Suppr超能文献

多组分盐溶液微滴的蒸发动力学及最终颗粒形态

Evaporation Kinetics and Final Particle Morphology of Multicomponent Salt Solution Droplets.

作者信息

Miles Barnaby E A, Winter Emily, Mirembe Shaira, Hardy Daniel, Mahato Lukesh K, Miles Rachael E H, Reid Jonathan P

机构信息

School of Chemistry, University of Bristol, Bristol BS8 1TS, U.K.

出版信息

J Phys Chem A. 2025 Jan 23;129(3):762-773. doi: 10.1021/acs.jpca.4c07439. Epub 2025 Jan 11.

Abstract

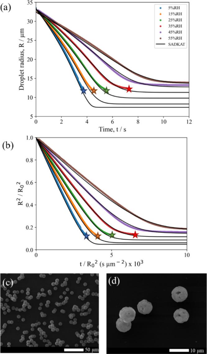
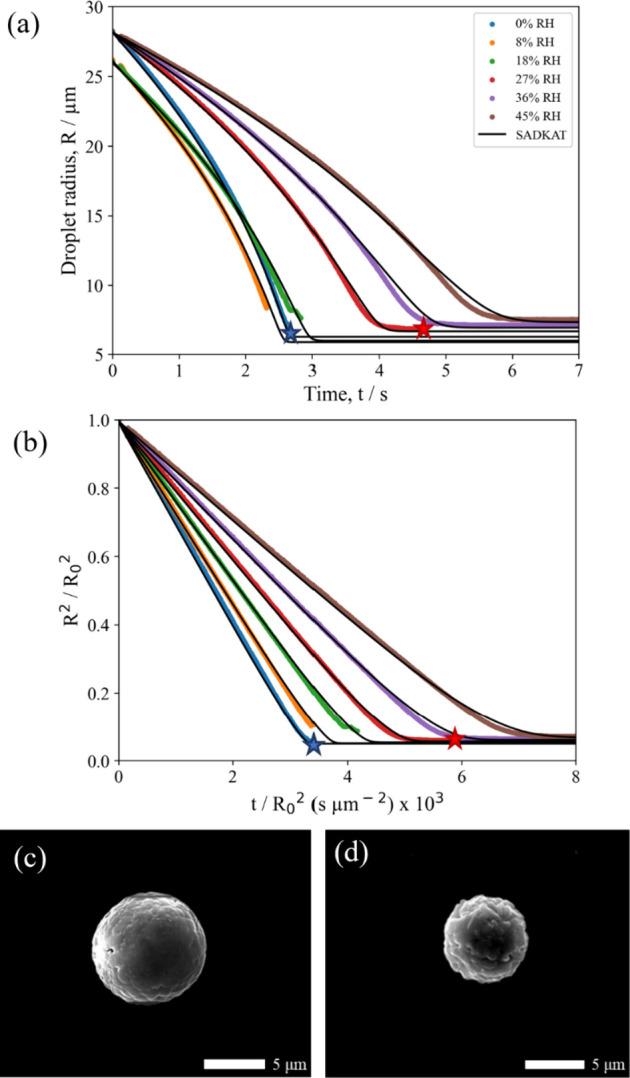
In both nature and industry, aerosol droplets contain complex mixtures of solutes, which in many cases include multiple inorganic components. Understanding the drying kinetics of these droplets and the impact on resultant particle morphology is essential for a variety of applications including improving inhalable drugs, mitigating disease transmission, and developing more accurate climate models. However, the previous literature has only focused on the relationship between drying kinetics and particle morphology for aerosol droplets containing a single nonvolatile component. Here we investigate the drying kinetics of NaCl-(NH)SO, NaCl-NHNO, and NaCl-CaCl mixed salt aqueous aerosol droplets (25-35 μm radius) and the resulting morphology and composition of the dried microparticles. A comparative kinetics electrodynamic balance was used to measure evaporation profiles for each mixed salt aerosol at a range of relative humidities (RH) (0-50% RH); measurements of the evaporation kinetics are shown to be consistent with predictions from the "Single Aerosol Drying Kinetics and Trajectories" model. Populations of the mixed salt droplets were dried in a falling droplet column under different RH conditions and imaged using scanning electron microscopy to observe the impact of the drying kinetics on the morphology. Energy dispersive spectroscopy was used in tandem to obtain atomic maps and view the impact of drying kinetics on the composition of the resultant particles. It has been shown that the relationship between drying kinetics and dry particle morphology in mixed salt solution droplets is compositionally dependent and determined by the predominant salts that crystallize (i.e., (NH)SO, NaSO, or NaCl). The degree of homogeneity in composition throughout the particle microstructure is dependent on the drying rate.

摘要

在自然界和工业领域中,气溶胶液滴都含有溶质的复杂混合物,在许多情况下,这些混合物包含多种无机成分。了解这些液滴的干燥动力学以及对最终颗粒形态的影响,对于包括改进可吸入药物、减轻疾病传播以及开发更精确的气候模型在内的各种应用至关重要。然而,先前的文献仅关注了含有单一非挥发性成分的气溶胶液滴的干燥动力学与颗粒形态之间的关系。在此,我们研究了NaCl-(NH₄)₂SO₄、NaCl-NH₄NO₃和NaCl-CaCl₂混合盐水气溶胶液滴(半径为25-35μm)的干燥动力学,以及干燥后微粒的形态和组成。使用比较动力学电动天平在一系列相对湿度(RH)(0-50%RH)下测量每种混合盐气溶胶的蒸发曲线;蒸发动力学测量结果与“单气溶胶干燥动力学和轨迹”模型的预测一致。将混合盐液滴群体在不同RH条件下的下落液滴柱中干燥,并使用扫描电子显微镜成像,以观察干燥动力学对形态的影响。同时使用能量色散光谱法获取原子图谱,并观察干燥动力学对所得颗粒组成的影响。结果表明,混合盐溶液液滴中干燥动力学与干燥颗粒形态之间的关系取决于成分,并由结晶的主要盐类(即(NH₄)₂SO₄、Na₂SO₄或NaCl)决定。整个颗粒微观结构中成分的均匀程度取决于干燥速率。

https://cdn.ncbi.nlm.nih.gov/pmc/blobs/58a3/11770748/61dce15a7b11/jp4c07439_0001.jpg

文献检索

告别复杂PubMed语法,用中文像聊天一样搜索,搜遍4000万医学文献。AI智能推荐,让科研检索更轻松。

立即免费搜索

文件翻译

保留排版,准确专业,支持PDF/Word/PPT等文件格式,支持 12+语言互译。

免费翻译文档

深度研究

AI帮你快速写综述,25分钟生成高质量综述,智能提取关键信息,辅助科研写作。

立即免费体验