• 文献检索
  • 文档翻译
  • 深度研究
  • 学术资讯
  • Suppr Zotero 插件Zotero 插件
  • 邀请有礼
  • 套餐&价格
  • 历史记录
应用&插件
Suppr Zotero 插件Zotero 插件浏览器插件Mac 客户端Windows 客户端微信小程序
定价
高级版会员购买积分包购买API积分包
服务
文献检索文档翻译深度研究API 文档MCP 服务
关于我们
关于 Suppr公司介绍联系我们用户协议隐私条款
关注我们

Suppr 超能文献

核心技术专利:CN118964589B侵权必究
粤ICP备2023148730 号-1Suppr @ 2026

文献检索

告别复杂PubMed语法,用中文像聊天一样搜索,搜遍4000万医学文献。AI智能推荐,让科研检索更轻松。

立即免费搜索

文件翻译

保留排版,准确专业,支持PDF/Word/PPT等文件格式,支持 12+语言互译。

免费翻译文档

深度研究

AI帮你快速写综述,25分钟生成高质量综述,智能提取关键信息,辅助科研写作。

立即免费体验

创伤性截肢后终末期肾病风险增加:全国队列研究

Increased Risk of End-Stage Kidney Disease After Traumatic Amputation: Nationwide Cohort Study.

作者信息

Yoo Jung Eun, Kim Bongseong, Chang Won Hyuk, Lee Kyungho, Jang Hye Ryoun, Han Kyungdo, Shin Dong Wook

机构信息

Department of Family Medicine, Healthcare System Gangnam Center, Seoul National University Hospital, Seoul 06236, Republic of Korea.

Department of Family Medicine, Seoul National University College of Medicine, Seoul 03087, Republic of Korea.

出版信息

Healthcare (Basel). 2025 Jan 4;13(1):80. doi: 10.3390/healthcare13010080.

DOI:10.3390/healthcare13010080
PMID:39791687
原文链接:https://pmc.ncbi.nlm.nih.gov/articles/PMC11720595/
Abstract

BACKGROUND

Amputation confers disabilities upon patients and is associated with substantial cardiovascular and metabolic morbidity and mortality. We aimed to compare the incidence of end-stage kidney disease (ESKD) between individuals with amputation and the general population.

METHODS

A population-based retrospective cohort study was performed using the Nationwide Health Insurance Service database for the period between 2010 and 2018. A total of 24,925 individuals with amputation were included with a ratio of 1:3 age- and sex-matched controls. A Cox proportional hazards regression analysis was used to calculate the risk of ESKD among amputees.

RESULTS

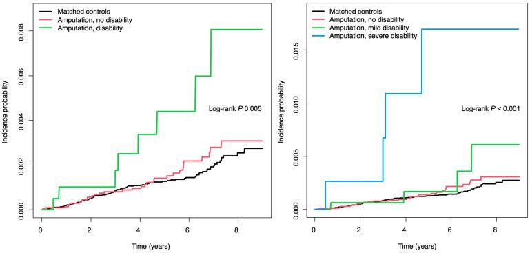
During a mean follow-up period of 4.3 years, there were 40 incident ESKD cases (0.4 per 1000 person-years) among individuals with amputation. Individuals with amputation showed a higher risk of ESKD (adjusted HR [aHR] of 1.75, 95% confidence interval [CI] of 1.20-2.54) compared with matched controls. The risk was further increased in those with mild disability (aHR of 1.41, 95% CI of 0.51-3.87) and severe disability (aHR of 8.22, 95% CI of 2.99-22.61). When considering the levels of amputation, the association was apparently more prominent in proximal than distal amputation, in particular for proximal upper limb amputation (aHR of 17.90, 95% CI of 4.37-73.40).

CONCLUSIONS

Individuals with amputation were at a significantly greater risk of ESKD than the general population, particularly subjects with severe disability and proximal amputation. Our data suggest that amputations should be added to the list of risk factors for the development of chronic kidney disease.

摘要

背景

截肢会给患者带来残疾,并与大量心血管和代谢性疾病及死亡相关。我们旨在比较截肢个体与普通人群中终末期肾病(ESKD)的发病率。

方法

利用2010年至2018年期间的全国健康保险服务数据库进行了一项基于人群的回顾性队列研究。共纳入24925例截肢个体,并按年龄和性别1:3匹配对照组。采用Cox比例风险回归分析计算截肢者发生ESKD的风险。

结果

在平均4.3年的随访期内,截肢个体中有40例新发ESKD病例(每1000人年0.4例)。与匹配的对照组相比,截肢个体发生ESKD的风险更高(调整后风险比[aHR]为1.75,95%置信区间[CI]为1.20 - 2.54)。轻度残疾者(aHR为1.41,95%CI为0.51 - 3.87)和重度残疾者(aHR为8.22,95%CI为2.99 - 22.61)的风险进一步增加。考虑截肢水平时,这种关联在近端截肢比远端截肢中明显更突出,尤其是近端上肢截肢(aHR为17.90,95%CI为4.37 - 73.40)。

结论

截肢个体发生ESKD的风险显著高于普通人群,尤其是重度残疾和近端截肢者。我们的数据表明,截肢应被列入慢性肾脏病发生的风险因素清单。

https://cdn.ncbi.nlm.nih.gov/pmc/blobs/bb5d/11720595/62d326cdb5b4/healthcare-13-00080-g002.jpg
https://cdn.ncbi.nlm.nih.gov/pmc/blobs/bb5d/11720595/12daefcb68cc/healthcare-13-00080-g001.jpg
https://cdn.ncbi.nlm.nih.gov/pmc/blobs/bb5d/11720595/62d326cdb5b4/healthcare-13-00080-g002.jpg
https://cdn.ncbi.nlm.nih.gov/pmc/blobs/bb5d/11720595/12daefcb68cc/healthcare-13-00080-g001.jpg
https://cdn.ncbi.nlm.nih.gov/pmc/blobs/bb5d/11720595/62d326cdb5b4/healthcare-13-00080-g002.jpg

相似文献

1
Increased Risk of End-Stage Kidney Disease After Traumatic Amputation: Nationwide Cohort Study.创伤性截肢后终末期肾病风险增加:全国队列研究
Healthcare (Basel). 2025 Jan 4;13(1):80. doi: 10.3390/healthcare13010080.
2
Increased risk of type 2 diabetes after traumatic amputation: a nationwide retrospective cohort study.创伤性截肢后2型糖尿病风险增加:一项全国性回顾性队列研究。
Front Endocrinol (Lausanne). 2025 Jan 7;15:1437860. doi: 10.3389/fendo.2024.1437860. eCollection 2024.
3
Increased Risk of Fracture after Traumatic Amputation: A Nationwide Retrospective Cohort Study.创伤性截肢后骨折风险增加:一项全国性回顾性队列研究。
Healthcare (Basel). 2024 Jul 8;12(13):1362. doi: 10.3390/healthcare12131362.
4
Elevated risk of end-stage kidney disease in stroke patients: A population-based observational study.中风患者终末期肾病风险升高:一项基于人群的观察性研究。
Int J Stroke. 2025 Apr;20(4):461-470. doi: 10.1177/17474930241295890. Epub 2024 Nov 5.
5
Risk of Heart Disease in Patients With Amputation: A Nationwide Cohort Study in South Korea.截肢患者的心脏病风险:韩国全国队列研究。
J Am Heart Assoc. 2024 May 21;13(10):e033304. doi: 10.1161/JAHA.123.033304. Epub 2024 May 10.
6
Association of Infection With Human Papillomavirus and Development of End-Stage Kidney Disease in Taiwan.台湾地区人乳头瘤病毒感染与终末期肾病的关系。
JAMA Netw Open. 2020 Oct 1;3(10):e2022107. doi: 10.1001/jamanetworkopen.2020.22107.
7
Preeclampsia and risk of end stage kidney disease: A Swedish nationwide cohort study.子痫前期与终末期肾病风险:一项瑞典全国队列研究。
PLoS Med. 2019 Jul 30;16(7):e1002875. doi: 10.1371/journal.pmed.1002875. eCollection 2019 Jul.
8
Smoking and risk of incident end-stage kidney disease in general population: A Nationwide Population-based Cohort Study from Korea.吸烟与一般人群中终末期肾病发病风险:来自韩国的一项全国范围内基于人群的队列研究。
Sci Rep. 2019 Dec 20;9(1):19511. doi: 10.1038/s41598-019-56113-7.
9
Characteristics and Outcomes of Patients With Pregnancy-Related End-Stage Kidney Disease.妊娠相关终末期肾病患者的特征和结局。
JAMA Netw Open. 2023 Dec 1;6(12):e2346314. doi: 10.1001/jamanetworkopen.2023.46314.
10
Risk of long-term renal disease in women with a history of preterm delivery: a population-based cohort study.有早产史的女性发生长期肾脏疾病的风险:基于人群的队列研究。
BMC Med. 2020 Apr 1;18(1):66. doi: 10.1186/s12916-020-01534-9.

本文引用的文献

1
Elevated risk of end-stage kidney disease in stroke patients: A population-based observational study.中风患者终末期肾病风险升高:一项基于人群的观察性研究。
Int J Stroke. 2025 Apr;20(4):461-470. doi: 10.1177/17474930241295890. Epub 2024 Nov 5.
2
Increased Risk of Fracture after Traumatic Amputation: A Nationwide Retrospective Cohort Study.创伤性截肢后骨折风险增加:一项全国性回顾性队列研究。
Healthcare (Basel). 2024 Jul 8;12(13):1362. doi: 10.3390/healthcare12131362.
3
Risk of Heart Disease in Patients With Amputation: A Nationwide Cohort Study in South Korea.
截肢患者的心脏病风险:韩国全国队列研究。
J Am Heart Assoc. 2024 May 21;13(10):e033304. doi: 10.1161/JAHA.123.033304. Epub 2024 May 10.
4
Medication adherence in patients with type 2 diabetes after disability onset: a difference-in-differences analysis using nationwide data.残疾发生后 2 型糖尿病患者的药物依从性:基于全国数据的差分分析。
BMC Med. 2024 Mar 6;22(1):102. doi: 10.1186/s12916-024-03324-z.
5
Prevalence and associated risk factors for chronic kidney disease in the elderly physically disabled population in Shanghai, China: a cross-sectional study.中国上海老年残疾人群慢性肾脏病的患病率及相关危险因素:一项横断面研究
BMC Public Health. 2023 Oct 12;23(1):1987. doi: 10.1186/s12889-023-16455-4.
6
Assessment of Disability and Depression Following Amputation Among Adults in Korea.韩国成年人截肢后残疾与抑郁状况评估
JAMA Netw Open. 2023 Jun 1;6(6):e2320873. doi: 10.1001/jamanetworkopen.2023.20873.
7
The Korea National Disability Registration System.韩国国家残疾登记系统。
Epidemiol Health. 2023;45:e2023053. doi: 10.4178/epih.e2023053. Epub 2023 May 11.
8
Prevalence and incidence of chronic kidney disease stage 3-5 - results from KidDiCo.慢性肾脏病 3-5 期的患病率和发病率——KidDiCo 的研究结果。
BMC Nephrol. 2023 Jan 19;24(1):17. doi: 10.1186/s12882-023-03056-x.
9
Effect of lower extremity amputation on cardiovascular hemodynamic environment: An in vitro study.下肢截肢对心血管血流动力学环境的影响:一项体外研究。
J Biomech. 2022 Dec;145:111368. doi: 10.1016/j.jbiomech.2022.111368. Epub 2022 Nov 3.
10
Determining the Relationship Between Blood Pressure, Kidney Function, and Chronic Kidney Disease: Insights From Genetic Epidemiology.从遗传流行病学角度看血压、肾功能与慢性肾脏病之间的关系。
Hypertension. 2022 Dec;79(12):2671-2681. doi: 10.1161/HYPERTENSIONAHA.122.19354. Epub 2022 Sep 9.