Suppr超能文献

准确测量和模拟单个溶液液滴的蒸发和轨迹。

Accurate Measurements and Simulations of the Evaporation and Trajectories of Individual Solution Droplets.

机构信息

School of Chemistry, University of Bristol, Bristol BS8 1TS, United Kingdom.

H. H. Wills Physics Laboratory, University of Bristol, Bristol BS8 1TL, United Kingdom.

出版信息

J Phys Chem B. 2023 Apr 20;127(15):3416-3430. doi: 10.1021/acs.jpcb.2c08909. Epub 2023 Apr 7.

Abstract

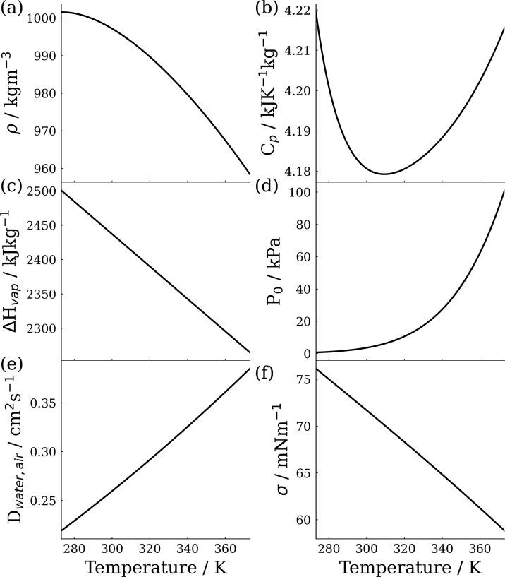
A refined numerical model for the evaporation and transport of droplets of binary solutions is introduced. Benchmarking is performed against other models found in the literature and experimental measurements of both electrodynamically trapped and freefalling droplets. The model presented represents the microphysical behavior of solutions droplets in the continuum and transition regimes, accounting for the unique hygroscopic behavior of different solutions, including the Fuchs-Sutugin and Cunningham slip correction factors, and accounting for the Kelvin effect. Simulations of pure water evaporation are experimentally validated for temperatures between 290 K and 298 K and between relative humidity values of approximately 0% and 85%. Measurements and simulations of the spatial trajectories and evaporative behavior of aqueous sodium chloride droplets are compared for relative humidity values between 0 and 40%. Simulations are shown to represent experimental data within experimental uncertainty in initial conditions. Calculations of a time-dependent Péclet number, including the temperature dependence of solute diffusion, are related to morphologies of sodium chloride particles dried at different rates. For sodium chloride solutions, dried particles are composed of collections of reproducibly shaped crystals, with higher evaporation rates resulting in higher numbers of crystals, which are smaller.

摘要

引入了一种用于二元溶液液滴蒸发和传输的精细化数值模型。通过与文献中的其他模型和电捕获以及自由下落液滴的实验测量进行基准测试。所提出的模型代表了连续相与过渡区中溶液液滴的微观物理行为,考虑了不同溶液的独特吸湿性行为,包括 Fuchs-Sutugin 和 Cunningham 滑移修正因子,并考虑了 Kelvin 效应。在 290 K 至 298 K 的温度范围和相对湿度约为 0%至 85%的情况下,对纯水蒸发的模拟进行了实验验证。对于相对湿度在 0 到 40%之间的水合氯化钠液滴的空间轨迹和蒸发行为的测量和模拟进行了比较。模拟结果在初始条件的实验不确定度范围内代表了实验数据。包括溶质扩散温度依赖性的时变 Peclet 数的计算与以不同速率干燥的氯化钠颗粒的形态有关。对于氯化钠溶液,干燥的颗粒由可重复形状的晶体集合组成,较高的蒸发速率导致更多的晶体,而晶体较小。

https://cdn.ncbi.nlm.nih.gov/pmc/blobs/3b43/10123666/729a3974175f/jp2c08909_0002.jpg

文献AI研究员

20分钟写一篇综述,助力文献阅读效率提升50倍。

立即体验

用中文搜PubMed

大模型驱动的PubMed中文搜索引擎

马上搜索

文档翻译

学术文献翻译模型,支持多种主流文档格式。

立即体验