tinnitus in Active Duty Military Service Members Between 2001 and 2015.2001年至2015年现役军人耳鸣发病率
Am J Audiol. 2019 Dec 16;28(4):866-876. doi: 10.1044/2019_AJA-19-0029. Epub 2019 Oct 16.